GSEB Std 12 Physics MCQ Chapter 9 કિરણ પ્રકાશશાસ્ત્ર અને પ્રકાશીય ઉપકરણો in Gujarati Medium
GSEB Std 12 Physics MCQ Chapter 9 કિરણ પ્રકાશશાસ્ત્ર અને પ્રકાશીય ઉપકરણો in Gujarati
પ્રશ્ન 1.
એક ગોળીય અરીસાની વર્તુળાકાર ધારનો વ્યાસ 10 cm છે, તો અરીસાનું દર્પણમુખ કેટલું હશે ?
(A) 20 cm
(B) 10 cm
(C) 40 cm
(D) 5 cm
જવાબ
(B) 10 cm
પ્રશ્ન 2.
એક ગોળીય અરીસાનું દર્પણમુખ 20 cm છે, તો આ ગોળીય અરીસાના પરિઘનું મૂલ્ય ………………………..
(A) 3.14 cm
(B) 6.28 cm
(C) 20 cm
(D) 62.8 cm
જવાબ
(D) 62.8 cm
ગોળીય અરીસાનો વ્યાસ = 2r
∴ 20 = 2r
∴ r = 10 cm
∴ પરિક્ = 2πr
= 2 × 3.14 × 10
= 62.8 cm
પ્રશ્ન 3.
એક અંતર્ગોળ અરીસાની વક્તાત્રિજ્યા 20 cm છે, તો તેની કેન્દ્રલંબાઈ …………………… cm.
(A) – 20 cm
(B) + 20 cm
(C) – 10 cm
(D) + 10 cm
જવાબ
(C) – 10 cm
ગોળીય અરીસા માટે,
R = 2f
∴ 20 = 2f ∴ f = -10 cm
પ્રશ્ન 4.
બે સમતલ અરીસાને પરસ્પર લંબરૂપે રાખી તેના ખૂણાના લંબદ્વિભાજક પર મૂકેલી વસ્તુના પ્રતિબિંબ ………………………. મળે.
(A) 2
(B) 3
(C) 4
(D) અનંત
જવાબ
(B) 3

પ્રશ્ન 5.
બે સમતલ અરીસાને એવી રીતે મૂકેલા છે કે જેથી તેમની વચ્ચે મૂકેલી વસ્તુના 
પ્રતિબિબની સંખ્યા અનંત મળે છે, તો અરીસા કેવી રીતે મૂકેલા હશે ?
(A) લંબ
(B) સમાંતર
(C) 30ના કોણે
(D) 60ના કોણે
જવાબ
(B) સમાંતર
પ્રશ્ન 6.
બે સમતલ અરીસા વચ્ચેનો ખૂણો કેટલો રાખવો જોઈએ કે જેથી ખૂણાના દ્વિભાજક પર મૂકેલી વસ્તુનાં પ્રતિબિંબો બે રચાય ?
(A) 60°
(B) 120°
(C) 180°
(D) 360°
જવાબ
(B) 120°
બે સમતલ અરીસા વડે રચાતાં પ્રતિબિંબોની સંખ્યા
n = 
જ્યાં θ બે સમતલ અરીસા વચ્ચેનો ખૂણો છે.
n = 2 લેતાં,
∴ 2 + 1 = 
∴ θ = 
પ્રશ્ન 7.
અરીસા સાથે 38° ના ખૂણે કોઈ એક પ્રકાશનું કિરણ આપાત થાય છે, તો પરાવર્તિત અને લંબકિરણ વચ્ચેનો ખૂણો …………………..
(A) 52°
(B) 38°
(C) 90°
(D) 70°
જવાબ
(A) 52°

– આકૃતિ પરથી, i + 38° = 90°
આપાતિકરણ
∴ i = 52°
– પરાવર્તનના નિયમ પરથી,
પરાવર્તનકોણ = આપાતકોણ
∴ r = i
∴ r = 52°
પ્રશ્ન 8.
સમતલ અરીસા પર 30° ના ખૂણે કોઈ એક પ્રકાશકિરણ આપાત થયા બાદ તે ……………………. જેટલું વિચલન અનુભવશે.
(A) 30°
(B) 60°
(C) 90°
(D) 120°
જવાબ
(D) 120°

પરાવર્તનના નિયમ મુજબ,
આપાતકિરણ = પરાવર્તનકોણ
આકૃતિની ભૂમિતિ પરથી,
વિચલનકોણ = 180° – i – r
= 180° – 30° – 30° = 120°
પ્રશ્ન 9.
અંતર્ગોળ અરીસાની અક્ષ પર 25 cm અંતરે એક વસ્તુ રાખેલ છે. અરીસાની કેન્દ્રલંબાઈ 20 cm હોય, તો મળતું લેટરલ મેગ્નિફિકેશન કેટલું થશે ?
(A) 2
(B) 4
(C) -4
(D) -2
જવાબ
(C) -4
મોટવણી m = 
પ્રશ્ન 10.
બહિર્ગોળ લેન્સ માટે, જ્યારે વસ્તુની ઊંચાઈ પ્રતિબિંબની ઊંચાઈ કરતાં બે ગણી
 હોય, તો વસ્તુ-અંતર ………………………જેટલું થશે. લેન્સની કેન્દ્રલંબાઈ f છે.
(A) f
(B) 2f
(C) 3f
(D) 4f
જવાબ
(C) 3f
લેન્સની મોટવણી m = –
∴ 2f = u – f
∴ u = 3f
પ્રશ્ન 11.
સમાન કેન્દ્રલંબાઈ ધરાવતા બે અંતર્ગોળ અરીસાની સમાન અક્ષ પર, અરીસાની વચ્ચે
 મધ્યમાં બિંદુવર્તી વસ્તુ O મૂકેલી છે. જો અંતિમ પ્રતિબિંબ વસ્તુના સ્થાન 
આગળ જ રચાતું હોય, તો બે અરીસા વચ્ચેનું અંતર …………………… થશે. અરીસાની 
કેન્દ્રલંબાઈ f લો.
[Hint : આ પરિસ્થિતિ આકૃતિમાં દર્શાવલ છે.]

(A) f
(B) 2f
(C) 
(D) 
[નોંધ: બીજી એક શક્ય પરિસ્થિતિ છે કે જેમાં પણ વસ્તુ અને તેનું પ્રતિબિંબ 
એકબીજા પર સંપાત થાય ત્યારે બે અરીસાઓ વચ્ચેનું અંતર 4f હશે.]
જવાબ
(B) 2f
અરીસાના મુખ્ય કેન્દ્રની વ્યાખ્યા પરથી, સ્પષ્ટ છે કે કોઈ એક મુખ્ય કેન્દ્ર
 પર મૂકેલ વસ્તુમાંથી અરીસા પર આપાત થતું કિરણ અરીસાની અક્ષને સમાંતર 
પરાવર્તિત થાય.
∴ આપેલ આકૃતિ મુજબ, વસ્તુનું સ્થાન O અને પ્રતિબિંબનું સ્થાન O’ આપેલ સમઅક્ષીય અંતર્ગોળ અરીસાનાં મુખ્યકેન્દ્ર ૫૨ હોવા જોઈએ.
∴ બે અરીસા વચ્ચેનું અંતર = 2f
નોંધઃ આ જ રીતે વસ્તુ O અને તેનું પ્રતિબિંબ O’ બંને અરીસાના વક્રતાકેન્દ્ર ઉપર હોય ત્યારે અંતર 4f થઈ શકે.
પ્રશ્ન 12.
……………………. અરીસા માટે પ્રતિબિંબની ઊંચાઈ (size) હંમેશાં વસ્તુની ઊંચાઈ કરતાં ……………………. હોય છે.
(A) બહિર્ગોળ, ઓછી
(B) બહિર્ગોળ, મોટી
(C) અંતર્ગોળ, ઓછી
(D) અંતર્ગોળ, મોટી
જવાબ
(A) બહિર્ગોળ, ઓછી

પ્રશ્ન 13.
3 cm બાજુવાળા તારનું ચોરસ ગૂંચળું અંતર્ગોળ અરીસાની સામે તેનાથી 25 cm દૂર
 એવી રીતે મૂકેલું છે કે તેનું સમતલ અક્ષને લંબરૂપે રહે. જો અંતર્ગોળ 
અરીસાની કેન્દ્રલંબાઈ 10cm હોય તો ચોરસ ગૂંચળાના પ્રતિબિંબનું ક્ષેત્રફળ 
……………………….. m2 મળે.
(A) 3 × 10-4
(C) 6 × 10-4
(B) 4 × 10-4
(D) 16 × 10-4
જવાબ
(B) 4 × 10-4
મોટવણી m = 
= 
ચોરસ ગૂંચળાના પ્રતિબિંબની બાજુની લંબાઈ = 
= 2 cm
∴ પ્રતિબિંબનું ક્ષેત્રફળ = (2)2 × 10-4 = 4 × 10-4 m2
પ્રશ્ન 14.
એક કારમાં 20 cm કેન્દ્રલંબાઈવાળો બહિર્ગોળ અરીસો સાઇડ ગ્લાસ તરીકે રાખેલો 
છે. કારની પાછળ 6m દૂર આવતી ગાડીનું પ્રતિબિંબ ………………….. અંતરે ડ્રાઇવર 
જોશે.
(A) 15.4 cm
(B) 17.4 cm
(C) 19.4 cm
(D) 21.4 cm
જવાબ
(C) 19.4 cm
અરીસા માટે 
∴ 
= 
∴ v = 
પ્રશ્ન 15.
નીચેનામાંથી કયા અરીસામાં કોઈ એક વ્યક્તિ પોતાની ઊંચાઈ કરતાં મોટું પ્રતિબિંબ જોઈ શકશે નહીં ?
(A) અંતર્ગોળ અરીસો
(B) બહિર્ગોળ અરીસો
(C) સમતલ અરીસો
(D) આમાંથી એક પણ નહીં
જવાબ
(B) બહિર્ગોળ અરીસો
બહિર્ગોળ અરીસા માટે મોટવણી m < +1 હોય છે. સમતલ અરીસા માટે મોટવણી m = 1
 હોય છે. અંતર્ગોળ અરીસા માટે મોટવણી m > -1 અને m > +1 હોય છે.
માટે બહિર્ગોળ અરીસા માટે વ્યક્તિ પોતાની ઊંચાઈ કરતાં મોટું પ્રતિબિંબ જોઈ શકશે નહીં.
પ્રશ્ન 16.
બહિર્ગોળ અરીસાથી 60 cm દૂર વસ્તુને મૂકવામાં આવે છે. જો મેગ્નિફિકેશન 0.5 હોય, તો પ્રતિબિંબ અંતર …………………. થાય.
(A) -30
(B) 15
(C) 30
(D) -15
જવાબ
(C) 30
મોટવણી m = 
∴ 
∴ 
∴ v = 30 cm
પ્રશ્ન 17.
એક ગોળીય અરીસા વડે એક વસ્તુનું લેટરલ મેગ્નિફિકેશન 0.3 છે. જો અરીસાની કેન્દ્રલંબાઈ 30 cm હોય, તો અરીસાનો પ્રકાર શોધો.
(A) અંતર્ગોળ
(B) બહિર્ગોળ
(C) અંતર્ગોળ અથવા બહિર્ગોળ
(D) એક પણ નહિ.
જવાબ
(B) બહિર્ગોળ
અરીસા માટે મોટવણી
m = 
(1) m = 
∴ 0.3 = 
∴ 30 – u = 100
∴ u = -70 cm
(2) m = 
∴ 0.3 = 
∴ 9 = 30 – v
∴ ν = 21 cm
∴ પ્રતિબિંબ અરીસાની પાછળ મળે, તેથી બહિર્ગોળ.
પ્રશ્ન 18.
X-અક્ષ પર એક અરીસો ઋણ Y-દિશામાં રહે તેમ મૂકેલો છે અને અરીસો સ્થિર છે. 
અરીસાની સામે એક બિંદુવર્તી વસ્તુ (3î + 4ĵ) ના વેગથી અરીસા તરફ ગતિ કરે 
છે. તો પ્રતિબિંબની વસ્તુની સાપેક્ષમાં વેગ …………………….. .
(A) -8ĵ
(B) 8ĵ
(C) 3î – 4ĵ
(D) -6î
જવાબ
(A) -8ĵ

વસ્તુનો વેગ 
પ્રતિબિંબનો વેગ 
પ્રતિબિંબનો વસ્તુની સાપેક્ષે વેગ
= (3î – 4ĵ) – (3î + 4ĵ ) = -8ĵ
પ્રશ્ન 19.
PQ પ્રકાશનું આપાતકિરણ અને RS એ પરાવર્તિત કિરણ છે. તે બંને સમાંતર છે. તો 
જમણી બાજુએ કયો અરીસો મૂકવાથી આ શકય બને. અરીસા દ્વારા એક કે તેથી વધારે 
પરાવર્તન હોઈ શકે.

(A) સમતલ અરીસો
(B) બહિર્ગોળ અરીસો
(C) સમતલ અને અંતર્ગોળ અરીસો
(D) એક અંતર્ગોળ અરીસો
જવાબ
(D) એક અંતર્ગોળ અરીસો

એક અંતર્ગોળ અરીસાથી આપેલ PQ અને RS કિરણ સમાંતર બને.
પ્રશ્ન 20.
એક અંતર્ગોળ અરીસાની સામે મુખ્ય અક્ષને સમાંતર એક કિરણ આકૃતિમાં બતાવ્યા 
અનુસાર ગતિ કરે છે. F અને C અનુક્રમે તેનું મુખ્યકેન્દ્ર અને 
વક્રતાત્રિજ્યા છે, તો અરીસા પરથી પરાવર્તિત કિરણ ……………………. બિંદુમાંથી 
પસાર થશે.

(A) A
(B) D
(C) C
(D) F
જવાબ
(D) F
ગોળીય અરીસા પરથી મુખ્ય અક્ષને સમાંતર કિરણો પરાવર્તન પામીને મુખ્ય કેન્દ્રમાંથી પસાર થાય છે.
તેથી, સાચો વિકલ્પ (D) છે.
પ્રશ્ન 21.
એક બહિર્ગોળ અરીસાની સામે મુખ્ય અક્ષને સમાંતર એક કિરણ આકૃતિમાં બતાવ્યા 
અનુસાર ગતિ કરે છે. તેનું આભાસી મુખ્ય કેન્દ્ર F અને વક્રતાકેન્દ્ર C છે, 
તો અરીસા
પરથી પરાવર્તન પામીને પરાવર્તિત કિરણ ………………….. બિંદુમાંથી પસાર થશે.

(A) A
(B) C
(C) D
(D) F
જવાબ
(C) D
બહિર્ગોળ અરીસા પરથી પરાવર્તન પામતાં કિરણને પાછળ લંબાવતાં F માંથી પસાર 
થાય તેથી પરાવર્તિત કિરણ પરાવર્તનના નિયમ અનુસાર D બિંદુમાંથી પસાર થાય.
પ્રશ્ન 22.
અંતર્ગોળ અરીસાના ધ્રુવથી વસ્તુ u1 અને u2 અંતરે મળે છે. જો મોટવણી સમાન હોય, તો તેની કેન્દ્રલંબાઈ ………………… .
(A) 2(u1 + u2)
(B) 
(C) u1 + u2
(D) 
જવાબ
(B) 
મોટવણીનું મૂલ્ય સમાન છે તેથી એક સાચું અને બીજું આભાસી પ્રતિબિંબ હોય.
∴ – m1 = m2
∴ – 
∴ -f + u2 = f – u1
∴ u1 + u2 = 2f
∴ f = 
પ્રશ્ન 23.
જો ગોળીય અરીસા માટે f કેન્દ્રલંબાઈ અને v પ્રતિબિંબ અંતર હોય, તો લેટરલ મેગ્નિફિકેશન m = ………………..
(A) 
(B) 
(C) 
(D) 
જવાબ
(D) (D) 
f ગોળીય અરીસા માટે,

પ્રશ્ન 24.
જો ગોળીય અરીસા માટે f કેન્દ્રલંબાઈ અને u વસ્તુઅંતર હોય, તો લેટરલ મેગ્નિફિકેશન m = ………………….
(A) 
(B) 
(C) 
(D) 
જવાબ
(C) 
ગોળીય અરીસા માટે,

પ્રશ્ન 25.
f કેન્દ્રલંબાઈવાળા અંતર્ગોળ અરીસાથી વસ્તુનું પ્રતિબિંબ(
(A) 
(B) fn
(C) (n + 1)f
(D) (n – 1)f
જવાબ
(C) (n + 1)f
અંતર્ગોળ અરીસા માટે m = 
–
(∵ પ્રતિબિંબ નાનું મળે છે તેથી વાસ્તવિક હોય)
∴ u – f = nf
∴ u = nf + f
∴ u = (n + 1)f
પ્રશ્ન 26.
f કેન્દ્રલંબાઈવાળા બહિર્ગોળ અરીસા વડે વસ્તુનું પ્રતિબિંબ n ગણું નાનું મળે છે, તો વસ્તુઅંતર u = ……………… હશે.
(A) 
(B) 
(C) (n – 1)f
(D) nf
જવાબ
(C) (n – 1)f
બહિર્ગોળ અરીસા વડે હંમેશાં આભાસી પ્રતિબિંબ મળે.
∴ m = 
∴ 
∴ ν = 

f – u = nf
∴nf + f = u
∴ u = (n + 1)f
પ્રશ્ન 27.
f કેન્દ્રલંબાઈવાળા અંતર્ગોળ અરીસા વડે વસ્તુનું પ્રતિબિંબ n ગણું મળે છે. 
જો પ્રતિબિંબ વાસ્તવિક હોય, તો અરીસાથી વસ્તુનું અંતર શોધો.
(A) (n – 1)f
(B) (n + 1)f
(C) (
(D) (
જવાબ
(C) (
અંતર્ગોળ અરીસાની મોટવણી,

પ્રશ્ન 28.
અંતર્ગોળ અરીસાની કેન્દ્રલંબાઇ શોધવાના પ્રયોગમાં u – v નો આલેખ દોરવામાં આવે તો, નીચેનામાંથી કયો આલેખ સાચો ?

જવાબ

અંતર્ગોળ અરીસા માટે,
વસ્તુઅંતર u, પ્રતિબિંબ અંતર v અને
કેન્દ્રલંબાઇ f નાં મૂલ્યો માટે,
u = અનંત (∝) ત્યારે v = f મળે.
u = 2f (વક્રતાકેન્દ્ર પર વસ્તુ) ત્યારે v = 2f
અને u = f હોય ત્યારે v = ∝ (અનંત) મળે.
પ્રશ્ન 29.
અંતર્ગોળ અરીસામાં સાચા પ્રતિબિંબ માટે 

જવાબ

વક્ર અરીસા માટે 
∴ 
∴ સંજ્ઞા પ્રણાલી અનુસાર,
∴ 
ઢાળ tanθ(m) = -1
θ = 135° અથવા -45° અને y-અક્ષાંતર
∴ C = +

પ્રશ્ન 30.
એક છોકરો, સમતલ અરીસા તરફ 15 ms-1 ના વેગથી દોડે છે, તો તેની સાપેક્ષે તેના પ્રતિબિંબનો વેગ …………………….. થશે.
(A) 7.5 ms-1
(C) 30 ms-1
(B) 15.0 ms-1
(D) 45 ms-1
જવાબ
(C) 30 ms-1
સમતલ અરીસા વડે મળતાં પ્રતિબિંબ માટે વસ્તુઅંતર બરાબર
પ્રતિબિંબ અંતર હોય.
∴ 
∴ 
∴ 
∴ |u| = |v|
સમીકરણ (1) નું સમયની સાપેક્ષે વિકલન કરતાં,
v0 – vi
પણ v0 = 15 ms-1 તેથી vi = – 15 ms-1
હવે છોકરાની સાપેક્ષે પ્રતિબિંબનો વેગ,
Vi0 = vi – v0= (- 15) – (15)
= – 30 m/s
∴ |Vi0| = 30 m/s
પ્રશ્ન 31.
દાઢી કરવા માટે એક વ્યક્તિ અંતર્ગોળ અરીસાને તેના ચહેરાથી 10 cm દૂર રાખે 
ત્યારે તેના ચહેરાનું સ્પષ્ટ પ્રતિબિંબ જોઈ શકે છે, તો આ માટે અરીસાની 
વક્રતાત્રિજ્યા
કેટલી ?
(A) – 24 cm
(B) 24 cm
(C) 30 cm
(D) 60 cm
જવાબ
(D) 60 cm
અત્રે વસ્તુઅંતર u = 10 cm
u + v = D જ્યાં D સ્પષ્ટ પ્રતિબિંબ અંતર,
∴ v = D – u
∴ v = 25 – 10
∴ v = 15 cm
હવે અરીસાનું સૂત્ર,
∴ 
∴ R = 2 × (-30)
∴ R = – 60 cm
∴ |R|= 60 cm
પ્રશ્ન 32.
માધ્યમ-1ની સાપેક્ષે માધ્યમ-2નો વક્રીભવનાંક ……………………
(A) n12 = 
(B) n21 = 
(C) n12 = 
(D) n21 = 
જવાબ
(B) n21 = 
પ્રશ્ન 33.
નીચેનામાંથી કયું સૂત્ર માધ્યમ-1ની સાપેક્ષે માધ્યમ-2નો વક્રીભવનાંક દર્શાવતું નથી ?
(A) n21 = 
(B) n21 = 
(C) n21 = 
(D) n21 = 
જવાબ
(C) 21 = 
પ્રશ્ન 34.
n21 × n12 = …………………..
(A) 1
(B) – 1
(C) ∞
(D) 0
જવાબ
(A) 1
n21 × n12 = 
પ્રશ્ન 35.
સાપેક્ષ વક્રીભવનાંક માટે નીચેના સંબંધોમાંથી સાચો સંબંધ કયો છે ?
(A) 1n2 = 1n2 × 3n2
(B) 1n3 × 1n2 = 2n1
(C) 1n3 × 3n1 = 0
(D) 
જવાબ
(D) 
પ્રશ્ન 36.
કોઈ એક માધ્યમમાં પ્રકાશનો વેગ 200 × 106 m/s હોય તો, તે માધ્યમનો વક્રીભવનાંક ………………….. છે. [C = 3 × 108m/s]
(A) 1
(B) 1.2
(C) 1.33
(D) 1.5
જવાબ
(D) 1.5
વક્રીભવનાંક n = 
પ્રશ્ન 37.
પ્રકાશનું કિરણ હવામાંથી કાચના માધ્યમમાં દાખલ થાય ત્યારે તેની તરંગલંબાઈ ……………………….
(A) ઘટશે
(B) વધશે
(C) અચળ રહેશે
(D) કાચના વક્રીભવનાંક ગણી થશે
જવાબ
(A) ઘટશે
હવામાં પ્રકાશનો વેગ c = vλ
કાચમાં પ્રકાશનો વેગ v = vλ’ (આવૃત્તિ અચળ રહે)
∴ n = 
∴ λ’ = 
∴ λ’ < λ
પ્રશ્ન 38.
3 વક્રીભવનાંકવાળા અને 4mm જાડાઈના કાચના સ્લેબમાંથી પસાર થતાં પ્રકાશને લાગતો સમય …………………………..
[c = 3 × 108ms-1]
(A) 4 × 10-11
(B) 2 × 10-11 s
(C) 2.5 × 1010 s
(D) 36 × 105 s
જવાબ
(A) 4 × 10-11 s
n = 
∴ t = 
= 
પ્રશ્ન 39.
જ્યારે પ્રકાશ એક માધ્યમમાંથી બીજા માધ્યમમાં જાય છે ત્યારે અચળ રહેતી ભૌતિકરાશિ ……………………. છે.
(A) વેગ
(B) આવૃત્તિ
(C) તરંગલંબાઈ
(D) વક્રીભવનાંક
જવાબ
(B) આવૃત્તિ
પ્રશ્ન 40.
જ્યારે પ્રકાશનું કિરણ હવામાંથી પાણીમાં પ્રવેશે ત્યારે ………………..
(A) આવૃત્તિ વધે પણ ઝડપ ઘટે.
(B) આવૃત્તિ અચળ રહે પણ તરંગલંબાઈ ઘટે.
(C) આવૃત્તિ અચળ રહે પણ તરંગલંબાઈ વધે.
(D) આવૃત્તિ ઘટે અને તરંગલંબાઈ પણ ઘટે છે.
જવાબ
(B) આવૃત્તિ અચળ રહે પણ તરંગલંબાઈ ઘટે.
પ્રશ્ન 41.
પ્રકાશનું કિરણ ઘટ્ટ માધ્યમમાંથી પાતળા માધ્યમમાં જાય ત્યારે આપાતકોણ θ1 અને વક્રીભૂતકોણ θ2 હોય તો ……………………..
(A) θ1 > θ2
(B) θ1 < θ2
(C) θ1 = θ2
(D) θ2 > θ1 અથવા θ1 > θ2
જવાબ
(B) θ1 < θ2
સ્નેલના નિયમ પરથી,
n1sinθ1 = n2sinθ2
પણ n1 > 2
∴ sinθ1 < sinθ2
∴ θ1 < θ2 (∵ પ્રથમ ચરણમાં sine વધતું વિધેય છે)
પ્રશ્ન 42.
ગરમ ઉનાળામાં દિવસ દરમિયાન વાતાવરણમાં ઊંચે જતાં હવાનો વક્રીભવનાંક …………………….
(A) ઘટતો જાય છે.
(B) વધતો જાય છે.
(C) બદલાતો નથી.
(D) એક કરતાં ઓછો થાય છે.
જવાબ
(B) વધતો જાય છે.
પ્રશ્ન 43.
આપેલ પ્રકાશનો વેગ ……………………. બદલવાથી બદલી શકાય છે.
(A) કંપવિસ્તાર
(B) આવૃત્તિ
(C) તરંગલંબાઈ
(D) માધ્યમ
જવાબ
(D) માધ્યમ
પારદર્શક માધ્યમનો નિરપેક્ષ વક્રીભવનાંક
n = 
આમ, માધ્યમ બદલાય તો વક્રીભવનાંક n પણ બદલાય અને ઉપરના સૂત્ર પરથી તેના પ્રકાશનો વેગ બદલાય છે.
પ્રશ્ન 44.
હવાની સાપેક્ષે એક કાચનો વક્રીભવનાંક 1.8 હોય, તો તે કાચની સાપેક્ષે હવાનો વક્રીભવનાંક ……………………
(A) 1
(B) 1.8
(C) 0.556
(D) 5.56
જવાબ
(C) 0.556
nag = 
પ્રશ્ન 45.
પ્રકાશનું કિરણ µ વક્રીભવનાંકવાળા માધ્યમમાં દાખલ થાય ત્યારે વક્રીભૂતકોણ આપાતકોણથી અડધો મળે છે, તો આપાતકોણનું મૂલ્ય ……………………… છે.
(A) 2sin-1 (
(B) 2cos-1(µ)
(C) cos-1 (
(D) 2cos-1 (
જવાબ
(D) 2cos-1 (

પ્રશ્ન 46.
હવાના સંપર્કમાં રહેલ કાચના સ્લેબ પર 5460 Å તરંગલંબાઈવાળો લીલો પ્રકાશ 
આપાત થાય છે. જો કાચના દ્રવ્યનો વક્રીભવનાંક 1.5 હોય તો, કાચના સ્લેબમાં 
આપેલ પ્રકાશની તરંગલંબાઈ …………………………….. થશે.
(A) 5460 Å
(B) 4860 Å
(C) 3640 Å
(D) 2100 Å
જવાબ
(C) 3640 Å
n = 
λ = હવામાં તરંગલંબાઈ = 5460 m
λ’ = માધ્યમમાં તરંગલંબાઈ,
n = 1.5
∴ λ’ = 
= 
= 3640
પ્રશ્ન 47.
ડાયમંડ, કાચ અને પાણીના માધ્યમમાં પ્રકાશનો વેગ નીચેનામાંથી કયા ક્રમ અનુસાર ઘટે છે ?
(A) પાણી > કાચ > ડાયમંડ
(B) ડાયમંડ > કાચ > પાણી
(C) ડાયમંડ > પાણી > કાચ
(D) પાણી > ડાયમંડ > કાચ
જવાબ
(A) પાણી > કાચ > ડાયમંડ
માધ્યમમાં પ્રકાશનો વેગ અને માધ્યમના વક્રીભવનાંક વચ્ચેનો
સંબંધ v ∝ 
જો ડાયમંડ, કાચ અને પાણીના વક્રીભવનાંક અનુક્રમે nD, nG nwનાં મૂલ્યો માટે,
nD > nG > nw હોવાથી, આ માધ્યમોમાં પ્રકાશનો વેગ vw > vG > vD થશે.
પ્રશ્ન 48.
પાણી અને કાચના વક્રીભવનાંકો અનુક્રમે 1.2 અને 1.5 હોય તો, પાણીની સાપેક્ષે કાચનો વક્રીભવનાંક કેટલો ?
(A) 1.6
(B) 1.4
(C) 1.0
(D) 1.25
જવાબ
(D) 1.25
પાણીની સાપેક્ષે કાચનો વક્રીભવનાંક ngw = 
∴ ngw = 
પ્રશ્ન 49.
હવામાંથી પાણીની સપાટી પર α1 કોણે ધ્વનિતરંગ આપાત થઈ α2 કોણે વક્રીભૂત થતો હોય અને સ્નેલનો નિયમ પળાતો હોય તો, ……………………..
(A) α1 = α2
(B) α1 > α2
(C) α1 < α2
(D) આમાંથી એક પણ નહીં
જવાબ
(C) α1 < α2

આપાતકોણ i = α1
પરાવર્તનકોણ r = α2
અહીં સ્નેલના નિયમનું પાલન થાય છે.
∴ nA sin α1 = nWsin α2
∴ 
હવે 
vA < nW ……………. (2)
(પાણીમાં ધ્વનિનો વેગ હવા કરતાં વધુ હોય છે.)
સમીકરણ (1) અને (2) પરથી,
∴ α1 < α2 (sin વિધેય વધતું વિધેય છે.)
પ્રશ્ન 50.
શૂન્યાવકાશમાં મૂકેલ સંપૂર્ણ પારદર્શક પદાર્થ અદૃશ્ય રહે છે, તો તેનો વક્રીભવનાંક કેટલો હોય ?
(A) એક
(B) એક કરતાં વધુ
(C) એક કરતાં ઓછો
(D) 1.33
જવાબ
(A) એક
પ્રશ્ન 51.
હીરાનો વક્રીભવનાંક 2.0 છે. આથી તેમાં પ્રકાશનો વેગ લગભગ …………………….. cm/s.
(A) 6 × 1010
(B) 3.0 × 1010
(C) 2 × 1010
(D) 1.5 × 1010
જવાબ
(D) 1.5 × 1010

∴ 2.0 = 
∴ v = 
∴ v = 1.5 × 1010 cm/s
પ્રશ્ન 52.
0.5 
તો અંશતઃ પરાવર્તિત કિરણની તીવ્રતા કેટલી હશે ?
(A) 0.04 
(B) 0.02 
(C) 2 
(D) 4 
જવાબ
(B) 0.02 
પરાવર્તિત કિરણની તીવ્રતા,
Ir = I0
0.5
∴ Ir = 0.02
પ્રશ્ન 53.
પ્રકાશનું કિરણ એક પ્રવાહીની સપાટી પર એવી રીતે આપાત થાય છે કે જેથી 
પરાવર્તિત અને વક્રીભૂત કિરણો પરસ્પર લંબ છે. જો વક્રીભવનાંક 1.4 હોય તો 
આપાતકોણ શોધો.
(A) 54.5°
(B) 55.4°
(C) 5.45°
(D) 5.54°
જવાબ
(A) 54.5°

આકૃતિ પરથી,
θ1 + 90° + θ2 = 180°
∴ θ2 = 90 – θ1
હવે, n1sinθ1 = n2sinθ2, = n2sin(90° – θ1)
n1 = 1, n2 = 1.4, θ1 = ?
∴ (1)sinθ1 = 1.4 c°sθ1
∴ 
∴ θ1 = tan-1(1.4) = 54.5°
પ્રશ્ન 54.
આકૃતિ (i) અને (ii) માં પ્રકાશનું કિરણ હવામાંથી કાચમાં અને હવામાંથી 
પાણીમાં વક્રીભવન પામતું બતાવ્યું છે. હવે આકૃતિ (iii) માં બતાવેલ વક્રીભવન
 માટે વક્રીભૂત કોણ નું મૂલ્ય કેટલું હશે ?

(A) 30°
(B) 350
(C) 60°
(D) 41°
જવાબ
(B) 35°
aμg = 
aμw = 
wμg = 
aμg = aμw × wμg
∴ sinθ = sin35°
∴ θ = 35°
પ્રશ્ન 55.
એક સરોવરના કાંઠે ઊભેલા અવલોકનકારને પાણીમાં 12 cm ઊંડાઈએ માછલી રહેલી છે, તો માછલીનું પ્રતિબિંબ કેટલું ઊંચે આવેલું જણાશે ?
(A) 9 cm
(B) 12 cm
(C) 3 cm
(D) 3.8 cm
જવાબ
(C) 3 cm

પ્રશ્ન 56.
એક ટેન્ક પાણીથી 2m ઊંચાઈ સુધી (તળિયાથી) અંશતઃ ભરેલી છે. આકૃતિમાં 
દર્શાવ્યા પ્રમાણે પાણીની સપાટી પર 0.1 m જાડાઈનો કાચનો સ્લેબ મૂક્યો છે. 
જો પાણી અને કાચના વક્રીભવનાંકો અનુક્રમે 1.3 અને 1.5 હોય, તો ટાંકીના 
તળિયે મૂકેલ વસ્તુની, ઉપરથી જોતાં, આભાસી ઊંડાઈ કેટલી હશે ?

(A) 3.2 m
(B) 1.6 m
(C) 0.8 m
(D) 2.4m
જવાબ
(B) 1.6m
hi‘ = 
પ્રશ્ન 57.
n વક્રીભવનાંક અને તેં જાડાઈવાળો એક કાચનો સ્લેબ ટેબલ પર મૂકેલા કાગળ પર 
મૂકેલ છે. સ્લેબ નીચે રહેલા કાગળ પર સહીનું ટપકું કરેલ છે. સ્લેબને ઉપરથી 
જોતાં ટપકું કેટલું ઉપર દેખાશે ?
(A) (n – 1)
(B) (n + 1)
(C) (
(D) (
જવાબ
(A) (n – 1)
શિફ્ટ = સાચી ઊંડાઈ – આભાસી ઊંડાઈ = h0 – hi
= h0 – 
= 
∴ શિફ્ટ = (n – 1)
પ્રશ્ન 58.
પ્રવાહી ભરેલા પાત્રના તળિયે કરેલી નિશાની તળિયેથી 0.1 m ઉપર દેખાય છે. જો 
પ્રવાહીની કુલ ઊંડાઈ 1.0 m હોય, તો પ્રવાહીનો વક્રીભવનાંક ……………………… છે.
(B) 1.3
(C) 1.5
(D) 1.7
(A) 1.1
જવાબ
(A) 1.1

પ્રશ્ન 59.
એક તરવૈયો (swimmer) એક સ્વિમિંગ પુલમાં શિરોલંબ દિશામાં 2 ms-1
 ના વેગથી ડાઇવ મારી રહ્યો છે, તો આ શિરોલંબની નીચે પુલના તળિયે રહેલ એક 
સ્થિર માછલી તરવૈયાને ……………………… વેગથી પડતો જોશે. પાણીનો વક્રીભવનાંક 1.33 
છે. (માછલીને, તે વેગ માપી શકે તેટલી બુદ્ધિશાળી કલ્પો !!)
(A) 2.66 cms-1
(B) 26.6 cms-1
(C) 266 cms-1
(D) 26.6 ms-1
જવાબ
(A) 2.66 cms-1
તરવૈયો 1 sec માં B થી A સુધી આવે છે. ધારો કે પાણીની સપાટીથી છેડા A ની ઊંચાઈ, h0 છે. ધા૨ો કે તેની આભાસી ઊંચાઈ hi (hi > h0) છે.

∴ hi = h0 × 1.33 …………… (1)
સમી.(1) નું t સાપેક્ષે વિકલન કરતાં,
∴ 
∴ v’ = v × 1.33 = 2 × 1.33 = 2.66 m
જ્યાં, 
આમ, માછલીને તરવૈયો 2.66 ms-1 ના વેગથી પડતો જણાશે.
પ્રશ્ન 60.
પ્રકાશનું એક કિરણ કાચમાંથી હવામાં પ્રવેશ છે. જો આપાતકોણ 50° હોય, તો વિચલનકોણ કેટલો હશે ? કાચનો વક્રીભવનાંક 1.5 લો.
(A) 0°
(B) 80°
(C) 50° – sin-1(
(D) sin-1(1.5sin50°) – 50°
જવાબ
(D) sin-1(1.5sin50°) – 50°

સ્નેલના નિયમ અનુસાર,
1.5sin50° = (1)sinr
∴ r = sin-11.5 sin 50°)
હવે, δ = r – 50°
δ = sin-1(1.5 sin 50°)
પ્રશ્ન 61.
પ્રકાશીય પાતળા માધ્યમમાં રહેલી વસ્તુનું, પ્રકાશીય ઘટ્ટ માધ્યમમાંથી નિરીક્ષણ કરતાં તે વસ્તુ ………………………
(A) ઊંચે ખસેલી જણાય છે.
(B) નીચે ખસેલી જણાય છે.
(C) તે જ સ્થાને રહેલી જણાય છે.
(D) એક પણ નહીં
જવાબ
(A) ઊંચે ખસેલી જણાય છે.

∴ n = 
અહીં, hi > h0 આભાસી ઊંચાઈ > સાચી ઊંચાઈ
∴ વસ્તુ ઊંચે ખસેલી જણાય.
પ્રશ્ન 62.
2d ઊંડાઈના પાત્રમાં અડધો ભાગ µ1 વક્રીભવનાંકવાળા પ્રવાહીથી અને અડધો ભાગ µ2 વક્રીભવનાંકવાળા પ્રવાહીથી ભરેલો છે. પાત્રમાં પ્રવાહીની સપાટીને લંબરૂપે પાત્રમાં જોતાં પાત્રનું તળિયું …………………. ઊંડાઈએ દેખાશે.
(A) 2d
(B) 2dµ1µ2
(C) d[latex]\frac{1}{\mu_1}+\frac{1}{\mu_2}[/latex]
(D) 2d
જવાબ
(C) d[latex]\frac{1}{\mu_1}+\frac{1}{\mu_2}[/latex]

પ્રશ્ન 63.
એક પ્રકાશનું કિરણ 1.6 વક્રીભવનાંકવાળા કાચના 30 mm જાડાઈના સ્લેબ પર 53° 
ના કોણે આપાત થાય છે. જ્યારે આ કિરણ તેમાંથી બહાર નીકળે ત્યારે તેની લેટરલ 
શિફ્ટ કેટલી ?
(A) 9.023 mm
(B) 15.52 mm
(C) 13.53 cm
(D) 13.53 mm
જવાબ
(D) 13.53 mm
આપાત કિરણ માટે,
n1sinθ 1 = n2sinθ 2
(1) sin53° = 1.6sinθ 2
0.7986 = 1.6sinθ 2

પ્રશ્ન 64.
જુદા જુદા રંગોના અક્ષરો પર કાચનો એક સ્લેબ મૂકતાં …………………….. રંગના અક્ષરો ઓછામાં ઓછા ઊંચે આવેલા જણાશે.
(A) વાદળી
(B) જાંબલી
(C) લીલા
(D) લાલ
જવાબ
(B) જાંબલી
n = 
∴ n ∝ 
અને જાંબલી રંગની તરંગલંબાઈ સૌથી ઓછી, તેથી તેના માટે n સૌથી મોટો.
હવે hi = 
ઊંડાઈ સૌથી ઓછી હોય.
પ્રશ્ન 65.
એક પક્ષીને પાણીમાં રહેલ માછલી 3m ઊંડાઈએ જણાય છે, તો માછલીની સાચી ઊંડાઈ ………………… .
(પાણીનો વક્રીભવનાંક 
(A) 4 m
(B) 
(C) 
(D) 
જવાબ
(A) 4 m
hi = 
પ્રશ્ન 66.
પાણીમાં રહેલી વ્યક્તિને હવામાં રહેલ પદાર્થની ઊંચાઈ 3 m જણાય છે, તો આ પદાર્થની સાચી ઊંચાઈ ……………………
(A) 4 m
(B) 
(C) 
(D) 
જવાબ
(B) 

પ્રશ્ન 67.
નીચેનામાંથી કયું પૂર્ણ આંતરિક પરાવર્તન પર આધારિત નથી ?
(A) ઑપ્ટિકલ ફાઇબરનો સિદ્ધાંત.
(B) હીરાનું ઝળહવું.
(C) તળાવના તળિયાની સાચી અને આભાસી ઊંડાઈનો તફાવત.
(D) ઉનાળામાં દિવસે જોવા મળતી મરીચિકાની ઘટના.
જવાબ
(C) તળાવના તળિયાની સાચી અને આભાસી ઊંડાઈનો તફાવત.
પ્રશ્ન 68.
જ્યારે પ્રકાશનું કિરણ ……………………….. મુસાફરી કરે ત્યારે પૂર્ણ આંતરિક પરાવર્તન શક્ય છે.
(A) હવામાંથી પાણીમાં
(B) હવામાંથી કાચમાં
(C) પાણીમાંથી કાચમાં
(D) કાચમાંથી પાણીમાં
જવાબ
(D) કાચમાંથી પાણીમાં
પ્રકાશનું કિરણ ઘટ્ટ માધ્યમમાંથી પાતળા માધ્યમમાં જાય ત્યારે તે લંબથી દૂર જાય છે. તેથી પૂર્ણ આંતરિક પરાવર્તન શક્ય બને છે.
પ્રશ્ન 69.
જ્યારે પ્રકાશ ……………………. માં ગતિ કરે છે ત્યારે ક્રાંતિકોણ મહત્તમ બને છે.
(A) કાચમાંથી હવા
(B) પાણીમાંથી હવા
(C) કાચમાંથી પાણી
(D) પાણીમાંથી કાચ
જવાબ
(C) કાચમાંથી પાણી


પ્રશ્ન 70.
કાચનો હવાની સાપેક્ષે વક્રીભવનાંક અને ક્રાંતિકોણ અનુક્રમે n અને C છે. 
પ્રકાશનું કિરણ હવામાંથી ૮ આપાતકોણે પ્રવેશ છે, તો તેના માટે વક્રીભૂતકોણ r
 હોય તો sin r = ………………. .
(A) 
(B) 
(C) 
(D) 
જવાબ
(D) 

પૂર્ણ આંતરિક પરાવર્તન માટે, sinC = 
હવામાંથી C આપાતકોણે આપાત થાય ત્યારે વક્રીભૂતકોણ r મળે.

∴ સ્નેલના નિયમ પરથી n2 sinC = n1 sinr
(1) sinC = n sinr
∴ sinr = 
પ્રશ્ન 71.
પ્રકાશનું કિરણ હવામાં d અંતર કાપવા t1 સેકન્ડ અને માધ્યમમાં 50 અંતર કાપવા t2 સેકન્ડ લે તો માધ્યમનો
હવાની સાપેક્ષે ક્રાંતિકોણ ………………….. .
(A) tan-1
(B) sin-1
(C) sin-1
(D) tan-1
જવાબ
(B) sin-1
સ્નેલના નિયમ પરથી,
n1 sinC = n2 sin 90°

પ્રશ્ન 72.
1.5 વક્રીભવનાંકવાળા કાચમાંથી એક પ્રકાશનું કિરણ, 1.33 વક્રીભવનાંકવાળા પાણીમાં જાય છે, તો કાચનો ક્રાંતિકોણ ……………………. છે.
(A) sin-1(
(B) sin-1(
(C) sin-1(
(D) sin-1(
જવાબ
(A) sin-1(
વક્રીભવનાંક n = 
∴ C = sin-1(
અહીં પ્રકાશીય કિરણ કાચમાંથી પાણીમાં પ્રવેશે છે માટે
વક્રીભવનાંક સાપેક્ષ લેવો પડે.
∴ n = 
∴ 
સમીકરણ (1) પરથી, C = sin-1(
પ્રશ્ન 73.
હીરામાં પૂર્ણ આંતરિક પરાવર્તન માટે ક્રાંતિકોણ 24.5° હોય, તો હીરાના દ્રવ્યનો વક્રીભવનાંક ……………………… છે.
(sin 24.5° = 0.4147 લો.)
(A) 1.41
(B) 1.51
(C) 2.1
(D) 2.41
જવાબ
(D) 2.41
C = 24.5° sin(24.5) = 0.4147
વક્રીભવનાંક n = 
∴ n = 
∴ n = 2.41
પ્રશ્ન 74.
નીચેનામાંથી કયું કારણ હીરાના ચળકાટ માટે જવાબદાર છે? (AIIMS – 2002)
(A) વ્યતિકરણ
(B) વિવર્તન
(C) પૂર્ણ આંતરિક પરાવર્તન
(D) વક્રીભવન
જવાબ
(C) પૂર્ણ આંતરિક પરાવર્તન
પ્રશ્ન 75.
પ્રકાશનું એક કિરણ પાણીમાંથી કાચમાં પ્રવેશે છે, તો તેના માટે ક્રાંતિકોણનું મૂલ્ય …………………
(A) 41°34′
(B) 48°26′
(C) 62°27′
(D) શક્ય નથી
જવાબ
(D) શક્ય નથી
પ્રકાશનું કિરણ ઘટ્ટ માધ્યમમાંથી પાતળા માધ્યમમાં જાય ત્યારે ક્રાંતિકોણ શક્ય છે.
પ્રશ્ન 76.
કાચમાંથી હવામાં પ્રવેશતા પ્રકાશના કિરણના કયા રંગ માટેનો ક્રાંતિકોણ મહત્તમ મળશે ?
(A) લાલ
(B) લીલો
(C) પીળો
(D) જાંબલી
જવાબ
(A) લાલ
આપેલ રંગો પૈકી લાલ રંગનો વક્રીભવનાંક (µ) ન્યૂનતમ મળે અને sin C = 
sine વિધેય વધતું વિધેય છે. તેથી, ક્રાંતિકોણ C પણ મહત્તમ મળે.
પ્રશ્ન 77.
આકૃતિમાં દર્શાવ્યા પ્રમાણે કાટકોણ પ્રિઝમ માટે કિરણ – 1 એ આપાતકિરણ છે, 
જ્યારે કિરણ – 2 નિર્ગમનકિરણ છે, તો પ્રિઝમના દ્રવ્યનો વક્રીભવનાંક …………………
 થશે.

(A) 
(B) 
(C) 
(D) √2
જવાબ
(D) √2
આકૃતિમાં દર્શાવ્યા મુજબ પ્રિઝમમાં AB સપાટી પર D બિંદુએ આપાત થતું કિરણ – 1 પૂર્ણઆંતરિક પરાવર્તન પામે છે.
∴ D બિંદુએ AB સપાટીએ રચેલ લંબ MN સાથે આપાતકિરણે પ્રિઝમમાં બનાવેલ ક્રાંતિકોણ C = 45° જેટલો થાય.
n = 
= √2
બીજી રીત :
આકૃતિ પરથી સ્પષ્ટ છે કે કિરણ પ્રિઝમમાં D અને E બિંદુએથી પૂર્ણ આંતરિક પરાવર્તન પામે છે. આ બિંદુએ આપાતકોણનાં મૂલ્યો
45° છે.
∴ 45° > C (ક્રાંતિકોણ)
⇒ sin 45° > sin C ⇒ 
પ્રશ્ન 78.
એક પ્રકાશકિરણ ઘટ્ટ માધ્યમમાંથી પાતળા માધ્યમમાં ગતિ કરે છે. આ માધ્યમો 
માટેનો ક્રાંતિકોણ C છે, તો કિરણનું મહત્તમ વિચલન ………………… જેટલું થશે.

(A) π – 2
(B) π – 2C
(C) 2C
(D) 
[Hint : પૂર્ણ આંતરિક પરાવર્તન વખતની સ્થિતિ આકૃતિમાં દર્શાવેલ છે.]
જવાબ
(B) π – 2C
- જો ઘટ્ટ માધ્યમમાંથી પાતળા માધ્યમની સપાટી પર આપાતકોણ ક્રાંતિકોણ કરતાં સહેજ મોટો હોય તો પૂર્ણ આંતરિક પરાવર્તન થાય અને તેથી i = c (ક્રાંતિકોણ) થાય.
- આ સ્થિતિમાં કિરણનું મહત્તમ વિચલન થાય.

- OP = આપાતિકરણ
 PQ = પરાવર્તિત કિરણ
 ∠OPN’ = ક્રાંતિકોણ C
 ∠N’PQ = C [∵ i = r]
 ∠RPQ = δ
- આકૃતિ પરથી ∠OPR = ∠OPQ + ∠RPQ
 180° = 2C + δ
 ∴ δ = π – 2C [∵ 180° = π]
પ્રશ્ન 79.
ક્રાંતિકોણ જેટલા આપાતકોણે જે …………………… મળે છે તેને ક્રાંતિકિરણ કહે છે.
(A) વક્રીભૂતકિરણ
(B) પરાવર્તિત કિરણ
(C) આપાતિકરણ
(D) આંશિક વક્રીભૂતિકરણ
જવાબ
(B) પરાવર્તિત કિરણ
પ્રશ્ન 80.
ઓપ્ટિકલ ફાઇબરના ક્લેડિંગ દ્રવ્યનો વક્રીભવનાંક ફાઇબરના દ્રવ્યના વક્રીભવનાંક કરતાં ……………………. .
(A) વધારે હોય છે.
(B) ઓછો હોય છે.
(C) વધારે કે ઓછો હોતો નથી.
(D) વધારે કે ઓછો હોય છે.
જવાબ
(B) ઓછો હોય છે.
પ્રશ્ન 81.
કાચ-હવા ક્રાંતિકોણ 42° છે, તો આ કાચમાં પ્રકાશનો વેગ …………………. હશે.
(A) 3 × 108 ms-1
(B) 2 × 108 ms-1
(C) 1.5 × 108 ms-1
(D) 2.5 × 108 ms-1
જવાબ
(B) 2 × 108 ms-1
ક્રાંતિકોણ C = 42°
હવામાં વેગ c = 3 × 108 ms-1
વક્રીભવનાંક n = 
∴ 
∴ v = 3 × 108 × sin C
= 3 × 108 × sin 42°
= 3 × 108 × 0.6691
= 2.0073 × 108 ∴ v ≈ 2 × 108 ms-1
પ્રશ્ન 82.
પ્રકાશનું કિરણ હવામાંથી ઘટ્ટ માધ્યમમાં દાખલ થાય છે. જો પરાવર્તિત અને 
વક્રીભૂત કિરણ એકબીજાને લંબ પ્રસરે, તો માધ્યમનો આપાતકોણ …………………………. થાય ?
(A) sin-1 (tan-1 C)
(B) cos-1(tan C)
(C) tan-1(sin-1 C)
(D) sin-1(c°s C)
જવાબ
(C) tan-1(sin-1 C).

પૂર્ણ આંતરિક પરાવર્તન માટે sinC =
અને બ્રુસ્ટરના નિયમ પરથી n = tanθP
∴ sinC = 
∴ tani = 
∴ i = tan-1(sin-1 C)
પ્રશ્ન 83.
જેનો વક્રીભવનાંક 2.42 છે તેવા હીરાનો ક્રાંતિકોણ શોધો.
(A) 2.441
(B) 14.24
(C) 24.41
(D) 44.41
જવાબ
(C) 24.41
sinC = 
∴ C = sin-1(
પ્રશ્ન 84.
જો પાણી અને કાચ માટે ક્રાંતિકોણ અનુક્રમે CW અને CG હોય, તો તેમની વચ્ચેનો સંબંધ ………………………. છે.
nW = 
(A) CW = CG
(B) CW < CG
(C) CW = CG = 0
(D) CW > CG
જવાબ
(D) CW > CG
ક્રાંતિકોણ C = sin-1[latex]\frac{1}{n}[/latex]મુજબ,
CW = sin-1[latex]\frac{1}{n_{\mathrm{w}}}[/latex] = sin-1[latex]\frac {3}{4}[/latex] = sin-1(0.7500)
CG = sin-1[latex]\frac{1}{n_{\mathrm{g}}}[/latex] = sin-1[latex]\frac{1}{1.5}[/latex] sin-1(0.6666)
∴ CW > CG
પ્રશ્ન 85.
A અને B પ્રવાહીમાં પ્રકાશની તરંગલંબાઈ અનુક્રમે 3500 Å અને 7000 Å છે, તો પ્રવાહી Aનો પ્રવાહી Bની સાપેક્ષે ક્રાંતિકોણ ……………………
(A) 15°
(B) 30°
(C) 45°
(D) 60°
જવાબ
(B) 30°
પ્રવાહી Bની સાપેક્ષે Aનો વક્રીભવનાંક 
પણ, 
sinC = 
∴ C = sin-1(
પ્રશ્ન 86.
પ્રકાશનું કિરણ પાતળા માધ્યમમાંથી ઘટ્ટ માધ્યમમાં પ્રવેશે છે. પાતળા 
માધ્યમમાં પ્રકાશની ઝડપ, ઘટ્ટ માધ્યમમાં તેની ઝડપ કરતાં બમણી છે, તો પૂર્ણ 
આંતરિક પરાવર્તન માટે ક્રાંતિકોણ કેટલો હશે ?
(A) 30°
(B) 45°
(C) 60°
(D) એકપણ નહીં
જવાબ
(A) 30°

પ્રશ્ન 87.
μ જેટલા વક્રીભવનાંકવાળા પારદર્શક માધ્યમમાં આપાત થતાં કિરણનો આપાત 45° છે,
 તો μ ની કંઈ કિંમત માટે તે પૂર્ણ આંતરિક પરાવર્તન અનુભવશે ?
(A) 1.25
(B) 1.33
(C) 1.40
(D) 1.50
જવાબ
(D) 1.50
પૂર્ણ આંતરિક પરાવર્તન માટે,
i > C
∴ sini > sinC
∴ sin45° > 
∴ 
∴ μ > √2
∴ μ > 1.414 ∴ યોગ્ય વિકલ્પ μ = 1.5
પ્રશ્ન 88.
ઘટ્ટ માધ્યમ (n2)માં રહેલ બિંદુવત્ વસ્તુમાંથી નીકળતાં કિરણો વક્રસપાટી આગળથી વક્રીભવન પામી પાતળા માધ્યમ (n1)માં ગતિ કરે, તો તેના માટેનું સૂત્ર …………………………..

જવાબ
(A) 
પ્રશ્ન 89.
પાતળા લેન્સની કેન્દ્રલંબાઈ ……………………….
(A) વક્રીભવનાંક વધતાં ઘટે છે.
(B) વક્રીભવનાંક વધતાં વધે છે.
(C) વક્રીભવનાંકના મૂલ્ય સાથે બદલાતી નથી.
(D) ઉપરનામાંથી એક પણ નહિ.
જવાબ
(A) વક્રીભવનાંક વધતાં ઘટે છે.
લેન્સ માટે, 
પ્રશ્ન 90.
બહિર્ગોળ લેન્સની બંને બાજુની વક્રતાત્રિજ્યા 15 cm અને માધ્યમનો 
વક્રીભવનાંક 1.5 હોય તો, લેન્સની હવાની સાપેક્ષ કેન્દ્રલંબાઈ ……………………… cm 
થશે.
(A) 10
(B) 15
(C) 20
(D) 30
જવાબ
(B) 15
લેન્સમેકરના સમીકરણ પરથી,
અહીં, R1 = 15, R2 = -15, μ = 1.5 લેતાં,
⇒ f = 
પ્રશ્ન 91.
બંને બાજુ સમાન વક્રતાત્રિજ્યા ધરાવતા બહિગોળ લેન્સની કેન્દ્રલંબાઈ તેની 
કોઈ એક બાજુની વક્રતાત્રિજ્યા જેટલી છે, તો લેન્સના દ્રવ્યનો વક્રીભવનાંક 
……………………… હશે.
(A) 
(B) 1.5
(C) 2.5
(D) 0.8
જવાબ
(B) 1.5
R1 = R, R2 = -R, f = R લેતાં,
બહિર્ગોળ લેન્સ માટે,
∴ 1 = 2μ – 2
∴ 2μ = 3
∴ μ = 
પ્રશ્ન 92.
કાચની બન્ને સપાટીઓની સમાન વક્રતાત્રિજ્યાવાળો બહિર્ગોળ અથવા અંતર્ગોળ 
લેન્સ આપેલ છે. જો કાચનો વક્રીભવનાંક 1.5 હોય, તો તેની કેન્દ્રલંબાઈ = 
………………….. જ્યાં R = વક્રતાત્રિજ્યા.
(A) R
(B) 
(C) 2R
(D) 
જવાબ
(A) R
= (1.5 – 1)
∴ f = R
= – (1.5 – 1)
∴ f = -R ∴ f = R (મૂલ્ય)
પ્રશ્ન 93.
કાચ µ = 
(A) f = R
(B) f = 
(C) f = 2R
(D) f = 
જવાબ
(C) f = 2R
લેન્સમેકર્સના સૂત્ર પરથી,

∴ f = 2R
નોંધ : જો અહીં સમતલ બહિર્ગોળ લેન્સના બદલે સમાન
બહિર્ગોળ લેન્સ આપેલું હોય તો જવાબ f = R મળે.
પ્રશ્ન 94.
સમતલ-બહિર્ગોળ લેન્સની વક્રતાત્રિજ્યા 10 cm છે. જો તેની કેન્દ્રલંબાઈ 30 cm હોય તો, લેન્સના દ્રવ્યનો વક્રીભવનાંક ……………………… થશે.
(A) 1.1
(B) 1.22
(C) 1.33
(D) 1.66
જવાબ
(C) 1.33

પ્રશ્ન 95.
એક બહિર્ગોળ ગોળીય સપાટીની વક્રતાત્રિજ્યા 50 cm છે. માધ્યમનો વક્રીભવનાંક 1.5 છે, તો પ્રથમ અને દ્વિતીય કેન્દ્રલંબાઈઓ શોધો.
(A) -100 cm, 150 cm
(B) -150 cm, 100 cm
(C) 100 cm, -150 cm
(D) 150 cm, -100 cm
જવાબ
(A) -100 cm, 150 cm
f1 = 
f2 = 
= 
પ્રશ્ન 96.
એક પાતળા બહિર્ગોળ લેન્સનાં દ્રવ્યો µ = 1.5 છે અને બંને સપાટીઓની 
વક્રતાત્રિજ્યા 20cm છે. તેની અક્ષને સમાંતર રહીને આપાત થતાં કિરણો d અંતરે
 મળે તો d = …………………. cm.
(A) 
(B) 10
(C) 20
(D) 40
જવાબ
(C) 20
∴ 
∴ 
∴ d = 20 cm
પ્રશ્ન 97.
પાતળા બહિર્ગોળ લેન્સની લેટરલ મેગ્નિફિકેશન એક હોય ત્યારે વસ્તુઅંતર અને પ્રતિબિંબ અંતરોનાં મૂલ્યો ……………………. હોય છે.
(A) f, f
(B) f, 2f
(C) 2f, f
(D) 2f, 2f
જવાબ
(D) 2f, 2f
લેન્સ માટે મોટવણી, m = 
∴ v = u
∴ 
∴ 
∴ 
પ્રશ્ન 98.
એક વસ્તુને લેન્સથી 24 cm અંતરે અને પછી 16 cm અંતરે મૂકતાં બંને કિસ્સામાં
 પ્રતિબિંબ સમાન રહે છે, તો આ લેન્સની કેન્દ્રલંબાઈ કેટલી હશે ?
(A) 22 cm
(B) 20 cm
(C) 18 cm
(D) એક પણ નહીં
જવાબ
(B) 20 cm

∴ 24 – f = f – 16
∴ 40 = 2f
∴ f = 20 cm
પ્રશ્ન 99.
એક પાતળા કાચના લેન્સ માટે વક્રતાત્રિજ્યા 20 cm હોય, તો તેની કેન્દ્રલંબાઈ
 ………………….. cm થશે. લેન્સના દ્રવ્યનો વક્રીભવનાંક (n) 1.5 છે અને તેને 
હવામાં રાખવામાં આવેલ છે.
[Hint : હવા-કાચના લેન્સ માટે, 
(A) 20
(B) 40
(C) 60
(D) 80
જવાબ
(B) 40
પ્રશ્ન 100.
એક ગોળાકાર બહિર્ગોળ સપાટી વસ્તુ અને પ્રતિબિંબ વચ્ચેના અંતરને અલગ પાડે 
છે. તેઓનો અનુક્રમે વક્રીભવનાંક 1.0 અને 1.5 છે. બહિર્ગોળ સપાટીની 
વક્રતાત્રિજ્યા 25 cm હોય, તો તેનો પાવર ……………………. D થશે.
(A) 13
(B) 33
(C) 3.3
(D) 1.3
[Hint: 
જવાબ
(D) 1.3
કોઈ પણ વક્રસપાટી માટે,
અહીં વસ્તુ હવામાં અને પ્રતિબિંબ 1.5 વક્રીભવનાંકવાળા માધ્યમમાં છે.
∴ જો વસ્તુ અનંત અંતરે u = ∞
v = f મળે.

પ્રશ્ન 101.
જો બહિર્ગોળ લેન્સની કેન્દ્રલંબાઈ રાતા, લીલા અને વાદળી રંગો માટે અનુક્રમે fr, fg અને fb છે, તો નીચેનામાંથી કયું
વિધાન સાચું ?
(A) fr < fg
(B) fg < fr
(C) fb > fr
(D) fr = fg = fb
જવાબ
(B) fg < fr
જેમ 2 નાની તેમ વક્રીભવનાંક n = 
પ્રશ્ન 102.
કાચના એક લેન્સની કેન્દ્રલંબાઈ પ્રથમ હવામાં અને પછી પાણીમાં માપવામાં આવે છે. જો આ મૂલ્યો અનુક્રમે f1 અને f2 હોય, તો …………………
(A) f1 = f2
(B) f1 < f2
(C) f1 > f2
(D) f2 = 1.33 f1
જવાબ
(B) f1 < f2
હવે, હવા માટે, 
પાણી માટે, 
પાણીમાં આ ગુણોત્તર ઓછો છે, તેથી † મોટી બને.
પ્રશ્ન 103.
આકૃતિમાં દર્શાવ્યા મુજબ બહિર્ગોળ લેન્સ અલગ-અલગ ત્રણ માધ્યમનો બનેલો છે. 
જો તેની અક્ષ પર બિંદુવત્ વસ્તુ મૂકવામાં આવે તો, કેટલા પ્રતિબિંબો રચાશે ?

(A) 1
(B) 2
(C) 3
(D) 4
જવાબ
(C) 3
આપેલ જુદા જુદા દ્રવ્યોથી બનેલા બહિર્ગોળ લેન્સ માટે પ્રતિબિંબોની સંખ્યા = દ્રવ્યોની સંખ્યા
∴ ત્રણ દ્રવ્યોથી બનેલા લેન્સ દ્વારા અક્ષ પર મૂકેલ વસ્તુનાં ત્રણ પ્રતિબિંબ રચાશે.
પ્રશ્ન 104.
આકૃતિમાં દર્શાવ્યા મુજબ ત્રુટક રેખામાં બહિર્ગોળ લેન્સને બે ભાગમાં 
કાપવામાં આવે, તો દરેક ભાગ (લેન્સ) ની કેન્દ્રલંબાઈ …………………… થશે.

(A) 
(B) f
(C) 3f
(D) 2f
જવાબ
(D) 2f
બહિર્ગોળ લેન્સ માટે,
= (n – 1) (
= (n – 1) ((
∴ f = 
હવે બહિર્ગોળ લેન્સને તેની અક્ષને લંબ એવી દિશામાં બે સમાન ભાગમાં કાપતાં 
સમતલ બહિર્ગોળ લેન્સ તૈયાર થાય છે. આવા લેન્સની કેન્દ્રલંબાઈ f1 હોય તો,

પ્રશ્ન 105.
બે અંતર્ગોળ લેન્સનું સંયોજન હંમેશાં …………………….. તરીકે વર્તે છે.
(A) એક બહિર્ગોળ લેન્સ
(B) એક અંતર્ગોળ લેન્સ
(C) એક ગ્લાસના લંબઘન
(D) સમતલ અરીસા
જવાબ
(B) એક અંતર્ગોળ લેન્સ
બે લેન્સના સંયોજનની સમતુલ્ય કેન્દ્રલંબાઈ,
f = 
f = 
∴ f = ઋણ મળે.
∴ એક અંતર્ગોળ લેન્સની માફક વર્તે છે.
પ્રશ્ન 106.
બે બહિર્ગોળ લેન્સનું સંયોજન હંમેશાં ………………….. તરીકે વર્તે છે.
(A) એક અંતર્ગોળ લેન્સ
(B) એક બહિર્ગોળ લેન્સ
(C) એક ગ્લાસના લંબઘન
(D) સમતલ અરીસા
જવાબ
(B) એક બહિર્ગોળ લેન્સ
બે લેન્સના સંયોજનની સમતુલ્ય કેન્દ્રલંબાઈ,
f = 
f = 
∴ f = ધન મળે.
∴ એક બહિર્ગોળ લેન્સની માફક વર્તે છે.
પ્રશ્ન 107.
એક અંતર્ગોળ અને બહિર્ગોળ લેન્સની કેન્દ્રલંબાઈ સમાન છે, તો તેમને એકબીજાના સંપર્કમાં રાખતાં સંયોજન …………………… તરીકે વર્તે.
(A) અંતર્ગોળ લેન્સ
(B) બહિર્ગોળ લેન્સ
(C) પારદર્શક સમતલ પ્લેટ
(D) વક્રસપાટી
જવાબ
(C) પારદર્શક સમતલ પ્લેટ
∴ 
∴ સંયોજન તરીકે વર્તે પારદર્શક સમતલ પ્લેટ
પ્રશ્ન 108.
જે માધ્યમમાં પ્રકાશનો વેગ હવામાંના વેગ કરતાં અડધો હોય તેવાં માધ્યમમાંથી 
હવામાં દાખલ થવું હોય, તો આપાતકોણના ક્યા મૂલ્ય માટે તે પૂર્ણ આંતરિક 
પરાવર્તન પામશે ?
(A) 60°
(B) 45°
(C) 30°
(D) 15°
જવાબ
(C) 30°
વક્રીભવનાંક μ = 
પૂર્ણ આંતરિક પરાવર્તન માટે,
i – C
∴ sini = sinC
∴ sini = 
∴ sini = 
પ્રશ્ન 109.
અંતર્ગોળ અરીસો અને બહિર્ગોળ લેન્સના દ્રવ્ય (કાચનો વક્રીભવનાંક 1.5) 
બંનેની હવામાં કેન્દ્રલંબાઈ 3 cm છે. જ્યારે તેમને પાણીના વક્રીભવનાંક 
(A) fલેન્સ = 12 cm, fઅરીસો = 3 cm
(B) fલેન્સ = 3 cm, fઅરીસો = 12 cm
(C) fલેન્સ = 3 cm, fઅરીસો = 3 cm
(D) fલેન્સ = 12 cm, અરીસો = 12 cm
જવાબ
(A) fલેન્સ = 12 cm, fઅરીસો = 3 cm
બહિર્ગોળ લેન્સની નવી કેન્દ્રલંબાઈ = 4 × 3 = 12 cm
અંતર્ગોળ અરીસાને પાણીમાં રાખેલ હોય ત્યારે કેન્દ્રલંબાઈ બદલાતી નથી તેથી નવી કેન્દ્રલંબાઈ = 3 cm
પ્રશ્ન 110.
f કેન્દ્રલંબાઈવાળા બહિર્ગોળ લેન્સ વડે રચાતાં વાસ્તવિક પ્રતિબિંબ અને વસ્તુ વચ્ચેનું લઘુતમ અંતર ………………….
(A) 1.5f
(B) 2f
(C) 2.5f
(D) 4f
જવાબ
(D) 4f
પાઠ્યપુસ્તક સ્વાધ્યાય 9.19ના પરિણામ પરથી.
પ્રશ્ન 111.
નીચેનામાંથી કયા સાધન વડે ગમે તે વસ્તુઅંતર માટે પ્રતિબિંબ હંમેશાં વસ્તુ તરફની દિશામાં આભાસી અને ચત્તું મળે ?
(A) બહિર્ગોળ લેન્સ
(B) અંતર્ગોળ લેન્સ
(C) બહિર્ગોળ અરીસો
(D) અંતર્ગોળ અરીસો
જવાબ
(C) બહિર્ગોળ અરીસો
પ્રશ્ન 112.
એક બહિર્ગોળ લેન્સને તેના વક્રીભવનાંક જેટલાં જ વક્રીભવનાંકવાળા પ્રવાહીમાં ડુબાડવામાં આવે છે, તો તેની કેન્દ્રલંબાઈ ………………….
(A) ઘટશે
(B) શૂન્ય થશે
(C) નહીં બદલાય
(D) અનંત થશે
જવાબ
(D) અનંત થશે

∴ 
∴ f = અનંત
પ્રશ્ન 113.
બહિર્ગોળ લેન્સની કેન્દ્રલંબાઈ A અને અંતર્ગોળ લેન્સની કેન્દ્રલંબાઈ B ને 
એકબીજાના સંપર્કમાં મૂકતાં તે તંત્રની સમતુલ્ય કેન્દ્રલંબાઈ …………………. છે.
(A) A + B
(B) A – B
(C) 
(D) 
જવાબ
(D) \frac{A B}{A-B}
સંપર્કમાં રાખેલાં બે લેન્સની સમતુલ્ય કેન્દ્રલંબાઈ,

પ્રશ્ન 114.
25 cm અને 30 cm કેન્દ્રલંબાઈવાળા બે બહિર્ગોળ લેન્સ અનુક્રમે 1 અને 2 ને 
સંપર્કમાં એવી રીતે રાખ્યા છે કે તેમની અક્ષ સમાન રહે. આ સંયોજનની 
કેન્દ્રલંબાઈ …………………… cm.
(A) 1.36
(B) 13.6
(C) 31.6
(D) 61.3
જવાબ
(B) 13.6

∴ f = 13.6 cm
પ્રશ્ન 115.
25 cm કેન્દ્રલંબાઈવાળો એક બહિર્ગોળ અને 30 cm કેન્દ્રલંબાઈવાળો એક 
અંતર્ગોળ લેન્સ, તેમની અક્ષ સમાન બને તેમ સંપર્કમાં રાખ્યા છે. આ સંયોજનની 
કેન્દ્રલંબાઈ શોધો.
(A) 1.5 cm
(B) 27 cm
(C) 150 cm
(D) 15 cm
જવાબ
(C) 150 cm

પ્રશ્ન 116.
μ1 વક્રીભવનાંકવાળા દ્રવ્યમાંથી બનાવેલા બહિર્ગોળ લેન્સને આકૃતિમાં બતાવ્યા પ્રમાણે μ2 વક્રીભવનાંક ધરાવતાં માધ્યમમાં ડુબાડેલો છે તો μ1 અને μ2 વચ્ચેનો સંબંધ ………………… .

(A) μ1 < μ2
(B) μ1 > μ2
(C) μ1 = μ2
(D) μ1 = 
જવાબ
(A) μ1 < μ2
પ્રશ્ન 117.
આકૃતિમાં દર્શાવ્યા અનુસાર પ્રકાશના કિરણનો ગતિમાર્ગ હોય તો વક્રીભવનાંકોનો સંબંધ …………………… .

(A) μ > μ2 > μ1
(B) μ < μ2 < μ1
(C) μ < μ2, μ = μ1
(D) μ2 < μ1, μ = μ2
જવાબ
(C) μ < μ2, μ = μ1
પ્રશ્ન 118.
ડાઇવરન્ટ લેન્સ અને વસ્તુ વચ્ચેનું અંતર તેની કેન્દ્રલંબાઈ કરતાં m ગણું છે. તો લેન્સ વડે મળતી રેખીય મોટવણી ………………. .
(A) m
(B) 
(C) m + 1
(D) 
જવાબ
(D) 

પ્રશ્ન 119.
આપેલા લેન્સનો પાવર ………………. આધાર રાખે છે.
(A) માત્ર લેન્સના માધ્યમના પ્રકાર પર
(B) લેન્સના માધ્યમના પ્રકાર અને લેન્સ જે માધ્યમમાં હોય તેના પ્રકાર પર
(C) ફક્ત લેન્સ જે માધ્યમમાં હોય તેના કદ પર
(D) ઉપરનામાંથી કોઈ નહીં.
જવાબ
(B) લેન્સના માધ્યમના પ્રકાર અને લેન્સ જે માધ્યમમાં હોય તેના પ્રકાર પર
પ્રશ્ન 120.
+1.5 D અને −2.5 D જેટલા પાવર ધરાવતા બે લેન્સથી બનતાં સંયોજિત લેન્સનો પાવર ………………… છે.
(A) -1.0 D
(B) 
(C) 
(D) 4.0 D
જવાબ
(A) -1.0 D
P = P1 + P2
= -2.5D + 1.5 D = -1.0 D
પ્રશ્ન 121.
25 cm કેન્દ્રલંબાઈવાળા અંતર્ગોળ લેન્સનાં સંપર્કમાં 40 cm 
કેન્દ્રલંબાઈવાળો બહિર્ગોળ લેન્સ મૂકેલો છે. આ સંયોજનનો પાવર …………………….. 
છે.
(A) -6.5 D
(B) +6.5 D
(C) +1.5 D
(D) -1.5 D
જવાબ
(D) -1.5 D
f1 = 25 cm વાળા અંતર્ગોળ લેન્સ માટે પાવર
P1 = 
f2 = 40 cm કેન્દ્રલંબાઈવાળા બહિર્ગોળ લેન્સ માટે પાવર
P2 = 
નોંધ : અંતર્ગોળ લેન્સની કેન્દ્રલંબાઈ ઋણ હોય.
∴ બંને લેન્સના સંયોજનનો પાવર p હોય તો,
P = P1 + P2 = -4.0 + 2.5 -1.5 D
પ્રશ્ન 122.
2D અને 3D પાવરવાળા બે લેન્સને સંપર્કમાં રાખેલા છે, તો આ સંયોજનની કેન્દ્રલંબાઈ ………………… cm થશે.
(A) 5
(B) 10
(C) 20
(D) 25
જવાબ
(C) 20
સંયુક્ત લેન્સનો પાવર P = P1 + P2 = 5D
(P1 = 2D, P2 = 3D)
∴ સંયોજિત લેન્સની કેન્દ્રલંબાઈ f = 
= 0.2 = 20 cm
પ્રશ્ન 123.
40 cm કેન્દ્રલંબાઈનો બહિર્ગોળ લેન્સ 25 cm કેન્દ્રલંબાઈના અંતર્ગોળ લેન્સના સંપર્કમાં મૂકેલ છે. આથી આ જોડાણનો પાવર કેટલો ?
(A) -1.5 dioptre
(B) -6.5 dioptre
(C) +6.5 dioptre
(D) +6.67 dioptre
જવાબ
(A) -1.5 dioptre
f1 = 40 cm = 0.4 m, f2 = -25 cm = -0.25 m
P = 
∴ P = 
∴ P = 2.5 – 4.0 ∴ P = -1.5 m-1 or dioptre
પ્રશ્ન 124.
1.5 વક્રીભવનાંકવાળા સમતલ-અંતર્ગોળ લેન્સ (planoconcave)ની વક્રસપાટીની વક્રતાત્રિજ્યા 50 cm હોય, તો આ લેન્સનો પાવર …………………….. છે.
(A) -1.0 D
(B) -0.5 D
(C) +1.0 D
(D) 0.5 D
જવાબ
(A) -1.0 D
[∵ અહીં R2 = -50 cm અને R1 = ∞]
∴ 
∴ 
પ્રશ્ન 125.
અંતર્ગોળ લેન્સ સાથે સંપર્કમાં રહે તે રીતે બહિર્ગોળ લેન્સને ગોઠવેલો છે. જો તેમના પાવરનો ગુણોત્તર 
(A) 75 cm અને 50 cm
(B) -75 cm અને 10 cm
(C) 15 cm અને −10 cm
(D) -15 cm અને 10 cm
જવાબ
(D) -15 cm અને 10 cm
અંતર્ગોળ લેન્સ માટે P2 ઋણ
P1 = 
ધારો કે અંતર્ગોળ લેન્સની કેન્દ્રલંબાઈ f1 અને પાવર P1
બહિર્ગોળ લેન્સની કેન્દ્રલંબાઈ f2 અને પાવર P2 છે.
સંયુક્ત લેન્સની કેન્દ્રલંબાઈ f = 30 cm

પ્રશ્ન 126.
1.5 વક્રીભવનાંકવાળા કાચના એક બહિર્ગોળ લેન્સની કેન્દ્રલંબાઈ 20 cm છે. જો આ
 લેન્સને 1.33 વક્રીભવનાંકવાળા પાણીમાં ડુબાડવામાં આવે તો, આ લેન્સના 
પાવરમાં થતો ફેરફાર ………………………… છે.
(A) 1.86 D
(B) 3.72D
(C) 4.62 D
(D) 6.44 D
જવાબ
(B) 3.72 D
બહિર્ગોળ લેન્સ માટે,
હવામાં કેન્દ્રલંબાઈ fA = 20 cm
∴ હવામાં લેન્સ પાવર PA = 
લેન્સને પાણીમાં ડુબાડવામાં આવે ત્યારે તેની કેન્દ્રલંબાઈ fw
હોય તો,

પ્રશ્ન 127.
એક લેન્સનો પાવર હવામાં +5 D છે. પાણીમાં ડુબાડવામાં આવે તો તેનો પાવર …………………… .
(A) – 5 D
(B) – 
(C) 
(D) 
જવાબ
(B) – 
લેન્સમેકર્સના સૂત્ર પરથી,


પ્રશ્ન 128.
એક બહિર્ગોળ લેન્સનો પાવર 2 D છે. આ લેન્સ સાથે બીજો લેન્સ મૂકતાં સંયોજનનો
 પાવર 1.5 D ઘટે છે તો નીચેનામાંથી આ માટે કયો લેન્સ લીધો હશે ?
(A) 2 m કેન્દ્રલંબાઈવાળો અંતર્ગોળ લેન્સ
(B) 4 m કેન્દ્રલંબાઈવાળો અંતર્ગોળ લેન્સ
(C) 2 m કેન્દ્રલંબાઈવાળો બહિર્ગોળ લેન્સ
(D) 1 m કેન્દ્રલંબાઈવાળો અંતર્ગોળ લેન્સ જવાબ
(A) 2 m કેન્દ્રલંબાઈવાળો અંતર્ગોળ લેન્સ
સંયોજનનો પાવર P = P1 + P2
∴ P2 = P – P1 = 1.5 – 2.0
∴ P2 = – 0.5 D
પાવરની ઋણ નિશાની સૂચવે છે કે લેન્સ અંતર્ગોળ હશે.
હવે f = 
પ્રશ્ન 129.
બે પાતળા લેન્સોનો સંયોજનનો પાવર +9 D છે. જ્યારે તેમને 20 cm અંતરે મૂકવામાં આવે ત્યારે સંયોજનનો સમતુલ્ય પાવર + 
(A) 1, 8
(B) 2, 7
(C) 3, 6
(D) 4, 5
જવાબ
(C) 3, 6
બંને લેન્સો સંપર્કમાં હોય ત્યારે
P = P1 + P2
∴ 9 = P1 + P2 ……… (1)
જ્યારે બંને લેન્સો વચ્ચેનું અંતર d = 20 cm હોય ત્યારે,
P = P1 + P2 – P1 P2 d
∴ 
∴ P1 P2 × 0.2 = 9 – 
∴ P P2 = 18 ………….. (2)
∴ P2 = 
P1 + P2 = 9
∴ P1 + 
∴ 
∴ 
∴ (P1 – 6) (P1 – 3) = 0
∴ P1 = 6 અને P1 = 3
∴ P1 = 6 D અથવા P1 = 3 D
∴ P2 = 3 D અથવા P2 = 6 D
પ્રશ્ન 130.
20 cm કેન્દ્રલંબાઈનો એક બહિર્ગોળ લેન્સ, 20 cm કેન્દ્રલંબાઈનો એક અંતર્ગોળ
 લેન્સ અને કેન્દ્રલંબાઈનો એક અંતર્ગોળ લેન્સ એકબીજાના રાખેલાં છે, તો આ 
સંયોજનનો સંપર્કમાં ડાયોપ્ટરમાં પાવર ……………….. D.
(A) – 0.0833
(B) + 0.0833
(C) – 8.33
(D) + 8.33
જવાબ
(C) – 8.33
P = P1 + P2 + P3
= 
= 
પ્રશ્ન 131.
A પ્રિઝમકોણ માટે લઘુતમ વિચલનકોણ δm મળે, તો પ્રિઝમના દ્રવ્યનો વક્રીભવનાંક …………………..

જવાબ
μ = 
પ્રશ્ન 132.
જ્યારે પ્રિઝમમાંથી સફેદ પ્રકાશ પસાર થાય ત્યારે કયા રંગનો પ્રકાશ ઓછું વિચલન અનુભવે ?
(A) રાતો
(B) જાંબલી
(C) વાદળી
(D) લીલો
જવાબ
(A) રાતો

પ્રશ્ન 133.
સમબાજુ ત્રિકોણની એક બાજુ પર પ્રકાશનું એક કિરણ 55° આપાતકોણે આપાત થઈ 46°ના કોણે નિર્ગમન પામે છે, તો
લઘુતમ વિચલન કોણ કેટલો ?
(A) 5°
(B) 25°
(C) 50°
(D) -5°
જવાબ
(C) 50°
i + e = A + δમાં જો i = e ⇒ δ = δm
∴ i + i = A + δm
∴ 2i = A + δm
2(55°) = 60° + δm
∴ δm = 110° – 60° ∴ δm = 50°
પ્રશ્ન 134.
સમબાજુ ત્રિકોણની કોઈ એક સપાટી પર 15°ના કોણે આપાત કિરણનું 55° જેટલું વિચલન થાય છે, તો નિર્ગમનકોણનું મૂલ્ય કેટલું ?
(A) 30°
(B) 45°
(C) 80°
(D) 100°
જવાબ
(C) 80°
i + e = A + δ
∴ e = A + δ – i
= 60° + 55° – 35° = 80°
પ્રશ્ન 135.
30° ના પ્રિઝમકોણવાળા એક પ્રિઝમના કિસ્સામાં લઘુતમ વિચલનકોણ પણ 30° છે, તો આપાતકોણ શોધો.
(A) 15°
(B) 60°
(C) 30°
(D) 45°
જવાબ
(C) 30°
i + e = A + δ
∴ 2i = 30° + 30° = 60°( ∵ δm માટે i = e)
∴ i = 30°
પ્રશ્ન 136.
એક પ્રિઝમને હવાના બદલે પાણીમાં મૂકવામાં આવે છે, તો ………………….
(A) પ્રિઝમકોણ બદલાય છે.
(B) લઘુતમ વિચલનકોણ બદલાય છે.
(C) લઘુતમ વિચલનકોણ બદલાતો નથી.
(D) પ્રિઝમકોણ બદલાતો નથી.
જવાબ
(B) લઘુતમ વિચલનકોણ બદલાય છે.
η = 
પ્રશ્ન 137.
જો પ્રિઝમની પ્રથમ અને દ્વિતીય વક્રીભવનકારક સપાટીઓ પાસે વિચલન δ1 અને δ2 હોય તો ………………

(A) δ1 = δ2
(B) δ = δ1 – δ2
(C) δ = δ1 + δ2
(D) δ1 = 2δ2
જવાબ
(C) δ = δ1 + δ2
પ્રશ્ન 138.
પ્રિઝમના કિસ્સામાં, δ → i ના ગ્રાફ પરથી મળતા ………………….
(A) આપાતકોણના એક મૂલ્ય માટે બે વિચલનકોણ મળે છે.
(B) આપાતકોણનાં બે મૂલ્યો માટે એક વિચલનકોણ હોય છે.
(C) આપાતકોણનાં બે મૂલ્યો માટે બે વિચલનકોણ મળે છે.
(D) આપાતકોણનાં બે મૂલ્યો માટે અનેક વિચલનકોણ મળે છે.
જવાબ
(B) આપાતકોણનાં બે મૂલ્યો માટે એક વિચલનકોણ હોય છે.

પ્રશ્ન 139.
√3 વક્રીભવનાંકવાળા કાચના પ્રિઝમનો લઘુતમ વિચલનકોણ, તેના પ્રિઝમકોણ જેટલો હોય તો, આ પ્રિઝમનો પ્રિઝમકોણ …………………….. થશે.
(A) 30°
(B) 40°
(C) 50°
(D) 60°
જવાબ
(D) 60°

∴ A = 60°
પ્રશ્ન 140.
√2 વક્રીભવનાંકવાળા અને 30° પ્રિઝમકોણવાળા કાચના પ્રિઝમની સપાટી પર પ્રકાશનું કિરણ લંબ રૂપે આપાત થાય તો, વિચલનકોણ ………………….. છે.
(A) 15°
(B) 30°
(C) 39°
(D) 52°
જવાબ
(A) 15°
– D બિંદુએ સ્નેલનો નિયમ વાપરતાં,
n2sin r2 = n1sin e
∴ √2 sin r2 = (1) sin e
∴ √2 sin r2 = sin e ……. (1)
પ્રિઝમની AB સપાટી માટે સ્નેલનો નિયમ વાપરતાં,

n1sini = n2sin г1
પણ, n1 = 1, n2 = n, i = 0°
∴ (1) sin 0° = n sin r1
∴ sin r1 = 0
∴ r1 = 0°
– હવે, પ્રિઝમ માટે,
A = r1 + r2
30° = 0° + r2
∴ r2 = 30°
સમીકરણ (1) પરથી,
∴ √2 sin 30° = sine
√2 × 
∴ sine = 
હવે, આકૃતિ પરથી,
e = r2 + δ
∴ δ = e – r2
∴ δ = 45° – 30° ∴ δ = 15°
પ્રશ્ન 141.
√2 વક્રીભવનાંકવાળા કાચના સમબાજુ પ્રિઝમમાંથી પસાર થતું કોઈ એક પ્રકાશનું કિરણ લઘુતમ વિચલન અનુભવે છે, તો આપાતકોણ ………………….. છે.
(A) 45°
(B) 60°
(C) 90°
(D) 180°
જવાબ
(A) 45°
પ્રિઝમના દ્રવ્યનો વક્રીભવનાંક

∴ 90° = 60° + δm ∴ δm = 30°
હવે, પ્રિઝમ માટે,
i + e = A + δ
જો, i = e ⇒ δ + δm ∴ 2i = A + δm
∴ i = 
પ્રશ્ન 142.
પ્રિઝમનો ક્રાંતિકોણ 40॰ છે. નિર્ગમન કિરણ મેળવવા માટે પ્રિઝમનો મહત્તમ કોણ …………………. હોવો જોઈએ.
(A) 40°
(B) 60°
(C) 80°
(D) 90°
જવાબ
(C) 80°
લઘુતમ વિચલન માટે r1 = r2 = r લેતાં અને
પ્રિઝમ માટે A = r1 + r2
A = 2r
હવે, અહીં r એટલે ક્રાંતિકોણ 40° આપેલ છે.
∴ પ્રિઝમકોણ A = = 2 × 40 = 80°
પ્રશ્ન 143.
સમબાજુ પ્રિઝમની એક સપાટી પર ………………… ના કોણે પ્રકાશના કિરણને આપાત કરતાં 
તે બીજી સપાટીને સમાંતર દિશામાં નિર્ગમન પામે. (μ = 1.5) [AFMC-2002]
(A) 28°
(B) 38°
(C) 48°
(D) 82°
જવાબ
(A) 28°

જો r2 = C (ક્રાંતિકોણ) હોય તો જ નિર્ગમનકિરણ AC બાજુને સમાંતર મળે.
∴ n = 
∴ sin C = 
∴ C = 41°48°
∴ r2 = 41°48′
હવે A = r1 + r2
∴ r1 = A – r2
= 60° – 41°48′
∴ r1 = 18°12′
હવે AB સપાટી પર સ્નેલના નિયમ પરથી, n = 
∴ sini = n × sinr1
= 1.5 × sin18°12′
= 1.5 × 0.3123 = 0.4684 ∴ i = 28°
પ્રશ્ન 144.
4° નો પ્રિઝમકોણ ધરાવતા કાટકોણ પ્રિઝમ પર સમક્ષિતિજ કિરણ આપાત થાય છે. જો 
પ્રિઝમના માધ્યમનો વક્રીભવનાંક 1.5 હોય, તો નિર્ગમનકોણ ……………………. થશે. 
નીચેની આકૃતિનો ઉપયોગ કરો.

(A) 4°
(B) 6°
(C) 10°
(D) 0°
જવાબ
(B) 6°
i = 0, A = 4°, µ = 1.5, e = ?
નાના પ્રિઝમકોણવાળા પ્રિઝમ માટે,
δ = A (µ – 1) = 4(1.5 – 1) = 2
હવે, i + e = A + δ ⇒ i = A + δ + e
= 4 + 2 + 0 = 6°
પ્રશ્ન 145.
6° પ્રિઝમકોણવાળા પ્રિઝમના દ્રવ્યનો વક્રીભવનાંક 1.5 હોય, તો લઘુતમ વિચલનકોણનું મૂલ્ય …………………….. થાય.
(A) 3°
(B) 6°
(C) 2°
(D) 1°
જવાબ
(A) 3°

∴ δm = (n – 1)A
∴ δm (1.5 – 1) 6°
∴ δm = 3°
પ્રશ્ન 146.
1.7 વક્રીભવનાંક ધરાવતા એક નાના પ્રિઝમકોણવાળા પ્રિઝમ વડે 4.9° વિચલન મળતું હોય, તો પ્રિઝમકોણ ……………………. છે.
(A) 5°
(B) 7°
(C) 9°
(D) 11°
જવાબ
(B) 7°
નાના પ્રિઝમકોણવાળા પ્રિઝમ માટે,
δ = A(n – 1) (n = 1.7, δ = 4.9°)
∴ 4.9° = A(1.7 – 1)
∴ A = 
પ્રશ્ન 147.
પ્રિઝમના દ્રવ્યનો વક્રીભવનાંક 1.53 છે તેને 1.33 વક્રીભવનાંકવાળા પાણીમાં 
મૂકેલો છે. જો પ્રિઝમનો પ્રિઝમકોણ 60° હોય તો પાણીમાં ન્યૂનતમ વિચલન કોણ 
શોધો.
(A) 35.1°
(B) 70.2°
(C) 10.2°
(D) 12.0°
જવાબ
(C) 10.2°
aµg = 1.53, aµw = 1.33, A = 60°
∴ wµg = 

∴ δm = 70.2° – A = 70.2° – 60° = 10.2°
પ્રશ્ન 148.
પ્રિઝમના દ્રવ્યનો વક્રીભવનાંક cot
(A) 180° – 2A
(B) 180° – A
(C) 90° – A
(D) 
જવાબ
(A) 180° – 2A

∴ 180° – A = A + δm ∴ δm = 180° – 2A
પ્રશ્ન 149.
1.5 વક્રીભવનાંક ધરાવતાં અને 60° ના પ્રિઝમકોણવાળો પ્રિઝમ 1.33 વક્રીભવનાંક ધરાવતાં પાણીમાં મૂકેલો છે. તો પાણીમાં
તેનો લઘુતમ વિચલનકોણ કેટલો ? sin 34° = 0.56 લો.
(A) 4°
(B) 8°
(C) 12°
(D) 16°
જવાબ
(B) 8°

∴ 68° = 60° + δm
∴ δm = 8°
પ્રશ્ન 150.
ત્રિભુજાકાર પ્રિઝમ માટે વિચલન કોણ (δ) અને આપાતકોણ (i) વચ્ચેનો આલેખ ………………….. દ્વારા રજૂ કરી શકાય.[JEE-2013]

જવાબ

શરૂઆતમાં આપાતકોણવધતાં વિચલનકોણ ઘટે છે. જ્યારે i = e થાય ત્યારે લઘુતમ 
વિચલનકોણ મળે છે અને ત્યારબાદ આપાતકોણ i વધતાં વિચલનકોણ δ પણ વધે છે.
સૂર્યપ્રકાશના કારણે બનતી કુદરતી ઘટનાઓ
પ્રશ્ન 151.
પ્રકાશની કઈ ઘટના દ્વારા સફેદ પ્રકાશના કિરણનું તેના ઘટક રંગોમાં વિભાજન થાય ?
(A) પરાવર્તન
(B) વક્રીભવન
(C) વિભાજન
(D) પ્રકીર્ણન
જવાબ
(C) વિભાજન
પ્રશ્ન 152.
મેઘધનુષની રચનામાં પ્રકાશની કઈ ઘટના ભાગ ભજવતી નથી ?
(A) પરાવર્તન
(B) વક્રીભવન
(C) વિભાજન
(D) શોષણ
જવાબ
(D) શોષણ
પ્રશ્ન 153.
કયા રંગના પ્રકાશ માટે કાચનો વક્રીભવનાંક સૌથી મોટો છે ?
(A) લાલ
(B) લીલો
(C) વાદળી
(D) જાંબલી
જવાબ
(D) જાંબલી
પ્રશ્ન 154.
તડકામાં ચાલુ વરસાદે મેઘધનુષ સવારે કઈ દિશામાં દેખાય ?
(A) પૂર્વ
(B) પશ્ચિમ
(C) ઉત્તર
(D) દક્ષિણ
જવાબ
(B) પશ્ચિમ
પ્રશ્ન 155.
પ્રાથમિક મેઘધનુષની રચનામાં પ્રકાશનું ……………………. લીધે વિભાજન થાય છે.
(A) બે વાર વક્રીભવન અને એક વાર પૂર્ણ આંતરિક પરાવર્તનના.
(B) બે વાર વક્રીભવન અને એક વાર આંતરિક પરાવર્તનના.
(C) એક વાર વક્રીભવન અને બે વાર પૂર્ણ આંતરિક પરાવર્તનના.
(D) એક વાર વક્રીભવન અને એક વાર પૂર્ણ આંતરિક પરાવર્તન અને પ્રકીર્ણનના.
જવાબ
(B) બે વાર વક્રીભવન અને એક વાર આંતરિક પરાવર્તનના.
પ્રશ્ન 156.
ગૌણ મેઘધનુષની રચનામાં પ્રકાશનું …………………… લીધે વિભાજન થાય છે.
(A) બે વાર વક્રીભવન અને એક વાર આંતરિક પરાવર્તનના.
(B) બે વાર વક્રીભવન અને એક વાર પૂર્ણ આંતરિક પરાવર્તનના.
(C) બે વાર વક્રીભવન અને બે વાર આંતરિક પરાવર્તનના.
(D) એક વાર વક્રીભવન અને બે વાર આંતરિક પરાવર્તન.
જવાબ
(C) બે વાર વક્રીભવન અને બે વાર આંતરિક પરાવર્તનના.
પ્રશ્ન 157.
સૂર્યોદય સમયે આપણે …………………….
(A) સૂર્ય ખરેખર ઊગે તે અગાઉ જોઈએ છીએ.
(B) સૂર્ય ખરેખર ઊગે તે પછી જોઈએ છીએ.
(C) ખરેખર સૂર્ય ઊગે ત્યારે જ જોઈએ છીએ.
(D) એક પણ નહિ.
જવાબ
(A) સૂર્ય ખરેખર ઊગે તે અગાઉ જોઈએ છીએ.
પ્રશ્ન 158.
જો પ્રકાશનું પ્રકીર્ણન કરતા કણનું પરિમાણ ………………….. હોય તો થતું પ્રકીર્ણન રેલે-પ્રકીર્ણન કહેવાય છે.
(A) આપાત પ્રકાશની તરંગલંબાઈ કરતાં નાનું
(B) આપાત પ્રકાશની તરંગલંબાઈ કરતાં મોટું
(C) આપાત પ્રકાશની તરંગલંબાઈ જેટલું જ હોય તો
(D) આપાત પ્રકાશની તરંગલંબાઈ કરતાં 100 ગણું મોટું
જવાબ
(A) આપાત પ્રકાશની તરંગલંબાઈ કરતાં નાનું
પ્રશ્ન 159.
પ્રકેરિત પ્રકાશની તરંગલંબાઈ વધારવામાં આવે ત્યારે તેની પ્રકીર્ણન-અસર …………………..
(A) ઘટે છે.
(B) વધે છે.
(C) બદલાતી નથી.
(D) આમાંથી એક પણ નહીં
જવાબ
(A) ઘટે છે.
પ્રકેરિત પ્રકાશની તીવ્રતા કણોનાં પરિમાણ અને તરંગલંબાઈના ગુણોત્તર α પર આધારિત છે. જેમ λ વધે તેમ α ઘટે અને પ્રકીર્ણન ઘટે.
પ્રશ્ન 160.
પ્રકાશના રેલે-પ્રકીર્ણન માટે α નું મૂલ્ય ………………………
(A) α << 1 (B) α >> 1
(C) α ≈ 1
(D) α > 1
જવાબ
(A) α << 1
પ્રશ્ન 161.
સવારના સમયે ઊર્ધ્વ દિશામાંનું આકાશ બ્લૂ રંગનું દેખાય છે. કારણ કે ………………….
(A) લાલ રંગનું શોષણ થઈ જાય છે.
(B) બ્લૂ પ્રકાશનું સૌથી વધારે પ્રમાણમાં પ્રકીર્ણન થાય છે.
(C) સવારના સમયે સૂર્ય ફક્ત બ્લ્યુ પ્રકાશનું ઉત્સર્જન કરે છે.
(D) બ્લૂ પ્રકાશનું આકાશ દ્વારા શોષણ થાય છે.
જવાબ
(B) બ્લૂ પ્રકાશનું સૌથી વધારે પ્રમાણમાં પ્રકીર્ણન થાય છે.
પ્રશ્ન 162.
વાદળ સફેદ દેખાય છે તેનું કારણ …………………… છે.
(A) સફેદ પ્રકાશનું ડિફ્યુઝ વિવર્તન
(B) સફેદ પ્રકાશનું ડિફ્યુઝ વક્રીભવન
(C) સફેદ પ્રકાશનું ડિફ્યુઝ પ્રકીર્ણન
(D) સફેદ પ્રકાશનું ડિફ્યુઝ પરાવર્તન
જવાબ
(C) સફેદ પ્રકાશનું ડિફ્યુઝ પ્રકીર્ણન
પ્રશ્ન 163.
જો આપાત પ્રકાશનું પ્રકીર્ણન કરતાં કણનું પરિમાણ ………………….. હોય તો મી-પ્રકીર્ણન કહેવાય છે.
(A) આપાત પ્રકાશની તરંગલંબાઈ કરતાં નાનું
(B) આપાત પ્રકાશની તરંગલંબાઈ કરતાં મોટું
(C) આપાત પ્રકાશની તરંગલંબાઈ જેટલું જ
(D) આપાત પ્રકાશની તરંગલંબાઈના સંદર્ભમાં અવગણ્ય રીતે નાનું
જવાબ
(B) આપાત પ્રકાશની તરંગલંબાઈ કરતાં મોટું
પ્રશ્ન 164.
સામાન્ય રીતે વાદળાં …………………… ને લીધે સફેદ રંગનાં દેખાય છે.
(A) પ્રકાશના પરાવર્તન
(B) પ્રકાશના પ્રકીર્ણન
(C) પ્રકાશના વિવર્તન
(D) પ્રકાશના વિભાજન
જવાબ
(B) પ્રકાશના પ્રકીર્ણન
વાદળમાં રહેલા પાણીનાં બુંદોના પરિમાણ દૃશ્યપ્રકાશની તરંગલંબાઈના ક્રમના 
હોવાથી વાદળ દ્વારા થતાં સૂર્યપ્રકાશનું પ્રકીર્ણન ડિફ્યુઝન પ્રકીર્ણન હોય 
છે, જે પ્રકાશની તરંગલંબાઈ થી સ્વતંત્ર હોય છે. તેથી દરેક રંગની 
તરંગલંબાઈનું પ્રકીર્ણન સરખા પ્રમાણમાં થવાથી વાદળ સફેદ દેખાય છે.
પ્રશ્ન 165.
ખતરારૂપ સિગ્નલ લાલ રંગનું હોય છે, કારણ કે લાલ રંગનું ઓછામાં ઓછું ………………….. થાય છે.
(A) પરાવર્તન
(B) વક્રીભવન
(C) વિભાજન
(D) પ્રકીર્ણન
જવાબ
(D) પ્રકીર્ણન
લાલ રંગની તરંગલંબાઈ દશ્યવિભાગમાં વધુ હોય છે. માટે તેનું પ્રકીર્ણન પ્રમાણમાં ઓછું થાય છે.
પ્રશ્ન 166.
ધુમ્મસમાંથી જોઈ શકાતું નથી, કારણ કે ………………..
(A) ધુમ્મસ પ્રકાશને શોષી લે છે.
(B) ધુમ્મસનો વક્રીભવનાંક અનંત હોય છે.
(C) ધુમ્મસનાં નાનાં-નાનાં બુંદ વડે પ્રકાશ પ્રકેરિત થાય છે.
(D) પ્રકાશ પૂર્ણઆંતરિક પરાવર્તન અનુભવે છે.
જવાબ
(C) ધુમ્મસનાં નાનાં-નાનાં બુંદ વડે પ્રકાશ પ્રકેરિત થાય છે.
ધુમ્મસનાં નાનાં બુંદ દશ્યપ્રકાશનું પ્રકીર્ણન કરે છે. પરિણામે ધુમ્મસમાં કંઈ જોઈ શકાતું નથી અથવા ઓછું દેખાય છે.
પ્રશ્ન 167.
પ્રકીર્ણનના અભ્યાસ અનુસાર, રેલે પ્રકીર્ણનમાં પ્રકીર્ણિત પ્રકાશની તીવ્રતા આપાત પ્રકાશની તરંગલંબાઈના ……………….. હોય છે.
(A) ચતુર્થ ઘાતના સમપ્રમાણમાં
(B) ચતુર્થ ઘાતના વ્યસ્ત પ્રમાણમાં
(C) વર્ગના સમપ્રમાણમાં
(D) વર્ગના વ્યસ્ત પ્રમાણમાં
જવાબ
(B) ચતુર્થ ઘાતના વ્યસ્ત પ્રમાણમાં
પ્રશ્ન 168.
વક્રીભવન પ્રકારના ટેલિસ્કોપમાં ……………………
(A) f0 = fe D0 = De
(B) f0 > fe D0 > De
(C) f0 < fe D0 < De
(D) f0>fe D0 < De
જવાબ
(B) f0 > fe D0 > De
પ્રશ્ન 169.
જ્યારે સંયુક્ત માઇક્રોસ્કોપની ટ્યૂબલંબાઈ વધારવામાં આવે ત્યારે તેનો મેગ્નિફાઇંગ પાવર ……………………
(A) વધે છે.
(B) ઘટે છે
(C) બદલાતો નથી
(D) એક પણ નહીં
જવાબ
(A) વધે છે.
I સંયુક્ત માઇક્રોસ્કોપનો મૅગ્નિફાઇંગ પાવર
m = 
∴ m ∝ L
તેથી ટ્યૂબલંબાઈ ‘L’ વધારતાં મૅગ્નિફાઇંગ પાવર ‘m’ વધે છે.
પ્રશ્ન 170.
સંયુક્ત માઇક્રોસ્કોપમાં ઑબ્જેક્ટિવ અને આઇ-પીસની કેન્દ્રલંબાઈઓ અનુક્રમે f0 અને fe હોય, તો …………………..
(A) f0 = fe
(B) f0 < fe
(C) f0 > fe
(D) એક પણ નહીં
જવાબ
(B) f0 < fe
પ્રશ્ન 171.
સંયુક્ત માઇક્રોસ્કોપના વસ્તુકાચની વિવર્ધનશક્તિ 5 છે. જો આ માઇક્રોસ્કોપની
 વિવર્ધનશક્તિ 30 હોય તો, આઇ-પીસની વિવર્ધનશક્તિ ………………….. થશે.
(A) 1
(B) 3
(C) 6
(D) 9
જવાબ
(C) 6
m0 = 5 વસ્તુકાચની વિવર્ધનશક્તિ
me = આઇ-પીસની વિવર્ધનશક્તિ
m = 30 સંયુક્ત વિવર્ધન શક્તિ
સંયુક્ત માઇક્રોસ્કોપની વિવર્ધનશક્તિ,
m = m0 × me
∴ me 
પ્રશ્ન 172.
………………… એ ટેલિસ્કોપની ઓપ્ટિકલ લંબાઈ છે.
(A) 
(B) 
(C) f0 – fe
(D) f0 + fe
જવાબ
(D) f0 + fe
પ્રશ્ન 173.
સાદા માઇક્રોસ્કોપનો મેગ્નિફાઇંગ પાવર વધારવો હોય તો, આઇ-પીસ ……………………. હોવો જોઈએ.
(A) મોટી કેન્દ્રલંબાઈવાળો
(B) નાની કેન્દ્રલંબાઈવાળો
(C) મોટા વ્યાસનો
(D) નાના વ્યાસનો
જવાબ
(B) નાની કેન્દ્રલંબાઈવાળો
સાદા માઇક્રોસ્કોપ માટે,
મોટવણી (m) = 
જ્યાં, D = near point, f = લેન્સની કેન્દ્રલંબાઈ
સમીકરણ પરથી સ્પષ્ટ છે કે f નાની તેમ મોટવણી વધુ.
પ્રશ્ન 174.
ટેલિસ્કોપની મોટવણી વધારવા ………………. [CMEE, 1994]
(A) f0 મોટી અને fe નાની હોવી જોઈએ.
(B) f0 અને fe બંને મોટી હોવી જોઈએ.
(C) f0 અને fe બંને નાની હોવી જોઈએ.
(D) f0 નાની અને fe મોટી હોવી જોઈએ.
જવાબ
(A) f0 મોટી અને fe નાની હોવી જોઈએ.
ટેલિસ્કોપની મોટવણી, m = 
પ્રશ્ન 175.
જો ઍસ્ટ્રોનોમિકલ ટેલિસ્કોપની ટ્યૂબ-લંબાઈ 105 cm અને સામાન્ય સ્થિતિમાં 
મોટવશક્તિ 20 હોય, તો ઑબ્જેક્ટિવની કેન્દ્રલંબાઈ ………………….. cm હશે.
(A) 10
(B) 20
(C) 25
(D) 100
[Hint : ટેલિસ્કોપની ઓપ્ટિકલ લંબાઈ, L ≥ f0 + fe સૂત્ર વડે અપાય છે]
જવાબ
(D) 100
ઍસ્ટ્રોનોમિકલ ટેલિસ્કોપની મોટવણી,
m = 
ઑપ્ટિકલ લંબાઈ = f0 + fe
(ટ્યૂબ-લંબાઈ) = f0 + 
105 = f0 + 
∴ 105 = 
∴ f0 = 
∴ f0 = 100 cm
પ્રશ્ન 176.
સામાન્ય દૃષ્ટિ ધરાવતા મનુષ્ય માટે near point D = …………………..
(A) 25 mm
(C) 25 m
(B) 25 cm
(D) અનંત
જવાબ
(B) 25 cm
પ્રશ્ન 177.
એસ્ટ્રોનોમિકલ ટેલિસ્કોપની મોટવણીનું સૂત્ર …………………..
(A) m = 
(B) m = 
(C) m = f0fe
(D) m = m = f0+ fe
જવાબ
(A) m = 
પ્રશ્ન 178.
જો m0 અને me અનુક્રમે ઓબ્જેક્ટિવ અને આઇપીસથી ઉદ્ભવતું વિવર્ધન હોય, તો માઇક્રોસ્કોપથી મળતું વિવર્ધન ……………………
(A) m0 + me
(B) m0me
(C) m0 – me
(D) 
જવાબ
(B) m0me
પ્રશ્ન 179.
સંયુક્ત માઇક્રોસ્કોપની મોટવણીનું સૂત્ર …………………..
(A) m = 
(B) m = 
(C) m = 
(D) m = 
જવાબ
(D) m = 
પ્રશ્ન 180.
એસ્ટ્રોનોમિકલ ટેલિસ્કોપમાં D0 અને Di અનુક્રમે વસ્તુકાચનો અને આઇપીસના વ્યાસ તથા f0 અને fi અનુક્રમે વસ્તુકાચની અને આઇપીસની કેન્દ્રલંબાઈ હોય, તો ………………..
(A) f0 = fe, D0 = De
(B) f0 > fe, D0 > De
(C) f0 < fe, D0 < De
(D) f0 > fe, D0 < De
જવાબ
(B) f0 > fe, D0 > De
પ્રશ્ન 181.
એસ્ટ્રોનોમિકલ ટેલિસ્કોપમાં ઓબ્જેક્ટિવની કેન્દ્રલંબાઈ 200 cm છે અને 
આઇપીસની કેન્દ્રલંબાઈ 1 cm છે, તો ટેલિસ્કોપનું અનુક્રમે મેગ્નિફિકેશન અને 
ઑપ્ટિકલ લંબાઈ શોધો.
(A) 200, 199 cm
(B) 200, 201 cm
(C) 
(D) 
જવાબ
(B) 200, 201 cm
મૅગ્નિફિકેશન m = 
ઑપ્ટિકલ લંબાઈ = f0 + fe = 200 + 1 = 201 cm
પ્રશ્ન 182.
1 cm જેટલી આઇપીસની કેન્દ્રલંબાઈ અને 200 cm જેટલી વસ્તુકાચની 
કેન્દ્રલંબાઈવાળા ટેલિસ્કોપ વડે 1° જેટલું કોણીય અંતર ધરાવતા બે તારાઓનું 
નિરિક્ષણ કરતાં તેઓ કેટલા કોણીય અંતરે દેખાશે ?
(A) 200′
(B) 400′
(C) 100′
(D) 50′
જવાબ
(A) 200′
ટેલિસ્કોપ વડે દેખાતા બંને તારાઓ વચ્ચેનું કોણીય અંતર ખરેખર બે તારાઓ વચ્ચેનું કોણીય અંતર x મોટવણી અંતર
= 1′ × m
= 1′ × 
પ્રશ્ન 183.
સામાન્ય ગોઠવણીમાં ટેલિસ્કોપની વિવર્ધનશક્તિ 24 છે અને ટેલિસ્કોપની ટ્યૂબ લંબાઈ 1 m છે, તો આઇપીસની કેન્દ્રલંબાઈ શોધો.
(A) 4 cm
(B) 24 cm
(C) 76 cm
(D) 96 cm
જવાબ
(A) 4 cm
m = 
∴ 24 = 
હવે L = f0 + f0
∴ 100 = 24fe + fe
∴ 100 = 25f ∴ fe = 4 cm
નોંધ : જો ઑબ્જેક્ટિવની કેન્દ્રલંબાઈ માંગી હોત તો,
100 = f0 + fe
∴ f0 = 100 – fe
= 100 – 4
= 96 cm મળે
પ્રશ્ન 184.
ટેલિસ્કોપના ઓબ્જેક્ટિવની પ્રકાશ સમાવેશ ક્ષમતા ……………… ના સમપ્રમાણમાં હોય છે.
(A) ઑબ્જેક્ટિવના વ્યાસ
(B) આઇપીસના વ્યાસ
(C) ઑબ્જેક્ટિવના વ્યાસના વર્ગ
(D) આઇપીસના વ્યાસના વર્ગ
જવાબ
(C) ઑબ્જેક્ટિવના વ્યાસના વર્ગ
પ્રશ્ન 185.
પૃથ્વીને પોતાની ધરીને અનુલક્ષીને એક પરિભ્રમણ કરતાં 24 h લાગે છે. પૃથ્વી 
પરથી સૂર્યને જોતાં તેની 1॰ જેટલી શીફ્ટ માટે તેને કેટલો સમય લાગશે ?
(A) 2 min
(B) 4min
(C) 6 min
(D) 1 min
જવાબ
(B) 4min
પૃથ્વીને પોતાની ધરીને અનુલક્ષીને એક પરિભ્રમણ કરતાં 360° જેટલું સ્થાનાંતર (શિફ્ટ) થાય.
∴ 360° જેટલું શિફ્ટ થતાં લાગતો સમય = 24 કલાક, તો 1° જેટલું શિફ્ટ થતાં લાગતો સમય = (?)
= 4 મિનિટ
પૃથ્વીને પોતાની ધરીને અનુલક્ષીને એક પરિભ્રમણ કરતાં 24 h લાગે છે. પૃથ્વી પરથી સૂર્યને જોતાં તેની 1.5° જેટલી શિફ્ટ માટે તેને કેટલો સમય લાગશે ? (જવાબ : t = 6 મિનિટ)
પ્રશ્ન 186.
હવામાં રાખેલા એક બિંદુવત્ ઉદ્ગમમાંથી પ્રકાશ એક કાચની ગોળીય સપાટી (n = 
1.5 અને વક્રતા ત્રિજ્યા = 20 cm) પર આપાત થાય છે. આ ગોળીય સપાટીથી પ્રકાશ 
ઉદ્ગમ 100 cm દૂર છે. પ્રતિબિંબ કયા સ્થાને રચાશે ?
(A) 42.9 cm
(B) 10 cm
(C) 100 cm
(D) 50 cm
જવાબ
(C) 100 cm
વક્રસપાટીની વક્રતાત્રિજ્યા R = 20 cm
માધ્યમનો વક્રીભવનાંક n2 = 1.5,
હવાનો વક્રીભવનાંક n1 = 1.0
વસ્તુઅંતર u = -100 cm
વક્રસપાટી પાસે વક્રીભવન માટેનું સમીકરણ,

∴ v = 100 cm
આમ, સપાટીથી આપાતકિરણની દિશામાં 100 cm દૂર પ્રતિબિંબ મળશે.
હવામાં રાખેલા એક બિંદુવત્ ઉદ્ગમમાંથી પ્રકાશ એક કાચની ગોળીય સપાટી (n =
 1.5 અને વક્રતા ત્રિજ્યા = 30 cm) પર આપાત થાય છે. આ ગોળીય સપાટીથી પ્રકાશ
 ઉદ્ગમ 12 cm દૂર છે. પ્રતિબિંબ ક્યા સ્થાને રચાશે ?
(જવાબ : ૫ = 18 cm)
પ્રશ્ન 187.
એક જાદુગર તેના પ્રોગ્રામમાં એક પ્રવાહીમાં રાખેલા કાચના લેન્સ (n = 1.47) 
ને અદૃશ્ય કરે છે. તો પ્રવાહીનો વક્રીભવનાંક કેટલો હશે ? (માર્ચ, ઑગષ્ટ 
2020)
(A) શૂન્ય
(B) પાણીના વક્રીભવનાંક જેટલો
(C) 1.47
(D) અનંત
જવાબ
(C) 1.47
પ્રવાહીના વક્રીભવનાંક જેટલો જ વક્રીભવનાંક ધરાવતાં દ્રવ્યના લેન્સને તે 
પ્રવાહીમાં મૂકતાં તે અદશ્ય થાય છે. એટલે કે, કાચનો વક્રીભવનાંક n1 1.47 છે. તેથી, લેન્સને રાખેલા પ્રવાહીનો વક્રીભવનાંક n2 = 1.47 હોવો જોઈએ.
લેન્સમેકર્સના સૂત્ર પરથી,

= 0
∴ f = 
તેથી, પ્રવાહીમાં લેન્સ કાચની સમતલ સપાટી તરીકે વર્તશે. ના, આ પ્રવાહી પાણી હોઈ શકે નહીં. કારણ કે, પાણીનો વક્રીભવનાંક 
પ્રશ્ન 188.
એક બહિર્ગોળ લેન્સની કેન્દ્રલંબાઈ f = + 0.5 m હોય, તો તેનો પાવર કેટલો હશે ?
(A) +5D
(B) +2D
(C) – 5D
(D) – 2D
જવાબ
(B) + 2D
કેન્દ્રલંબાઈ ધન આપેલ છે, તેથી બહિર્ગોળ લેન્સ છે.
લેન્સનો પાવર,
P = 
∴ P = + 2D
કાચના લેન્સ માટે f = – 0.2 m હોય તો, લેન્સનો પાવર કેટલો હશે ? (જવાબ P = + 5D)
પ્રશ્ન 189.
એક દ્વિ-બહિર્ગોળ લેન્સની બંને બાજુઓની વક્રતા ત્રિજ્યા અનુક્રમે 10 cm અને
 15 cm છે. તેની કેન્દ્રલંબાઈ 12 cm હોય, તો લેન્સના દ્રવ્યનો વક્રીભવનાંક 
કેટલો હશે ? (A) 2.5 (B) 1.5
(C) 1.0.
(D) 1.67
જવાબ
(B) 1.5
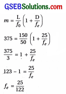
અહીં f = + 12 cm, R1 = + 10 cm, R2 = – 15 cm
n = 1
∴ લેન્સમેકર્સના સૂત્ર પરથી,

આ પરથી, n = 1.5 મળે છે.
બહિર્ગોળ લેન્સની બંને બાજુઓની વક્રતાત્રિજ્યા અનુક્રમે 15cm અને તેની કેન્દ્રલંબાઈ 15 cm હોય તો લેન્સના દ્રવ્યનો વક્રીભવનાંક કેટલો હશે ? (જવાબ n = 1.5)
પ્રશ્ન 190.
એક બહિર્ગોળ લેન્સની હવામાં કેન્દ્રલંબાઈ 20 cm છે. તો પાણીમાં તેની 
કેન્દ્રલંબાઈ કેટલી હશે ? (હવા-પાણીનો વક્રીભવનાંક 1.33 છે, હવા-કાચ માટે 
વક્રીભવનાંક 1.5 છે.)
(A) 39.1 cm
(B) 156.4 cm
(C) 78.2 cm
(D) 20.0 cm
જવાબ
(C) 78.2 cm
અહીં, હવાના માધ્યમનો વક્રીભવનાંક na = 1.0
કાચના લેન્સના દ્રવ્યનો વક્રીભવનાંક ng = 1.5
પાણીનો વક્રીભવનાંક n1 = 1.33
હવામાં રહેલાં લેન્સ માટે લેન્સમેકર્સના સૂત્ર પરથી,
અને પાણીમાં મૂકેલાં લેન્સ માટે લેન્સમેકર્સના સૂત્ર પરથી,
પરિણામ (1) અને (2) નો ગુણોત્તર લેતાં,
∴ f1 = 20 × 
∴ f1 = 78.235 cm
∴ f1 ≈ 78.2 cm
∴ લેન્સને પાણીમાં ડુબાડતાં તેની કેન્દ્રલંબાઈ 78.2 cm મળે છે.
સમાન બે પાતળા સમતલ બહિર્ગોળ લેન્સોના દ્રવ્યનો વક્રીભવનાંક 1.5 અને દરેકની વક્રતાત્રિજ્યા 20 cm છે. તેમને એક પાત્રમાં એવી રીતે મૂકેલા છે કે જેથી તેમની બહિર્ગોળ સપાટી મધ્યમાં એકબીજાને સ્પર્શે અને બાકીના ભાગમાં 1.7 વક્રીભવનાંકવાળું ઑઈલ ભરવામાં આવે તો આ સંયોજનની કેન્દ્રલંબાઈ કેટલી ? (જવાબ feq = -50 cm)
પ્રશ્ન 191.
36 cm વક્રતાત્રિજ્યા ધરાવતાં અંતર્ગોળ અરીસાની સામે 2.5 cm ઊંચાઈની એક 
નાની મીણબત્તી 27cm અંતરે મૂકવામાં આવે છે. મીણબત્તીનું સ્પષ્ટ પ્રતિબિંબ 
મેળવવા માટે પડદાને અરીસાથી કેટલા અંતરે મૂકવો જોઈએ ?
(A) – 54 cm
(B) + 54 cm
(C) – 11 cm
(D) + 11 cm
જવાબ
(A) – 54 cm
- અહીં વસ્તુની ઊંચાઈ h1 = 2.5 cm અંતર્ગોળ અરીસા માટે,
 વસ્તુઅંતર u = – 27 cm
 વક્રતાત્રિજ્યા R = – 36 cm
 કેન્દ્રલંબાઈ f = – 18 cm
 અરીસાના સૂત્ર પરથી,
 1f=1u+1v 
 ∴1v=1f−1u =1−18−1−27=−118+127 
 ∴1v=−3+254=−154 
 v = – 54 cm
- આમ, અંતર્ગોળ અરીસાની સામે તેનાથી – 54 cm દૂર પ્રતિબિંબ મળશે.
- મોટવણી,
 m = –vu 
 ∴ =h2h1=−−54−27 
 ∴ h2 = h × (- 2) = – 2.5 × 2
 ∴ h2 = – 5 cm
 આમ, પ્રતિબિંબની ઊંચાઈ 5 cm, પ્રતિબિંબ વાસ્તવિક, ઊલટું અને મોટું છે.
- જો મીણબત્તીને અરીસાની નજીક લઈ જવામાં આવે તો પ્રતિબિંબ અરીસાની સામે દૂરને દૂર જાય છે. તેથી પડદાને અરીસાથી દૂરને દૂર લઈ જવો પડે છે. એટલે જ્યારે u → f થાય ત્યારે v → ∞ થાય.
- જ્યારે મીણબત્તીને અરીસાની સામે 18cm કરતાં ઓછા અંતરે લાવીએ ત્યારે મીણબત્તીનું આભાસી અને ચત્તું પ્રતિબિંબ મળે જે પડદા પર ઝીલી શકાય નહીં.
પ્રશ્ન 192.
15 cm કેન્દ્રલંબાઈ ધરાવતાં બહિર્ગોળ અરીસાથી 4.5 cm ઊંચાઈવાળી સોયને 12 cm
 દૂર મૂકવામાં આવે છે, તો પ્રતિબિંબ અંતર અને સોયના પ્રતિબિંબની ઊંચાઈ 
અનુક્રમે …………….. છે.
(A) – 6.67 cm, 2.5 cm
(B) + 6.67cm, 2.5 cm
(C) – 60 cm, 2.5 cm
(D) + 60 cm, 2.5 cm
જવાબ
(B) 6.67 cm, 2.5 cm
- અહીં સોયની ઊંચાઈ h1 = 4.5 cm
 વસ્તુઅંતર u = – 12 cm
 બહિર્ગોળ અરીસાની કેન્દ્રલંબાઈ f = + 15 cm
- અરીસાના સૂત્ર,
 1f=1u+1v 
 ∴1v=1f−1u =1+15−1−12 
 ∴1v=4+560=960 
 ∴ v =609 cm =203 cm
 ∴ v = + 6.67 cm
- પ્રતિબિંબ અંતર ધન મળે છે. તેથી પ્રતિબિંબ આભાસી અને ચત્તું મળે અને તે અરીસાની પાછળ 6.67 cm અંતરે મળે છે.
 મોટવણી m =−vu=−20−3×12 = +0.56
 h2h1=−203×(−12)=59 
 ∴ h2 =59 × h1 =59 × 4.5 = 2.5 cm
- સોયને અરીસાથી દૂર લઈ જવામાં આવે તેમ પ્રતિબિંબ F સુધી અરીસાથી દૂર જાય અને પ્રતિબિંબ નાનું થતું જાય.
પ્રશ્ન 193.
એક ટાંકીને 12.5 cm ની ઊંચાઈ સુધી પાણીથી ભરવામાં આવે છે. ટાંકીના તળિયે 
રહેલી સોયની આભાસી ઊંડાઈ માઇક્રોસ્કોપ વડે માપતાં તે 9.4 cm મળે છે. પાણીનો
 વક્રીભવનાંક કેટલો હશે ? જો 1.63 વક્રીભવનાંક ધરાવતાં પ્રવાહીને પાણીના 
બદલે તેટલી જ ઊંચાઈએ ભરવામાં આવે તો, સોય પર ફરીથી માઇક્રોસ્કોપને 
કેન્દ્રિત કરવા માટે તેને કેટલા અંતરે ખસેડવું પડે ?
(A) µ = 1.33, d = 1.7cm
(B) µ = 1.33, d = 7.7 cm
(C) µ = 1.33, d = 9.4cm
(D) µ = 1.33, d = 17.1 cm
જવાબ
(A) µ = 1.33, d = 1.7 cm
- સોયની સાચી ઊંડાઈ = ટાંકીમાં ભરેલાં પાણીની ઊંચાઈ
 h = 12.5 cm
 સોયની આભાસી ઊંડાઈ h’ = 9.4 cm
 પાણીનો વક્રીભવનાંક aμw =hh′=12.59.4 ≈ 1.33
- પ્રવાહીનો વક્રીભવનાંક,
 aμl =hh′′ 
 ∴ 1.63 =12.5h′′ 
 ∴ h” =12.51.63 = 7.669 ≈ 7.7 cm
 ∴ પ્રવાહીમાં સોયની આભાસી ઊંડાઈ h” = 7.7 cm
- માઇક્રોસ્કોપને સોય પર કેન્દ્રિત કરવા ખસેડવા માટે કરવું પડતું અંતર,
 = h’ – h”
 = 9.4 – 7.7
 = 1.7 cm
પ્રશ્ન 194.
80 cm ઊંડાઈ સુધી પાણી ભરેલી ટાંકીના તળિયે એક નાનો બલ્બ મૂક્યો છે. 
બલ્બમાંથી ઉત્સર્જિત થતો પ્રકાશ પાણીની સપાટી પાસેથી કેટલા ક્ષેત્રફળમાંથી 
બહાર આવશે ? પાણીનો વક્રીભવનાંક 1.33 છે. (બલ્બને બિંદુવત્ ઉદ્ગમ તરીકે 
ગણો).
(A) 2.8 m2
(B) 2.7 m2
(C) 2.6 m2
(D) 2.5 m2
જવાબ
(C) 2.6 m2

- પાણી ભરેલી ટાંકીના તળિયે રહેલા નાના બલ્બ S માંથી નીકળતાં કિરણો જે સપાટી પર ક્રાંતિકોણ કરતાં મોટા ખૂણો (i > ic) આપાત થાય તેનું પૂર્ણ આંતરિક પરાવર્તન થવાથી નિર્ગમન કિરણ પાણીની સપાટી બહાર આવશે નહીં.
- r ત્રિજ્યાના વર્તુળાકાર પથમાંથી બહાર આવતાં પ્રકાશ માટે,

∴ સપાટીનું ક્ષેત્રફળ A = πr2
= π × h2tan2 ic
= 3.14 × (0.8)2 × 
= 2.5837
A ≈ 2.6 m2
પ્રશ્ન 195.
1.55 વક્રીભવનાંક ધરાવતાં કાચમાંથી બંને સપાટીઓની વક્રતાત્રિજ્યા સમાન હોય 
તેવા દ્વિ-બહિર્ગોળ લેન્સ બનાવવો છે, તો 20 cm કેન્દ્રલંબાઈ મેળવવા માટે 
જરૂરી વક્રતાત્રિજ્યા કેટલી હશે ?
(A) 102 cm
(B) 55 cm
(C) 22 cm
(D) 51 cm
જવાબ
(C) 22 cm
- અહીં બહિર્ગોળ લેન્સની કેન્દ્રલંબાઈ f = + 20 cm
 કાચનો વક્રીભવનાંક μ = 1.55
 ધારો કે, = – R1 = R અને R2 = – R
- લેન્સમેકરના સૂત્ર પરથી,
 1f = (μ – 1)[latex]\frac{1}{\mathrm{R}_1}-\frac{1}{\mathrm{R}_2}[/latex]
 120 = (1.55 – 1.00)[latex]\frac{1}{R}+\frac{1}{R}[/latex]
 120=0.55×2R 
 ∴ R = 1.1 × 20 = 22 cm
પ્રશ્ન 196.
30 cm કેન્દ્રલંબાઈના બહિર્ગોળ લેન્સને 20 cm કેન્દ્રલંબાઈના અંતર્ગોળ 
લેન્સ સાથે સંપર્કમાં રાખ્યો છે. આ સંયોજનની સમતુલ્ય કેન્દ્રલંબાઈ શોધો. આ 
સંયોજન (તંત્ર) અભિસારી (બહિર્ગોળ) લેન્સ હશે કે અપસારી (અંતર્ગોળ) લેન્સ 
હશે ? લેન્સની જાડાઈ અવગણો.
(A) 60 cm, અંતર્ગોળ લેન્સ
(B) – 60 cm, બહિર્ગોળ લેન્સ
(C) 60 cm, બહિર્ગોળ લેન્સ
(D) – 60 cm, અંતર્ગોળ લેન્સ
જવાબ
(D) – 60 cm, અંતર્ગોળ લેન્સ
- અહીં બહિર્ગોળ લેન્સની કેન્દ્રલંબાઈ f1 = + 30 cm
 અંતર્ગોળ લેન્સની કેન્દ્રલંબાઈ f2 = – 20 cm
- લેન્સના સંયોજનની કેન્દ્રલંબાઈ,
 1f=1f1+1f2 =130+1−20=2−360=−160 
 ∴ f = – 60 cm
 ઋણ નિશાની સૂચવે છે કે સંયોજન અપસારી (અંતર્ગોળ) લેન્સ તરીકે વર્તે છે.
પ્રશ્ન 197.
એક નાના ટેલિસ્કોપના ઑબ્જેક્ટિવની કેન્દ્રલંબાઈ 144 cm અને આઈપીસની 
કેન્દ્રલંબાઈ 6.0 cm છે. ટેલિસ્કોપની મોટવશક્તિ તથા ઑબ્જેક્ટિવ અને આઈપીસ 
વચ્ચેનું અંતર શોધો.
(A) 24, 138 cm
(B) 24, 150 cm
(C) 0.042, 138 cm
(D) 0.042, 150 cm
જવાબ
(B) 24, 150 cm
અહીં ઑબ્જેક્ટિવની કેન્દ્રલંબાઈ f0 = 144 cm
આઈપીસની કેન્દ્રલંબાઈ fe = 6 cm
⇒ ટેલિસ્કોપની મોટવશક્તિ,
m = 
⇒ ઑબ્જેક્ટિવ અને આઈપીસ વચ્ચેનું અંતર,
= f0 + fe
= 144 + 6
= 150 cm
પ્રશ્ન 198.
એક વેધશાળામાં આવેલ વિશાળ વક્રીકારક ટેલિસ્કોપમાં ઑબ્જેક્ટિવ લેન્સની 
કેન્દ્રલંબાઈ 15m અને આઈપીસની કેન્દ્રલંબાઈ 1 cm છે, તો કોણીય મોટવણી શોધો.
(A) 0.15
(B) 1.5
(C) 150
(D) 1500
જવાબ
(D) 1500
અહીં ઑબ્જેક્ટિવની કેન્દ્રલંબાઈ f0 = 15 m
આઈપીસની કેન્દ્રલંબાઈ fe = 1 cm = 0.01 m
(a) કોણીય મોટવણી,
m = 
પ્રશ્ન 199.
એક વેધશાળામાં આવેલ 15 cm કેન્દ્રલંબાઈવાળા ઑબ્જેક્ટિવ લેન્સ ધરાવતા 
ટેલિસ્કોપના ઑબ્જેક્ટિવ વડે મળતાં ચંદ્રના પ્રતિબિંબનો વ્યાસ કેટલો હશે ? 
ચંદ્રનો વ્યાસ 3.48 × 106 m અને ચંદ્રની કક્ષાની ત્રિજ્યા 3.8 × 108 m છે.
(A) 0.1374 cm
(B) 13.74 cm
(C) 1.374 cm
(D) 137.4 cm
જવાબ
(B) 13.74 cm
(b) ધારો કે, પ્રતિબિંબનો વ્યાસ d મીટર છે તેથી ચંદ્ર વડે બનતો ખૂણો α હોય તો,

ઑબ્જેક્ટિવથી રચાતા પ્રતિબિંબે આંતરેલો ખૂણો પણ છે. α જે નીચે મુજબ આપવામાં આવે છે.

પ્રશ્ન 200.
ટેબલની સપાટી ઉપર જડી દીધેલી નાની પીનને 50 cm ઊંચાઈથી જોવામાં આવે છે. આ જ
 બિંદુએ, ઉપરથી બિંદુથી ટેબલની સપાટીને સમાંતર રાખેલા 15 cm જાડાઈના કાચના 
સ્લેબમાંથી તેને જોતાં, પીન કેટલી ઊંચે આવેલી દેખાશે ? કાચનો વક્રીભવનાંક 
1.5 છે. ઉપર મેળવેલ જવાબ સ્લેબના સ્થાન ઉપર આધાર રાખે ?
(A) 0.5 cm
(B) 5 cm
(C) 4.5 cm
(D) 0.45 cm
જવાબ
(B) 5 cm
ઊંચે ચઢેલી દેખાતી પીનની ઊંચાઈ.
d = સ્લૅબની સાચી ઊંચાઈ – સ્લૅબમાં આભાસી ઊંચાઈ

= 5 cm
સ્લેબને કયાં મૂકવો તેના ૫૨ જવાબનો આધાર નથી.
બીજી રીત :

= 10 cm
∴ ઊંચે આવેલી પીન= 15 – 10
= 5 cm
સ્લૅબને કોઈ સ્થાને રાખીએ તો પણ જવાબમાં કોઈ અસર થતી નથી.
પ્રશ્ન 201.
ઓરડાની એક દીવાલ સાથે જડિત નાના વિદ્યુત બલ્બનું 3 m દૂર આવેલી સામેની 
દીવાલ પર પ્રતિબિંબ મેળવવા માટે બહિર્ગોળ લેન્સની શક્ય મહત્તમ કેન્દ્રલંબાઈ
 શોધો.
(A) 0.75 m
(B) 1.33 cm
(C) 0.75 cm
(D) 1.33 m
જવાબ
(C) 0.75 cm
દીવાલ પર સાચું પ્રતિબિંબ મેળવવા વસ્તુ અને પ્રતિબિંબ વચ્ચેનું લઘુતમ અંતર 4f હોવું જોઈએ.
∴ d = 4fmax
પણ d = 3m
∴ 3 = 4fmax
∴ fmax = 
માત્ર સમજણ માટે :
ધારો કે વસ્તુઅંતર u છે.

∴ 
બહિર્ગોળ લેન્સ માટે
u ઋણ હોવાથી, 
પણ, u + v = d (આપેલ છે.)
∴ v = d – u
∴ 
∴ 
∴ u2 – ud + fd = 0
આ સમીકરણ ૫માં દ્વિઘાત સમીકરણ છે. તેના બીજ નીચે પ્રમાણે છે.
u = 
પણ u = v છે.
∴ v = 
⇒ સાચા પ્રતિબિંબ માટે v ધન હોય.
તેથી d2 – 4df ≥ 0 અથવા d2 ≥ 4df
∴ d ≥ 4f
એટલે કે, વસ્તુના પ્રતિબિંબને ઝીલવા માટે તેનું લઘુતમ મૂલ્ય 4f હોવું જોઈએ.
∴ d = 4f અને u + v = d છે.
પ્રશ્ન 202.
વસ્તુથી 90 cm દૂર એક પડદો રાખ્યો છે. એકબીજાથી 20 cm અંતરે આવેલા હોય તેવા
 બે સ્થાનો આગળ વારાફરતી એક બહિર્ગોળ લેન્સ મૂકતાં પ્રતિબિંબ તે જ પડદા પર 
મળે છે, તો લેન્સની કેન્દ્રલંબાઈ શોધો.
(A) 21.4 cm
(B) 26.25 cm
(C) – 21.4 cm
(D) – 26.25 cm
જવાબ
(A) 21.4 cm
ધારો કે, લેન્સને L1 અને L2 સંલગ્નિત એવા બે સ્થાને મૂકતાં વસ્તુ O નું પ્રતિબિંબ I સ્થાને મળે છે જે નીચે આકૃતિમાં દર્શાવ્યું છે.

- અહીં દેખીતી રીતે,
 x + 20 + x = 90 cm
 ∴ 2x = 70
 ∴ x = 35 cm
- જો લેન્સ L1 સ્થાને હોય તો,
 વસ્તુઅંતર u = – x = – 35 cm
 પ્રતિબિંબ અંતર v = 20 + x = 20 + 35 = 55 cm
 ∴ લેન્સના સૂત્ર પરથી,
 1f=1v−1u =155−1−35=155+135 
 ∴1f=7+11385=18385 
 ∴ f =38518 = 21.4 cm
- બીજી રીત :
- વસ્તુ અને પ્રતિબિંબ વચ્ચેનું અંતર D = 90 cm
 લેન્સના બે સ્થાનો વચ્ચેનું અંતર d = 20 cm
 હવે f =D2−d24D (આ સૂત્ર યાદ રાખવું પડે)
 ∴ f =(90)2−(20)24×90=8100−400360 
 ∴ f=7700360 = 21.38cm
 ∴ f ≈ 21.4 cm
પ્રશ્ન 203.
60° નો વક્રતાકારકકોણ ધરાવતા પ્રિઝમની સપાટી પર કેટલા લઘુતમ આપાતકોણે આપાત 
થતાં કિરણનું બીજી સપાટીએથી સહેજ (Just) પૂર્ણ આંતરિક પરાવર્તન થાય ? 
પ્રિઝમના દ્રવ્યનો વક્રીભવનાંક 1.524 છે.
(A) 41°
(B) 19°
(C) 30°
(D) 60°
જવાબ
(C) 30°

પ્રિઝમની AB સપાટી પર PQ કિરણ વક્રીભૂત થઈ QR કિરણ, AC સપાટી પર ક્રાંતિકોણે (ic) આપાત થાય છે.
∴ r2 = ic
હવે sinic = 
ic = 41°
પણ r1 + r2 = A
∴ r1 = A – r2 = 60° – ic [∵ A = 60°]
∴ r1 = 60° – 41° = 19°
⇒ સ્નેલના નિયમ પરથી,
μ = 
∴ sin i = μsinr1
= 1.524 × sin19°
= 1.524 × 0.3256
∴ sin i = 0.4962
∴ i = 29.75°
∴ i ≈ 30°
પ્રશ્ન 204.
એક નાના ટેલિસ્કોપમાં 140 cm કેન્દ્રલંબાઈનો ઓબ્જેક્ટિવ અને 5 cm 
કેન્દ્રલંબાઈનો આઈપીસ છે. આ ટેલિસ્કોપની મોટવશક્તિ જ્યારે ટેલિસ્કોપની 
સામાન્ય ગોઠવણી કરેલ હોય (અંતિમ પ્રતિબિંબ અનંત અંતરે મળતું હોય) ત્યારે ?
(A) 0.036
(B) 28
(C) 135
(D) 145
જવાબ
(B) 28
અહીં, f0 = 140 cm, fe = 5.0 cm
(a) સામાન્ય ગોઠવણી (પ્રતિબિંબ અનંત અંતરે મળે) ત્યારે મોટવણી,
m0 = 
પ્રશ્ન 205.
એક નાના ટેલિસ્કોપમાં 140 cm કેન્દ્રલંબાઈનો ઓબ્જેક્ટિવ અને 5 cm 
કેન્દ્રલંબાઈનો આઈપીસ છે. આ ટેલિસ્કોપની મોટવશક્તિ, જ્યારે અંતિમ પ્રતિબિંબ
 નજીકબિંદુ અંતરે (25 cm) મળતું હોય ત્યારે શોધો.
(A) 5.6
(C) 23.3
(B) 22.4
(D) 33.6
જવાબ
(D) 33.6
જયારે અંતિમ પ્રતિબિંબ લઘુતમ સ્પષ્ટ દૃષ્ટિ અંતરે
(D 25 cm) મળતું હોય ત્યારે,
m = m0 × me
= 
= 28(1 + 
= 28 × 
ટેલિસ્કોપથી જ્યારે અંતિમ પ્રતિબિંબ નજીકતમ સ્પષ્ટ દૃષ્ટિ અંતરે મળતું હોય ત્યારની ટેલિસ્કોપની ગોઠવણીની આકૃતિ નીચે મુજબ મળે.

વસ્તુ અનંત અંતરે (દૂર) છે અને C1, C2 નજીક છે.
C1 આગળ વસ્તુએ આંતરેલો ખૂણો ∠A’C1B’ = α અને
C2 આગળ પ્રતિબિંબે આંતરેલો ખૂણો ∠A”C2B” = β
CB’ = fe ઑબ્જેક્ટિવની કેન્દ્રલંબાઈ
CB’ = ue નેત્રકાચ માટે વસ્તુઅંતર
C2B” = ve = D નેત્રકાચ માટે પ્રતિબિંબ અંતર (સ્પષ્ટ દૃશ્ય અંતર D)
⇒ મોટવણી me = 
જો β અને α ઘણાં નાના હોય તો,
β ≈ tanβ અને α ≈ tanα લઈ શકાય.
∴ m = 
હવે ΔA’B’C2 માં tanβ = 
અને ΔA’B’C1 માં tanα = 
∴ સમીકરણ (1) પરથી,
me = 
∴ me = 
લેન્સના સમીકરણ પરથી,

જે નેત્રકાચની મોટવણીનું સૂત્ર છે.
નોંધ : (1) જો ટેલિસ્કોપથી પ્રતિબિંબ અનંત અંતરે મળે તો મોટવણી નાની મળે.
∴Mmin = –
(2) જો ટેલિસ્કોપથી પ્રતિબિંબ નજીકતમ અંતરે મળે તો મોટવણી મહત્તમ મળે.
∴mmax = –
પ્રશ્ન 206.
એક નાના ટેલિસ્કોપમાં 140 cm કેન્દ્રલંબાઈનો ઓબ્જેક્ટિવ અને 5 cm કેન્દ્રલંબાઈનો આઇપીસ છે, તો તેની ટ્યૂબ લંબાઈ …………………. છે.
(A) 135 cm
(B) 140 cm
(C) 145 cm
(D) 28 cm
જવાબ
(C) 145 cm
ટેલિસ્કોપની સામાન્ય ગોઠવણીમાં ઑબ્જેક્ટિવ અને આઈલેન્સ વચ્ચેનું અંતર = f0 + fe = 140 + 5 = 145 cm
પ્રશ્ન 207.
140 cm કેન્દ્રલંબાઈના ઓબ્જેક્ટિવ અને 5 cm કેન્દ્રલંબાઈના આઇપીસવાળા નાના 
ટેલિસ્કોપ વડે 3km દૂર આવેલા 100 m ઊંચાઈના ટાવરને જોવા માટે ઉપયોગ કરવામાં
 આવે, તો ઑબ્જેક્ટિવ લેન્સ વડે રચાતા ટાવરના પ્રતિબિંબની ઊંચાઈ શોધો.
(A) 4.67 cm
(B) 3.33 cm
(C) 21.43 cm
(D) 46.7 cm
જવાબ
(A) 4.67 cm
3km દૂર રહેલાં 100 m ઊંચા ટાવરે બનાવેલો ખૂણો α હોય તો,

નાના કોણ માટે,
tanα = α
∴ α = 
⇒ જો ઑબ્જેક્ટિવ વડે ટાવરના પ્રતિબિંબની ઊંચાઈ હોય, તો પ્રતિબિંબે આંતરેલો કોણ પણ α હોય.
∴ α = 
∴
∴ h = 
પ્રશ્ન 208.
140 cm કેન્દ્રલંબાઈના ઑબ્જેક્ટિવ અને 5 cm કેન્દ્રલંબાઈના આઇપીસવાળા નાના 
ટેલિસ્કોપ વડે 3km દૂર આવેલા 100 m ઊંચાઈના ટાવરનું અંતિમ પ્રતિબિંબ 25 cm 
અંતરે મેળવવામાં આવે તો જો પ્રતિબિંબની ઊંચાઈ 4.67 cm હોય, તો પ્રતિબિંબની 
ઊંચાઈ શોધો.
(A) 280 cm
(B) 0.28 cm
(C) 2.8 cm
(D) 28 cm
જવાબ
(D) 28 cm
આઈપીસ વડે મળતી મોટવણી,
me = 1 + 
∴ 
∴ h’ = 6 × h = 6 × 4.67
= 28.02 cm
∴ h’ ≈ 28 cm અંતિમ પ્રતિબિંબની ઊંચાઈ
નોંધ : પાઠ્યપુસ્તકના જવાબમાં ભૂલ હોઈ શકે.
પ્રશ્ન 209.
કઈ ઘટનાનો ઉપયોગ ઓપ્ટિકલ ફાઇબરમાં થાય છે ? (2002)
(A) પૂર્ણ આંતરિક પરાવર્તન
(B) પ્રકીર્ણન
(C) વિવર્તન
(D) વક્રીભવન
જવાબ
(A) પૂર્ણ આંતરિક પરાવર્તન
પ્રશ્ન 210.
એસ્ટ્રોનોમિકલ ટેલિસ્કોપના વસ્તુકાચનો ઑપરચર મોટો રાખવાથી ………………… (2002)
(A) ગોળીય વિપથન ઘટે છે.
(B) વિભેદનશક્તિ વધે છે.
(C) અવલોકનનો વિસ્તાર વધે છે.
(D) વિભાજન શક્તિ ઘટે છે.
જવાબ
(B) વિભેદનશક્તિ વધે છે.
આપેલ ટેલિસ્કોપની વિભેદનશક્તિ = 
∴ વિભેદનશક્તિ ∝ D, જ્યાં D વસ્તુકાચનો ઍપરચર છે.
∴ D વધતાં વિભેદનશક્તિ વધે છે.
પ્રશ્ન 211.
60° ના ખૂણે આવેલા બે સમતલીય અરીસાઓની વચ્ચે મૂકેલી બિંદુવત્ વસ્તુઓનાં પ્રતિબિંબોની સંખ્યા ………………….. (2002)
(A) 5
(B) 6
(C) 7
(D) 8
જવાબ
(A) 5
360°
પ્રતિબિંબની સંખ્યા = 
= 
= 6 – 1 = 5
પ્રશ્ન 212.
આકૃતિમાં દર્શાવ્યા પ્રમાણે 20 cm ની કેન્દ્રલંબાઈ ધરાવતા અને સમતલ 
બહિર્ગોળ (Plano Convex) લેન્સની સમતલ સપાટી પર ચાંદીનો ઢોળ ચઢાવીને 
પરાવર્તક બનાવવામાં આવી છે, તો આ તંત્ર માટેની નવી કેન્દ્રલંબાઈ શોધો. 
(2004)

(A) 20 cm
(B) 30 cm
(C) 40 cm
(D) 10 cm
જવાબ
(D) 10 cm
કિરણનો પથ જોતાં જોઈ શકાય છે કે અહીં અંતિમ પ્રતિબિંબ I રચાય તે પહેલાં,
વક્રસપાટી પરથી પ્રથમ વક્રીભવન ∴
પછી સમતલ સિલ્વર્ડ સપાટીથી પરાવર્તન ∴ 
અને પછી વક્રસપાટી પરથી બીજું વક્રીભવન ∴ 
જ્યાં f1 = સમતલ બહિર્ગોળ લેન્સની કેન્દ્રલંબાઈ = 20 cm
Fm = સમતલ અરીસાની કેન્દ્રલંબાઈ = ∞
હવે, અસરકારક કેન્દ્રલંબાઈ, F નીચેના સૂત્ર વડે મળે છે.
+ 
+ 
∴ F = 10 cm
(બરાબર નોંધો કે અત્રે વક્રસપાટીની f1 ધન છે. જો આ સપાટી અંતર્ગોળ હોત તો f1 ઋણ લીધી હોત.)
પ્રશ્ન 213.
આકૃતિમાં દર્શાવ્યા મુજબના 90° નો ખૂણો ધરાવતા પ્રિઝમની એક સપાટી પર 
પ્રકાશનું કિરણ લંબરૂપે આપાત થઈ હવામાં રહેલી બીજી સપાટી પરથી પૂર્ણઆંતરિક 
પરાવર્તન પામે છે. જો પરાવર્તનકોણ 45° હોય તો પ્રિઝમના દ્રવ્યના 
વક્રીભવનાંક માટે શું કહી શકાય ? (2004)

(A) n < 
(C) n > 
(D) n < √2 જવાબ (B) n > √2
પૂર્ણઆંતરિક પરાવર્તનની શરત,
i = C જ્યાં i = આપાતકોણ, C = ક્રાંતિકોણ
∴ sin i > sin C
∴ sion i > 
∴ n > 
∴ n > 
∴ n > 2 [∵ sin45° = [∵ latex]\frac{1}{\sqrt{2}}[/latex]]
પ્રશ્ન 214.
30 સેમી જેટલી વક્રતાત્રિજ્યા તથા 1.5 જેટલો વક્રીભવનાંક ધરાવતા એક સમતલ 
બહિર્ગોળ લેન્સની વક્રસપાટી પર ચાંદીનો ઢોળ ચઢાવેલ છે. તેની સામે …………………..
 અંતરે વસ્તુને મૂકવાથી તેનું વાસ્તવિક પ્રતિબિંબ, તેટલી જ ઊંચાઈનું મળે. 
(2004)
(A) 20 સેમી
(B) 30 સેમી
(C) 60 સેમી
(D)80 સેમી
જવાબ
(A) 20 સેમી

સમતલ બહિર્ગોળ લેન્સની કેન્દ્રલંબાઈ f1 અને તેની અક્ષ પરના ‘O’ 
બિંદુ પર મૂકેલી વસ્તુમાંથી નીકળેલ કિરણ ‘a’ બિંદુ આગળ પ્રથમ વક્રીભવન પામી
 ‘b’ બિંદુ આગળથી પરાવર્તન પામીને (આગળથી બીજું વક્રીભવન અનુભવે છે અને 
અક્ષ ૫૨ પ્રતિબિંબ 1 રચાય છે.)
જો આ લેન્સની એક સપાટી પર આકૃતિમાં બતાવ્યા પ્રમાણે ચાંદીનો ઢોળ ચઢાવવામાં 
આવે તો તે રચના અરીસાની માફક વર્તે છે, જેની સમતુલ્ય કેન્દ્રલંબાઈ fe છે.
∴ 
જયાં fm = ચાંદીનો ઢોળ ચઢાવ્યા બાદ તે અરીસા તરીકે વર્તે છે. તેની કેન્દ્રલંબાઈ છે.
⇒ લેન્સમેકરના સમીકરણ પરથી,
= 
= 
સમીકરણ (1) પરથી 
[લેન્સની સંખ્યા n = 2, અરીસાની સંખ્યા m = 1]
∴ fe = -10 cm
∴ મૂલ્ય fe = 10 cm
અરીસાની સામે મૂકેલી વસ્તુનું પ્રતિબિંબ, વસ્તુના જેવડું જ જોઈતું હોય તો વસ્તુને વક્રતાકેન્દ્ર પર મૂકવી જોઈએ.
∴ વસ્તુઅંતર u = 2fe = 2 × 10 = 20 સેમી.
પ્રશ્ન 215.
હવામાં રાખેલા પારદર્શક નક્કર નળાકાર સળિયાનો વક્રીભવનાંક 

(A) sin-1(
(B) sin-1(
(C) sin-1(
(D) sin-1(
જવાબ
(A) sin-1(

સ્નેલના નિયમ અનુસાર n = 
∴ 
હવે, સ્નેલના વ્યાપક નિયમ પરથી,
n2 sin θ2 = n1 sin θ1 માં 
n sin β = sin 90°
∴ n sin β = 1
sin β = 
∴ β = 60°
∴ α = 90° – β = 90° – 60° = 30°
∴ સમી. (1) માં વ ની કિંમત મૂકતાં, 
sin θ = 
sin θ = 
∴ θ = sin-1(
પ્રશ્ન 216.
(A) 36√2
(B) 4√5
(C) 36√7
(D) 
જવાબ
(D) 

પ્રશ્ન 217.
એક કાળા રંગના કાગળ પર બે નાનાં સફેદ ટપકાં 1 મિમીના અંતરે આવેલાં છે. 3 
મિમી જેટલા કીકીના વ્યાસવાળી આંખ વડે વધુમાં વધુ કેટલા અંતર સુધી તેમની 
વચ્ચે વિભેદન થઈ
શકશે ? પ્રકાશની તરંગલંબાઈ 50 મિમી છે. (2005)
(A) 6 m
(B) 3 m
(C) 5 m
(D) 1 m
જવાબ
(C) 5 m

αmin = 
∴ R = 
∴ R = 
∴ R = 4.918 m
∴ R ≈ 5 m
પ્રશ્ન 218.
1.5 વક્રીભવનાંકવાળા એક પાતળા કાચના લેન્સનો હવામાં પ્રકાશીય પાવર -5D છે, 
તો 1.6 વક્રીભવનાંકવાળા પ્રવાહીમાં તેનો પ્રકાશીય પાવર કેટલો થાય ? (2005)
(A) -1D
(B) 1D
(C) -5D
(D) 0.625D
જવાબ
(D) 0.625D

પ્રશ્ન 219.
રાતા પ્રકાશ અને વાદળી પ્રકાશ માટે કાચના વક્રીભવનાંક અનુક્રમે 1.520 અને 
1.525 છે. આ કાચના પ્રિઝમ માટે રાતા અને વાદળી પ્રકાશનાં લઘુતમ વિચલનકોણ 
અનુક્રમે D1 અને D2 હોય તો, (2006)
(A) D1 > D2
(B) D1 < D2
(C) D1 = D2
(D) પ્રિઝમકોણને આધારે D1, D2, કરતાં ઓછો કે વધારે હોઈ શકે.
જવાબ
(B) D1 < D2
લઘુતમ વિચલનકોણ D = (µ – 1) A ∴ D ∝ µ
અને µવાદળી > µરાતા 
∴ D2 > D1 એટલે કે D1 < D2
પ્રશ્ન 220.
સંપર્કમાં રહેલા બે લેન્સો માટે તેમના પ્રકાશીય પાવર -15D અને +5D છે. તો 
તેમના સંયોજનની સમતુલ્ય કેન્દ્રલંબાઈ ……………….. cm થાય.(2007)
(A) +10 cm
(B) -20 cm
(C) -10 cm
(D) +20 cm
જવાબ
(C) -10 cm
લેન્સના સંયોજનનો પાવર P = P1 + P2
∴ 
∴ 
∴ f = – 
∴ f = –
∴ f = -10 cm
પ્રશ્ન 221.
બહિર્ગોળ લેન્સ માટે ભૂરા રંગના પ્રકાશના બદલે રાતા રંગનો પ્રકાશ આપાત કરવામાં આવે તો તેની કેન્દ્રલંબાઈ …………………. (2011-B)
(A) આપાત પ્રકાશના રંગ પર આધાર રાખશે નહીં.
(B) વધશે.
(C) ઘટશે.
(D) કોઈ ફેરફાર થશે નહિ.
જવાબ
(B) વધશે.
રાતા પ્રકાશ માટે વક્રીભવનાંક nr < ભૂરા પ્રકાશનો વક્રીભવનાંક nb
હવે, 
∴ 
∴ 
∴ કેન્દ્રલંબાઈ વધશે.
પ્રશ્ન 222.
એક બીકરમાં µ1 વક્રીભવનાંકવાળું પાણી h1 ઊંચાઈ સુધી ભરેલું છે. તેના ઉપર µ2 વક્રીભવનાંકવાળું કેરોસીન h2 ઊંચાઈ સુધી ભરેલું છે. હવે ઉપરથી અધોદિશામાં જોતાં બીકરનું તળિયું કેટલું ઊંચે આવેલું જણાશે ? (2011-B)

જવાબ

પ્રશ્ન 223.
સમતલ બહિર્ગોળ (plano-convex) લેન્સનો વ્યાસ 6 cm અને તેની કેન્દ્ર આગળ જાડાઈ ૩ mm છે. જો લેન્સના દ્રવ્યમાં પ્રકાશની ઝડપ 2 × 108 m/s હોય તો લેન્સની નાભીય લંબાઈ …………………….. થશે. (JEE-2013)
(A) 15 cm
(B) 20 cm
(C) 30 cm
(D) 10 cm
જવાબ
(C) 30 cm

(1) n = 
= 
∴ n = 1.5
(2) કાટકોણ ત્રિકોણ પરથી,
R2 = (R – 0.3)2 + (3)2
∴ R2 = R2 – 0.6R + 0.09 + 9
∴ 0.6R = 9.09
∴ R = 15.15 cm
∴ R ≈ 15 cm
(3) હવે લેન્સમેકરના સમી. પરથી,
∴ 
∴ f = 30 cm
પ્રશ્ન 224.
પાણીમાંથી લીલો પ્રકાશ હવા-પાણી આંતરપૃષ્ઠ (Interface) પર ક્રાંતિકોણ 
(Critical angle) θ એ આપાત થાય છે. સાચું વિધાન પસંદ કરો. (JEE-2014)
(A) લીલા પ્રકાશની આવૃત્તિ કરતાં વધારે આવૃત્તિ ધરાવતો દશ્યપ્રકાશનો વર્ણપટ હવામાં નિર્ગમન પામે છે.
(B) લંબથી જુદા-જુદા ખૂણે સમગ્ર દશ્યપ્રકાશ માટેનું વર્ણપટ પાણીમાંથી બહાર નિર્ગમન પામે છે.
(C) લંબથી 90° ના ખૂણે સમગ્ર દશ્યપ્રકાશ માટેનું વર્ણપટ પાણીમાંથી બહાર નિર્ગમન પામે છે.
(D) લીલા પ્રકાશની આવૃત્તિ કરતાં ઓછી આવૃત્તિ ધરાવતો દશ્યપ્રકાશનો વર્ણપટ હવામાં નિર્ગમન પામે છે.
જવાબ
(D) લીલા પ્રકાશની આવૃત્તિ કરતાં ઓછી આવૃત્તિ ધરાવતો દશ્ય પ્રકાશનો વર્ણપટ હવામાં નિર્ગમન પામે છે.

ક્રાંતિકોણ C માટે sin C = 
મોટી તરંગલંબાઈવાળા તરંગ માટે (નાની આવૃત્તિ માટે) વક્રીભવનાંક ॥ નાનો અને 
સમી. (1) પરથી ઘ્ર નાનો હોય તો ક્રાંતિકોણ C મોટો. તેથી નાની
આવૃત્તિવાળા પ્રકાશનું પરાવર્તન થશે નહિ અને તેથી 90° ના વક્રીભવનકોણ કરતાં ઓછા ખૂણે બહાર આવશે.
પ્રશ્ન 225.
A પ્રિઝમકોણ ધરાવતા પ્રિઝમ પર એકરંગી પ્રકાશ આપાત કરવામાં આવે છે. જો 
પ્રિઝમના દ્રવ્યનો વક્રીભવનાંક μ છે. જો કિરણ AB બાજુ પર θ કોણે આપાત થાય 
તો તે બાજુ
AC માંથી નિર્ગમન ત્યારે જ પામશે કે જ્યારે …………………… (JEE Main – 2015)


જવાબ


પ્રશ્ન 226.
ઉનાળાની ગરમ રાત્રે, હવાનો વક્રીભવનાંક જમીનની નજીક લઘુતમ હશે અને જમીનથી 
ઉપર ઊંચાઈ સાથે વધતો જાય છે. હાઈગેન્સના સિદ્ધાંત પરથી આપણે તારણ કાઢી શકીએ
 કે જ્યારે પ્રકાશ કિરણને સમક્ષિતિજ દિશામાં આપાત કરતાં, તે જ્યારે 
પ્રસરતું હોય ત્યારે કિરણપુંજ…………………….. . JEE Main – 2015)
(A) પાતળું બનતું જાય છે.
(B) કોઈપણ પ્રકારના વિચલન વગર સમક્ષિતિજ દિશામાં આગળ વધે છે.
(C) નીચે તરફ વળે છે.
(D) ઉપર તરફ વળે છે.
જવાબ
(D) ઉપર તરફ વળે છે.

સમક્ષિતિજ દિશામાં ગતિ કરતું સમતલ તરંગઅગ્ર વિચારો. તેની ગતિ દરમિયાન તેના 
જુદા જુદા ભાગો, જુદી જુદી ઝડપથી ગતિ કરશે. પાતળા માધ્યમમાં ઝડપ વધુ અને 
ઘટ્ટ માધ્યમમાં ઝડપ ઓછી હશે તેથી તરંગઅગ્રનો આકાર આકૃતિમાં બતાવ્યા અનુસાર 
ઉપર તરફ વળશે.
પ્રશ્ન 227.
એક અવલોકનકાર 10 m ઊંચાઈના એક દૂરના ઝાડને 20 આવર્ધન ક્ષમતાવાળા દૂરબીનથી જોવે છે. આ અવલોકનકારને ઝાડ દેખાશે. (JEE Main – 2016)
(A) 10 ગણું ઊંચું
(B) 10 ગણું નજીક
(C) 20 ગણું ઊંચું
(D) 20 ગણું નજીક
જવાબ
(D) 20 ગણું નજીક
દૂરબીનની મોટવણી 20 હોવાથી અવલોકનકારને તે ઝાડ 20 ગણું ઊંચું દેખાશે.
પ્રશ્ન 228.
20 cm ના મૂલ્યની કેન્દ્રલંબાઈ ધરાવતા એક અભિસારી કાચથી 15 cm દૂર જેની 
કેન્દ્રલંબાઈનું મૂલ્ય 25 cm છે તેવો એક અપસારી કાચ મૂકેલ છે. એક સમાંતર 
પ્રકાશ પુંજ આ અપસારી કાચ પર પડે છે. આમ રચાતું અંતિમ પ્રતિબિંબ થશે. (JEE 
Main – 2017)
(A) સાચું અને અપસારી કાચથી 40 cm દૂર
(B) સાચું અને અભિસારી કાચથી 6cm દૂર
(C) સાચું અને અભિસારી કાચથી 40 cm દૂર
(D) આભાસી અને અભિસારી કાચથી 40 cm દૂર
જવાબ
(C) સાચું અને અભિસારી કાચથી 40 cm દૂર

પ્રશ્ન 229.
આંખ એક વક્રીભવનકારક સપાટી વડે બારીકાઇથી જોઈ શકે છે. આ સપાટીના વક્રની 
ત્રિજ્યા, કોરોના (7.8mm) જેટલી છે. આ સપાટી 1 અને 1.34 વક્રીભવનાંકવાળા બે
 માધ્યમને
છૂટી પાડે છે. પ્રકાશનું સમાંતર બીમ પરાવર્તક સપાટીથી કેટલાં અંતરે હોય, તો
 ફોક્સ (પ્રતિબિંબ) થઈ શકે તે ગણો. (JEE (Main) Jan – 2019)
(A) 4.0 cm
(B) 1 cm
(C) 3.1 cm
(D) 2 cm
જવાબ
(C) 3.1 cm
n1 = 1.0, n2 = 1.34
R1 = 7.8 mm = 0.78 cm, R2 = ∞
સમાંતર બીમ હોવાથી,
u = ∞, v = f (પ્રતિબિંબ ફૉક્સ પર મળે)
∴ 
∴ 
પ્રશ્ન 230.
હવામાં બહિર્ગોળ લેન્સની કેન્દ્રલંબાઈ 16 cm છે (µકાય = 1.5). 
હવે લેન્સને 1.42 વક્રીભવનાંકવાળા પ્રવાહીમાં ડુબાડવામાં આવે છે, તો 
લેન્સની હવામાં અને માધ્યમમાં કેન્દ્રલંબાઈનો ગુણોત્તર આશરે ……………………. ની 
નજીક હશે. (JEE Jan.- 2020)
(A) 9
(B) 17
(C) 1
(D) 5
જવાબ
(A) 9
લેન્સમેકર્સના સૂત્ર પરથી હવામાં,

પ્રશ્ન 231.
જો આપણે જેની ટ્યૂબલંબાઈ 150 mm અને વસ્તુકાચની કેન્દ્રલંબાઈ 5 cm વાળા 
સંયુક્ત માઇક્રોસ્કોપથી 375 મોટવણી મેળવવી હોય, તો આઇ-પીસની કેન્દ્રલંબાઈ 
…………………. ની નજીક હોવી જોઈએ. (JEE Jan.- 2020)
(A) 2 mm
(B) 22 mm
(C) 12 mm
(D) 33 mm
જવાબ
(A) 2 mm
Case-I :
જો અંતિમ પ્રતિબિંબ લઘુતમ સ્પષ્ટ દશ્ય અંતર ૫૨ મળે તો મોટવણી

∴ fe = 0.2049 mm ∴ fe ≈ 0.2 mm
Case-II :
જો અંતિમ પ્રતિબિંબ અનંત અંતરે મળે તો મોટવણી

∴ fe = 0.2 mm
પ્રશ્ન 232.
એક ટેલિસ્કોપની મોટવણી 5 અને ટ્યૂબ લંબાઈ 60 સેમી છે તો નેત્રકાચની કેન્દ્રલંબાઈ …………………… છે. (JEE Jan. – 2020)
(A) 10 સેમી
(B) 20 સેમી
(C) 30 સેમી
(D) 40 સેમી
જવાબ
(A) 10,સેમી
ટેલિસ્કોપની મોટવણી m = 
∴ 5 = 
∴ f0 = 5fe
હવે ટ્યૂબલંબાઈ = f0 + fe
60 = 5fe + fe
∴ 60 = 6fe ∴ fe = 10 સેમી
પ્રશ્ન 233.
30 સેમી ત્રિજ્યા અને 1.5 વક્રીભવનાંક ધરાવતા સમતલ બહિર્ગોળ લેન્સને હવામાં
 રાખેલો છે તો તેની કેન્દ્રલંબાઈ સેમીમાં શોધો. (JEE Jan.- 2020)
(A) 30
(B) 60
(C) 15
(D) 120
જવાબ
(B) 60
લેન્સ મેકર્સના સૂત્ર પરથી
∴ 
∴ 
∴ f = 60 સેમી
પ્રશ્ન 234.
સંયુક્ત માઇક્રોસ્કોપમાં આઇપીસથી 25 cm દૂર અંતિમ પ્રતિબિંબ રચાય છે. f0 = 1 cm તથા મોટવણી m = અને માઇક્રોસ્કોપની ટ્યૂબ લંબાઈ 20 cm હોય તો આઇપીસની કેન્દ્રલંબાઈ શોધો. (JEE Main – 2020)
જવાબ
સંયુક્ત માઇક્રોસ્કૉપની મોટવણી,

∴ fe = 6.25 cm
પ્રશ્ન 235.
વસ્તુ અને એક પડદા વચ્ચેનું અંતર 100 cm છે. વસ્તુ અને પડદા વચ્ચેના બે 
જુદા-જુદા સ્થાન માટે બહિર્ગોળ લેન્સથી વસ્તુનું પડદા પર સારું પ્રતિબિંબ 
મેળવી શકાય છે. આ બે સ્થાનો વચ્ચેનું અંતર 40 cm છે. જો લેન્સનો પાવર (
જવાબ
લેન્સની કેન્દ્રલંબાઈ,

= 476.19
પ્રશ્ન 236.
બર્હિગોળ લેન્સથી 10 cm અને 20 cm અંતરે વસ્તુનું પ્રતિબિંબ સમાન ઊંચાઈનું 
મળે છે, તો તે લેન્સની કેન્દ્રલંબાઈ શોધો. (JEE Main Feb. – 2021)
જવાબ
મોટવણી,
m = 
m1 = -m2
∴ 
∴ f + u1 = -(f + u2)
∴ f – 10 = −f + 20
∴ 2f = 30
∴ f = 15 cm
પ્રશ્ન 237.
એક ગોળીય અરીસામાં 100 cm ઊંચાઈની વસ્તુનું પ્રતિબિંબ 25 cm ઊંચાઈનું મળે છે અને ચત્તું મળે છે, તો …………………. JEE Main Feb. – 2021)
(A) વાસ્તવિક પ્રતિબિંબ, બહિર્ગોળ અરીસો
(B) વાસ્તવિક પ્રતિબિંબ, અંતર્ગોળ અરીસો
(C) આભાસી પ્રતિબિંબ, અંતર્ગોળ અરીસો
(D) આભાસી પ્રતિબિંબ, બહિર્ગોળ અરીસો
જવાબ
(D) આભાસી પ્રતિબિંબ, બહિર્ગોળ અરીસો
બહિર્ગોળ અરીસા વડે હંમેશાં પ્રતિબિંબ આભાસી, ઓછી ઊંચાઈનું અને ચત્તું મળે.
પ્રશ્ન 238.
એક પ્રકાશનું કિરણ i મા માધ્યમમાંથી j મા માધ્યમમાં દાખલ થાય તો માધ્યમ i ની સાપેક્ષે માધ્યમ j નો વક્રીભવનાંક iµj (µji) વડે દર્શાવીએ તો 2µ1 × 3µ2 × 4µ3 = ……………………. (1990)
(A) 3µ1
(B) 3µ2
(C) 
(D) 4µ2
જવાબ
(C) 
2µ1 × 3µ2 × 4µ3 = 
= 
પ્રશ્ન 239.
5 mm જેટલી વસ્તુકાચની કેન્દ્રલંબાઈવાળા માઇક્રોસ્કોપની મોટવણી 400 છે. જો 
તેની ટ્યૂબની લંબાઈ 20 cm હોય, તો નેત્રકાચની કેન્દ્રલંબાઈ …………………… (MP 
PMT 1991)
(A) 200 cm
(B) 160 cm
(C) 2.5 cm
(D) 0.1 cm
જવાબ
(C) 2.5 cm
m = 
∴ fe = 
= 
પ્રશ્ન 240.
એક પ્રિઝમના દ્રવ્યનો વક્રીભવનાંક √2 છે. પ્રિઝમની એક બાજુ પોલિશ કરેલી છે,
 તેના પર પ્રકાશના કિરણને …………………. કોણે આપાત કરવામાં આવે, તો કિરણ તેના 
મૂળ માર્ગે પાછું વળે, વક્રીભૂતકોણ 30° છે. (1992)
(A) 0°
(B) 30°
(C) 45°
(D) 60°
જવાબ
(C) 45°

Q-બિંદુ પાસે સ્નેલના નિયમ પરથી, n = 
∴ sini = n sinr
= √2 × sin30°
= 
∴ i = 45°
પ્રશ્ન 241.
1.5 વક્રીભવનાંકવાળા એક બહિર્ગોળ લેન્સની કેન્દ્રલંબાઈ 2 cm છે. આ લેન્સને 
જ્યારે 1.25 વક્રીભવનાંકવાળા પ્રવાહીમાં ડુબાડવામાં આવે ત્યારે તેની 
કેન્દ્રલંબાઈ
cm થાય. (1993)
(A) 10
(B) 2.5
(C) 5
(D)7.5
જવાબ
(C) 5

∴ f1 = 5 cm
પ્રશ્ન 242.
µ વક્રીભવનાંક અને નાના પ્રિઝમકોણ A વાળા પ્રિઝમનો લઘુતમ વિચલનકોણ ……………………. દ્વારા દર્શાવી શકાય.(1994)
(A) δm = (μ – 1)A
(B) δm = A[μ + 1]
(C) δm = 
(D) δm = A[latex]\frac{\mu-1}{\mu+1}[/latex]
જવાબ
(A) δm = (μ – 1)A

∴ μA = A + δm ∴ δm = (μ – 1)A
પ્રશ્ન 243.
પ્રકાશ માટે બહિર્ગોળ લેન્સની કેન્દ્રલંબાઈ મોટામાં ………………….. મોટી હોય છે. (CBSE PMT – 1994)
(A) વાદળી
(B) પીળા
(C) લીલા
(D) લાલ
જવાબ
(D) લાલ
જે પ્રકાશની આવૃત્તિ ઓછી હોય તેવા પ્રકાશનું લેન્સ દ્વારા વિચલન ઓછું થાય. 
તેથી કેન્દ્રલંબાઈ વધુ મળે અને આપેલા રંગોના પ્રકાશમાં લાલ પ્રકાશની 
આવૃત્તિ સૌથી ઓછી હોય. તેથી લાલ પ્રકાશ માટે કેન્દ્રલંબાઈ સૌથી વધુ મળે.
પ્રશ્ન 244.
(A) 9
(B) 6
(C) 4
(D)3
જવાબ
(B) 6

પ્રશ્ન 245.
એક લેન્સને પ્રકાશના ઉદ્ગમ અને દીવાલની વચ્ચે એવા સ્થાને રાખવામાં આવે છે 
કે જેથી તેના જુદા-જુદા બે સ્થાન માટે દીવાલ પર રચાતાં પ્રતિબિંબનાં 
ક્ષેત્રફળ A1 અને A2 છે, તો ઉદ્ગમનું ક્ષેત્રફળ કેટલું હશે ? (CBSE PMT 1995)
(A) 
(B) [latex]\frac{1}{A_1}+\frac{1}{A_2}[/latex]-1
(C) 
(D) [latex]\frac{\sqrt{\mathrm{A}_1}+\sqrt{\mathrm{A}_2}}{2}[/latex]-2
જવાબ
(C) 
m = 
∴ A = 
પ્રશ્ન 246.
‘n’ વક્રીભવનાંક અને t જાડાઈના કાચના સ્લેબમાંથી પ્રકાશ પસાર થાય છે. જો 
‘C’ એ શૂન્યાવકાશમાં પ્રકાશની ઝડપ હોય, તો કાચના સ્લેબમાંથી પ્રકાશને પસાર 
થતાં લાગતો સમય ………………… NCERT 1996, CBSE-PMT 1996, DCE 2006)
(A) 
(B) ntc
(C) 
(D) 
જવાબ
(C) 

પ્રશ્ન 247.
કોઈ એક દીવાલ પર એક વસ્તુ આવેલી છે. હવે બહિર્ગોળ લેન્સની મદદ વડે તેની 
સામે રહેલી સમાંતર દીવાલ પર વસ્તુના જેટલા જ પરિણામવાળું પ્રતિબિંબ 
મેળવવામાં આવે છે. જો લેન્સ, બીજી દીવાલથી d અંતરે હોય તો લેન્સની 
કેન્દ્રલંબાઈ કેટલી હોવી જોઈએ ? (2002)
(A) 
(B) 
(C) 
(D) 
જવાબ
(B) 
લેન્સના સૂત્ર 
|v| =|u| = d લેતાં,
u = -d (સંજ્ઞા પદ્ધતિ મુજબ)
∴ 
= 
∴ 
∴ f = 
પ્રશ્ન 248.
આકૃતિમાં દર્શાવ્યા મુજબ કાચના લંબઘન પર પ્રકાશનું એક કિરણ આપાત થાય છે. જો
 ઊસમતલમાં તે પૂર્ણઆંતરિક પરાવર્તન પામતું હોય તો, કાચનો વક્રીભવનાંક કેટલો
 હશે ? (2002)

(A) 
(B) 
(C) 
(D) 
જવાબ
(A) 
બિંદુ A આગળ, aµg = 
∴ sin r = 
બિંદુ B માટે, sin (90° – r) = gµa
જ્યાં, (90° – r) ક્રાંતિકોણ બને છે.
∴ cos r = gµa = 

પ્રશ્ન 249.
એક દ્વિ-બહિર્ગોળ લેન્સને (i) XOX’ તથા (ii) YOY’ અક્ષ પરથી સમાન એવા બે 
અડધિયા થાય તેવી રીતે વારાફરતી કાપવામાં આવે છે. જો મૂળભૂત લેન્સની 
કેન્દ્રલંબાઈ f હોય, (i) કિસ્સામાં કેન્દ્રલંબાઈ f’ અને (ii) કિસ્સામાં 
કેન્દ્રલંબાઈ f” બનતી હોય તો, નીચે આપેલાં વિધાનો પૈકી કયું વિધાન સત્ય છે ?
 (2003)

(A) ƒ’ = 2ƒ, ƒ” = 2ƒ
(B) f’ = ƒ, f” = 2f
(C) f’ = 2f, f” = f
(D) f’ = ƒ, f” = ƒ
જવાબ
(B) f’ = ƒ‚ ƒ” = 2ƒ
(i) 
∴ ƒ’ = ƒ
(ii) 
જે સમાન કેન્દ્રલંબાઈ ધરાવતા બે લેન્સનું સંયોજન બને.
∴ 
∴ 
∴ ƒ” = 2f
પ્રશ્ન 250.
લંબચોરસ કાચના સ્લેબની સપાટી પર ત્રાંસું આપાત થતું પ્રકાશનું કિરણ લાલ તથા
 લીલા રંગનું મિશ્રિત કિરણ છે. સ્લેબમાંથી પસાર થઈને, સમાંતર એવી બીજી 
સપાટી પરથી બહાર આવતા લાલ રંગ તથા જાંબલી રંગનાં કિરણો …………………… (2004)
(A) એક જ બિંદુએથી એક જ દિશામાં ગતિ કરતાં બહાર આવે છે.
(B) જુદાં-જુદાં બે બિંદુએથી જુદી-જુદી દિશામાં ગતિ કરતાં જોવા મળે છે.
(C) જુદાં-જુદાં બે બિંદુએથી પરસ્પર સમાંતર ગતિ કરતાં બહાર આવે છે.
(D) એક જ બિંદુએથી બે જુદી-જુદી દિશામાં ગતિ કરતાં બહાર આવે છે.
જવાબ
(C) જુદાં-જુદાં બે બિંદુએથી પરસ્પર સમાંતર ગતિ કરતા બહાર આવે છે.

પ્રશ્ન 251.
એક ટેલિસ્કોપના વસ્તુકાચનો વ્યાસ 10 cm છે. બે જુદી- જુદી વસ્તુઓથી, 
વસ્તુકાચનું અંતર એક કિલોમીટર છે. જો વપરાતા પ્રકાશની તરંગલંબાઈ 5000 A હોય
 તો, લઘુતમ કયા ક્રમના અંતરે રહેલી બંને વસ્તુઓ આ ટેલિસ્કોપથી સ્પષ્ટ 
જુદી-જુદી જોઈ શકાય ? (2004)
(A) 5 cm
(B) 0.5 m
(C) 5 m
(D) 5 mm
જવાબ
(D) 5 mm
અહીં, 
અથવા x = 
= 1.22 × 5 × 10-3 m = 6.1 mm
માટે x નો ક્રમ 5 mm નો ગણાય.
પ્રશ્ન 252.
5000 Å તરંગલંબાઈવાળા પ્રકાશ માટે 10 cm વ્યાસવાળા (વસ્તુકાચના વ્યાસવાળા) ટેલિસ્કોપનું કોણીય વિભેદન ……………………… ક્રમનું હોય. (2005)
(A) 106 rad
(B) 10-2 rad
(C) 10-4 rad
(D) 10-6 rad
જવાબ
(D) 10-6 rad
δΦ = 1.22
= 1.22
= 6.1 × 10-6
δΦ = 10-6 rad
λ = 5000 Å
= 5000 × 10-10 n
D = 10 cm
= 10 × 10-2 m
પ્રશ્ન 253.
એક બહિર્ગોળ લેન્સ તથા એક અંતર્ગોળ લેન્સને પરસ્પર સંપર્કમાં ગોઠવીને 
સંયુક્ત લેન્સનું નિર્માણ કરવામાં આવેલું છે. જો બંને લેન્સની કેન્દ્રલંબાઈ
 સમાન અને મૂલ્યમાં 25 cm હોય તો, સંયુક્ત લેન્સનો પાવર ડાયોપ્ટર એકમમાં 
………………………….. થાય. (2006)
(A) 50
(B) અનંત
(C) શૂન્ય
(D) 25
જવાબ
(C) શૂન્ય
∴ પાવર P = 
પ્રશ્ન 254.
કાગળના એક ટુકડા પર કરેલી નિશાનીને સ્પષ્ટ જોવા માટે ચલસૂક્ષ્મદર્શકને 
ગોઠવેલું છે. હવે 1.5 વક્રીભવનાંક ધરાવતો 3 cm જાડાઈવાળો કાચનો લંબઘન આ 
નિશાની પર ગોઠવવામાં આવે છે. તો હવે આ નિશાનીને ફરીવાર સ્પષ્ટ જોવા માટે 
ચલસૂક્ષ્મદર્શકને કેવી રીતે સ્થાનાંતર આપવું પડશે ? (2006)
(A) 4.5 cm નીચે તરફ
(B) 1 cm નીચે તરફ
(C) 2 cm ઉપર તરફ
(D) 1 cm ઉપર તરફ
જવાબ
(D) 1 cm ઉપર તરફ

પ્રથમ કિસ્સામાં સૂક્ષ્મદર્શક P પર ફોક્સ છે.
બીજા કિસ્સામાં સૂક્ષ્મદર્શક P’ પર ફોક્સ થશે.
હવે, આભાસી ઊંડાઈ
PP’ = P ની સાચી ઊંડાઈ – P ની આભાસી ઊંડાઈ

પ્રશ્ન 255.
એક પારદર્શક દ્રવ્યમાં પ્રકાશની આવૃત્તિ 2 × 1014 Hz અને તરંગલંબાઈ 5000 Å છે, તો આ દ્રવ્યનો વક્રીભવનાંક ………………………. હોય. (2007)
(A) 1.50
(B) 3.00
(C) 1.33
(D) 1.40
જવાબ
(B) 3.00
v = fλ નો ઉપયોગ કરતાં,
v = 2 × 1014 × 5000 × 10-10m
108 ms-1
λ = 5000 Å
= 5000 × 10-10 m
દ્રવ્યનો વક્રીભવનાંક µ = 
પ્રશ્ન 256.
પ્રવાહી ભરેલા બીકરના તળિયે એક નાનો સિક્કો સ્થિર પડેલો છે. સિક્કા પરથી 
આવતું પ્રકાશનું કિરણ પ્રવાહીની સપાટી સુધી ગતિ કર્યા બાદ તે સપાટી પર જ 
ગતિ કરવા લાગે છે, તો પ્રવાહીમાં પ્રકાશની ઝડપ કેટલી થશે ?(2007)

(A) 2.4 × 108 ms-1
(B) 3.0 × 108 ms-1
(C) 1.2 × 108 ms-1
(D) 1.8 × 108 ms-1
જવાબ
(D) 1.8 × 108 ms

પ્રશ્ન 257.
10 cm કેન્દ્રલંબાઈવાળા દ્વિ-બહિર્ગોળ લેન્સની મદદથી એક છોકરો સૂર્યનાં 
કિરણોને કાગળ પર ઝીલીને ફોકસ કરે છે. જેથી કાગળ બળી શકે. સૂર્યનો વ્યાસ 
1.39 × 109 m અને પૃથ્વીથી સૂર્યનું સરેરાશ અંતર 1.5 × 1011 m હોય તો કાગળ પર ફોકસ થતા સૂર્યના પ્રતિબિંબનો વ્યાસ ……………… હોય. (2008)
(A) 9.2 × 10-4 m
(B) 6.5 × 10-4 m
(C) 6.5 × 10-5 m
(D) 12.4 × 10-4 m
જવાબ
(A) 9.2 × 10-4 m

અહીં, v = f
= (
= 0.92 × 10-3 m = 9.2 × 10-4 m
માટે સૂર્યના પ્રતિબિંબનો વ્યાસ 9.2 × 10-4 m.
પ્રશ્ન 258.
μ વક્રીભવનાંક ધરાવતા માધ્યમમાં પ્રકાશનું એક કિરણ ગતિ કરે છે. તે હવાના 
સંપર્કમાં રહેલી માધ્યમની સપાટી પર 45° ના આપાતકોણે આપાત થાય છે. μ ના કયા 
મૂલ્ય માટે આ પ્રકાશનું કિરણ માધ્યમમાં પૂર્ણ આંતરિક પરાવર્તન પામશે ? 
(2010)
(A) μ = 1.33
(B) μ = 1.40
(C) μ = 1.50
(D) μ = 1.25
જવાબ
(C) μ = 1.50
પૂર્ણ આંતરિક પરાવર્તન માટે,
μ ≥ 
∴ μ ≈ 1.50
પ્રશ્ન 259.
નીચે આપેલી પ્રકાશીય ઘટનાઓમાંથી કઈ ઘટના પૂર્ણઆંતરિક પરાવર્તન પર આધારિત નથી ? (2011)
(A) ઑપ્ટિકલ ફાઇબરનું કાર્ય
(B) પાણી ભરેલા ખાબોચિયાની સાચી ઊંડાઈ તથા દેખાતી ઊંડાઈ
(C) ઉનાળાના બપોરે દેખાતું મૃગજળ
(D) ડાયમન્ડ (હીરા)ની ચમક
જવાબ
(B) પાણી ભરેલા ખાબોચિયાની સાચી ઊંડાઈ તથા દેખાતી ઊંડાઈ
(A), (B) તથા (D) ઘટનાઓ સ્પષ્ટરૂપે પૂર્ણઆંતરિક પરાવર્તનની જાણીતી ઘટનાઓ છે.
જ્યારે પાણી ભરેલા પાત્રના તળિયાની આભાસી ઊંડાઈ એ વક્રીભવનની ઘટના પર આધારિત છે.
પ્રશ્ન 260.
એક દ્વિ-બહિર્ગોળ લેન્સની વક્રતાત્રિજ્યા 20 cm છે. લેન્સથી 30 cm દૂર 2 cm
 ઊંચાઈવાળી વસ્તુને ગોઠવતાં મળતા પ્રતિબિંબને નીચેનો કયો વિકલ્પ રજૂ કરે છે
 ?. (2011)
(A) આભાસી, સીધું, 1 cm ની ઊંચાઈવાળું પ્રતિબિંબ
(B) આભાસી, સીધું, 0.5 cm ની ઊંચાઈવાળું પ્રતિબિંબ
(C) સાચું, ઊલટું તથા 4 cm ની ઊંચાઈવાળું પ્રતિબિંબ
(D) સાચું, ઊલટું તથા 1 cm ની ઊંચાઈવાળું પ્રતિબિંબ
જવાબ
(C) સાચું, ઊલટું તથા 4 cm ની ઊંચાઈવાળું પ્રતિબિંબ
R = 20 cm, h0 = 2 cm, u = -30 cm

પ્રશ્ન 261.
μ1 = 1.5 વક્રીભવનાંકવાળા તથા 15° નો પ્રિઝમકોણ ધરાવતા પાતળા પ્રિઝમને μ2
 = 1.75 વક્રીભવનાંકવાળા બીજા પ્રિઝમ સાથે ગોઠવવામાં આવે છે. બંને પ્રિઝમની
 આ સંયુક્ત રચના પ્રકાશના કિરણનું વિચલન કર્યા વગર વિભાજન કરે છે, તો બીજા 
પ્રિઝમનો પ્રિઝમકોણ કેટલો હશે ? (2011M)
(A) 7°
(B) 10°
(C) 12°
(D) 5°
જવાબ.
(B) 10°
વિચલન = શૂન્ય
માટે, δ = δ1 + δ2 = 0
(μ1 – 1)A1 + (μ2 – 1) A2 = 0
A2(1.75 – 1) = – (1.51) 15°
A2 = –
A = -10°
ઋણ સંજ્ઞા દર્શાવે છે કે, બીજો પ્રિઝમ પ્રથમ પ્રિઝમની સાથે ઊલટો ગોઠવાયેલો છે.
પ્રશ્ન 262.
એક અપસારી પ્રકારના લેન્સ પર પ્રકાશનું અભિસારી કિરણ જૂથ આપાત થાય છે. 
લેન્સમાંથી પસાર થયા બાદ બીજી બાજુએ 15 cm દૂર કિરણો પરસ્પર છેદતાં માલૂમ 
પડે છે. હવે લેન્સને દૂર કરતાં આ કિરણો લેન્સના સ્થાનની નજીકના ભાગ તરફ 5 
cm દૂર મળે છે. તો લેન્સની કેન્દ્રલંબાઈ …………………….. હોય. (2011 M)
(A) -10 cm
(B) 20 cm
(C) -30 cm
(D) 5 cm
જવાબ.
(C) -30 cm

∴ f = -30 cm
પ્રશ્ન 263.
એક સમ બહિર્ગોળ લેન્સ એ એક સમ અંતર્ગોળ લેન્સમાં બરોબર બેસે છે. બંનેની સમતલ સપાટી એકબીજાને સમાંતર છે. જો લેન્સીસ μ1 અને μ2
 વક્રીભવનાંક્વાળા ભિન્ન પદાર્થોના બનેલા હોય તથા તેમની વક્ર સપાટીની 
વક્રતા ત્રિજ્યા R હોય, તો આવા સંયુક્ત લેન્સની કેન્દ્રલંબાઈ ………………….
છે. (AIPMT May 2013)
(A) 
(B) 
(C) 
(D) 
જવાબ
(C) 

પ્રશ્ન 264.
એક પ્રિઝમનો પ્રિઝમકોણ A છે. તેની એક સપાટી પર ચાંદી ચઢાવીને તેને પરાવર્તક
 બનાવી છે. તેની પારદર્શક સપાટી પર, આકૃતિમાં દર્શાવ્યા મુજબ એક પ્રકાશનું 
કિરણ 2A જેટલા આપાતકોણે આપાત થાય છે અને ચાંદી ચઢાવેલી સપાટી પર પરાવર્તન 
પામીને મૂળ માર્ગે પાછું ફરે છે, તો પ્રિઝમના દ્રવ્યનો વક્રીભવનાંક 
………………….. (AIPMT-2014)

(A) 2 sin A
(B) 2 cos A
(C) 
(D) tan A
જવાબ
(B) 2 cos A
A = r1 + r2 માં r1 = r અને r2 = 0 ∴ A = 0
સ્નેલના નિયમ પરથી, n1 sin i = n2 sin r
(1) sin 2A = n sin A
∴ n = 
પ્રશ્ન 265.
એક પ્રિઝમનો પ્રિઝમકોણ A છે. તેની એક સપાટી પર ચાંદી ચઢાવીને તેને પરાવર્તક
 બનાવી છે. તેની પારદર્શક સપાટી પર, આકૃતિમાં દર્શાવ્યા મુજબ એક પ્રકાશનું 
કિરણ 2A જેટલા આપાતકોણે આપાત થાય છે અને ચાંદી ચઢાવેલી સપાટી પર પરાવર્તન 
પામીને મૂળ માર્ગે પાછું ફરે છે, તો પ્રિઝમના દ્રવ્યનો વક્રીભવનાંક 
……………….. .(AIPMT May 2014)
(A) 2 sin A
(B) 2 cos A
(C) 
(D)tan A
જવાબ
(B) 2 cos A
A = r1 + r2 માં r1 = r અને r2 = 0
∴ A = r
સ્નેલના નિયમ પરથી, n1 sin i = n2 sin r
(1) sin 2A = n sin A
∴ n = 
= 
∴ n = 2 cos A
પ્રશ્ન 266.
સમાન બે પાતળા સમતલ બહિર્ગોળ લેન્સોના દ્રવ્યનો વક્રીભવનાંક 1.5 અને દરેકની
 વક્રતા ત્રિજ્યા 20 cm છે. તેમને એક પાત્રમાં એવી રીતે મૂકેલા છે કે જેથી 
તેમની બહિર્ગોળ સપાટી મધ્યમાં એકબીજાને સ્પર્શે અને બાકીના ભાગમાં 1.7 
વક્રીભવનાંકવાળું ઑઈલ ભરવામાં આવે તો આ સંયોજનની કેન્દ્રલંબાઈ ………………… 
(AIPMT May 2015)
(A) -20 cm
(B) -25 cm
(C) -50 cm
(D) 50 cm
જવાબ
(C) -50 cm
લેન્સમેકરના સૂત્ર અનુસાર

પ્રશ્ન 267.
એક પ્રિઝમનો પ્રિઝમકોણ A અને પ્રિઝમના દ્રવ્યનો વક્રીભવનાંક cot(
(A) 180° – 3A
(B) 180° – 2A
(C) 90° – A
(D) 180° + 2A
જવાબ
(B) 180° – 2A

∴ 180° – A = δm + A
∴ 180° – 2A = δm
∴ δm = 180° – 2A
પ્રશ્ન 268.
ખગોળ ટેલિસ્કોપની સામાન્ય ગોઠવણની સ્થિતિમાં તેના ઑબ્જેક્ટિવ લેન્સની અંદર 
એક સીધી L લંબાઈની કાળી રેખા દોરેલી છે. આઇ-પીસ વડે આ રેખાનું વાસ્તવિક 
પ્રતિબિંબ રચે છે. આ પ્રતિબિંબની લંબાઈ I હોય તો ટેલિસ્કોપની મોટવણી 
………………… (AIPMT July 2015)
(A) 
(B) 
(C) 
(D) 
જવાબ
(A) 

પ્રશ્ન 269.
એક પ્રકાશની કિરણાવલી લાલ, લીલા અને વાદળી રંગોથી બનેલી છે. આ કિરણાવલી કોઈ
 સમબાજુ પ્રિઝમ પર આપાત થાય છે. લાલ, લીલા અને વાદળી રંગો માટે પ્રિઝમ 
દ્રવ્યના વક્રીભવનાંક અનુક્રમે 1.39, 1.44 અને 1.47 છે, તો આ પ્રઝમ 
…………………………… (AIPMT July 2015)

(A) કિરંણાવલીના લાલ રંગના ભાગને બીજા રંગોથી અલગ કરશે.
(B) કિરણાવલીના વાદળી રંગના ભાગને બીજા રંગોથી અલગ કરશે.
(C) કિરણાવલીના ત્રણેય રંગોને એકબીજાથી અલગ કરી દેશે.
(D) ત્રણેય રંગોને બિલકુલ અલગ નહીં કરે.
જવાબ
(A) કિરણાવલીના લાલ રંગના ભાગને બીજા રંગોથી અલગ કરશે.
µ = 
∴ µ = √2
∴ µ = 1.414
1.39 < 1.414, 1.44 > 1.414, 1.47 > 1.414
* µલાલ < µ, µલીલો > µ, µવાદળી > µ
તેથી માત્ર લાલ રંગનું પૂર્ણ આંતરિક પરાવર્તન થશે નહિ. લાલ રંગ પ્રિઝમમાંથી
 પસાર થશે પણ લીલો અને વાદળી રંગના પ્રકાશનું પૂર્ણ આંતરિક પરાવર્તન થશે. 
તેથી લાલ રંગ અલગ પડશે.
પ્રશ્ન 270.
કૉલમ-I ની સાથે સંગત વિગતને કોલમ-II ની વિગત સાથે યોગ્ય રીતે જોડો જ્યાં ‘m’ અરીસા દ્વારા ઉત્પન્ન થતી મોટવણી છે. (AIPMT May 2016)
| કૉલમ-I | કોલમ-II | 
| (1) m = -2 | (a) બહિર્ગોળ અરીસો | 
| (2) m = – | (b) અંતર્ગોળ અરીસો | 
| (3) m = +2 | (c) સાચું પ્રતિબિંબ | 
| (4) m = + | (d) આભાસી પ્રતિબિંબ | 
(A) (1 – a અને c), (2 – a અને d), (3 – a અને b) (4 – c અને d)
(B) (1 – a અને d), (2 – b અને c), (3 – b અને d) (4 – b અને c)
(C) (1 – c અને d), (2 – b અને d), (3 – b અને c) (4 – a અનેd)
(D) (1 – b અને c), (2 – b અને c), (3 – b અને d) (4 – a અને d)
જવાબ
(D) (1 – b અને c), (2 – b અને c), (3 – b અને d) (4 – a અને d)
પ્રશ્ન 271.
પ્રિઝમની કોઈ સપાટી સાથે 45° ના કોણે પ્રકાશનું કિરણ આપાત થાય છે. 
પ્રિઝમકોણનું મૂલ્ય 60° છે. જો આ કિરણ પ્રિઝમથી લઘુતમ વિચલન પામતું હોય તો 
લઘુતમ વિચલનકોણ અને દ્રવ્યનો વક્રીભવનાંક અનુક્રમે …………………… છે. (AIPMT May
 2016)
(A) 30°, √2
(B) 45°, 2
(C) 30°, 
(D) 45°, 
જવાબ
(A) 30°, √2
i + e = A + δ
45° + 45° = 60° + δm [∵ i = e ⇒ δ = δm]
∴ δm = 30°

પ્રશ્ન 272.
દરેકની સમાન કેન્દ્રલંબાઈ f વાળા કાચ (µg = 
લેન્સો વચ્ચેની જગ્યામાં µw = 
(A) 
(B) 
(C) 
(D) ƒ
જવાબ
(B) 
કાચના બહિગોળ લેન્સની કેન્દ્રલંબાઈ, લેન્સમેકરના સૂત્ર પરથી,

તંત્રની સમતુલ્ય કેન્દ્રલંબાઈ F હોય તો,
= 
પ્રશ્ન 273.
1.5 વક્રીભવનાંક ધરાવતા કાચના લંબઘન સ્લેબમાં રહેલી હવાના પરપોટાની ઊંડાઈ 
લગભગ લંબરૂપે એકબાજુથી જોતાં 5 cm અને બીજી બાજુથી જોતાં 3 cm છે, તો 
સ્લેબની જાડાઈ cm માં કેટલી હશે ? (AIPMT July 2016)
(A) 12
(B) 16
(C) 8
(D) 10
જવાબ
(A) 12

કાચના સ્લૅબની જાડાઈ
સાચી ઊંડાઈ આભાસી ઊંડાઈ
t = n (hi + hi‘)
= 1.5 (5 + 3)
1.5 × 8 = 12 cm
પ્રશ્ન 274.
જો પ્રિઝમ કોણ 60° અને લઘુતમ વિચલન કોણ 40° હોય, તો વક્રીભવન કોણ થશે : (AIPMT May 2017)
(A) 4°
(B) 30°
(C) 20°
(D) 3°
જવાબ
(B) 30°
જો વિચલન લઘુતમ થાય તો r1 = r2 = r અને પ્રિઝમ કોણ
A = r1 + r2 = r + r = 2r
∴ r = 
પ્રશ્ન 275.
એક ઘટ માધ્યમ કે જેનો વક્રીભવનાંક 1.414 છે તેના પર 45° ના ખૂણે પ્રકાશનું 
એક પૂંજ આપાત થાય છે. આ માધ્યમમાં વક્રીભૂત કૂંજની પહોળાઈ અને હવામાં આપાત 
પૂંજની પહોળાઈનો ગુણોત્તર શોધો.(AIPMT May 2017)
(A) √3 : √2
(B) 1 : √2
(C) √2 : 1
(D) √2: √3
જવાબ
(A) √3 : √2

આપાત પૂંજની પહોળાઈ = 1
ΔBAC કાટકોણ છે.
∴ BC = 
= 
= √2
હવે, ΔBDC માં ∠D કાટકોણ છે.
અને B તથા C પાસે
n = 
1.414 = 
∴ sin r = 
∴ r = 30°
∴ ∠CBD = 30°
હવે, ΔBDC માં
cos30° = 
પ્રશ્ન 276.
જો ઓબ્જેક્ટિવ લેન્સનો પાવર વધારવામાં આવે તો મેગ્નિફાઇંગ પાવર ………………….. (NEET 2014)
(A) માઈક્રોસ્કોપનો વધશે પણ ટેલિસ્કોપનો ઘટશે.
(B) માઈક્રોસ્કોપ અને ટેલિસ્કોપ બંનેનો વધશે.
(C) માઈક્રોસ્કોપ અને ટેલિસ્કોપ બંનેનો ઘટશે.
(D) માઈક્રોસ્કોપનો ઘટશે પણ ટેલિસ્કોપનો વધશે.
જવાબ
(D) માઈક્રોસ્કોપનો ઘટશે પણ ટેલિસ્કોપનો વધશે.
માઈક્રોસ્કોપનો M. P = 
ટેલિસ્કોપનો M.P = 
પ્રશ્ન 277.
ઍસ્ટ્રોનોમિકલ ટેલિસ્કોપમાં ઑબ્જેક્ટિવ લેન્સ અને આઇ-પીસના લેન્સની 
કેન્દ્રલંબાઈ અનુક્રમે 40 cm અને 4 cm છે. ઓબ્જેક્ટિવ લેન્સથી 200 cm દૂરની
 વસ્તુ જોવા માટે બંને લેન્સો વચ્ચેનું અંતર (ટ્યૂબ-લંબાઈ) …………………… . 
(NEET 2016, Phase-I)
(A) 50.0 cm
(B) 54.0 cm
(C) 37.3 cm
(D) 46.0 cm
જવાબ
(B) 54.0 cm
અહીં 200 cm દૂરની વસ્તુ હોવાથી ઑબ્જેક્ટિવ પર મળતાં પ્રતિબિંબનું અંતર v0δ હોય તો

∴ v0 = 50 cm
અહીં ટ્યૂબ-લંબાઈ L = v0 + fe = 50 + 4 = 54 cm
પ્રશ્ન 278.
પ્રકાશના સ્ત્રોતથી x અંતરે રહેલા સમતલ અરીસા પર તેમાંથી નીકળતું એક કિરણ 
લંબરૂપે આપાત થાય છે. સ્ત્રોત L ની સહેજ ઉપર રાખેલાં સ્કેલ પર સ્ત્રોતના 
સ્થાને જે પરાવર્તિત પ્રકાશિતથી ટપકું મળે છે. જ્યારે અરીસા સાથે θ કોણ 
જેટલું ભ્રમણ આપવામાં આવે ત્યારે પ્રકાશિત ટપકું સ્કેલ પર y અંતર જેટલું 
ખસે છે તો θ = …………………. .(NEET 2017)
(A) 
(B) 
(C) 
(D) 
જવાબ
(D) 

જ્યારે સમતલ અરીસાને θ જેટલું ભ્રમણ આપવામાં આવે ત્યારે પરાવર્તિત કિરણ 2θ જેટલું ભ્રમણ પામે આકૃતિમાં દર્શાવેલ
કાટકોણ ત્રિકોણમાં tan2θ = 
નાના ખૂણા માટે tan2θ ≈ 2θ
∴ 2θ = 
∴ θ = 
પ્રશ્ન 279.
1.42 વક્રીભવનાંક ધરાવતા કાચમાંથી 10° નાં પ્રિઝમકોણવાળો પાતળો પ્રિઝમ છે 
તેને 1.7 વક્રીભવનાંકવાળા બીજા પાતળા પ્રિઝમ સાથે જોડવામાં આવે છે. આ 
સંયોજનથી વિચલન વગરનું વિભાજન થાય છે તો બીજા પ્રિઝમનો પ્રિઝમકોણ કેટલો ? 
(NEET 2017)
(A) 6°
(B) 8°
(C) 10°
(D) 4°
જવાબ
(A) 6°
વિચલન વગરનું વિભાજન માટે δ = 0
∴ δ = δ1 + δ2
0 = (μ – 1)A+ (μ’ – 1)A’
∴ A’ = – 
= – 
= – 
= 6°
ઋણ નિશાની સૂચવે છે કે બંને પ્રિઝમના પ્રિઝમકોણ ઊલટા છે.
∴ બીજા પ્રિઝમનો પ્રિઝમકોણ = 6°
પ્રશ્ન 280.
15 cm કેન્દ્ર લંબાઈના એક આંતરગોળ અરીસાથી 40 cm પર એક વસ્તુ મૂકેલ છે. જો આ
 વસ્તુને 20 cm આ અરીસા તરફ ખસેડવામાં આવે, તો પ્રતિબિંબનું સ્થાનાંતર હશે,
 (NEET – 2018)
(A) 36 cm અરીસા તરફ
(B) અરીસાથી 30 cm દૂર
(C) 30 cm અરીસા તરફ
(D) અરીસાથી 36 cm દૂર
જવાબ
(D) અરીસાથી 36 cm દૂર
f = -15 cm, u1 = – 40 cm, v1 = ?

પ્રતિબિંબોનું અંતર = v2 – v1
= – 60+ 24 = – 36 cm
અંતર ધન હોય તેથી અરીસાથી 36 cm દૂર
પ્રશ્ન 281.
કોઈ એક પ્રિઝમના દ્રવ્યનો વક્રીભવનાંક √2 છે અને પ્રિઝમ કોણ 30° છે. આ 
પ્રિઝમની બે માંથી એક વક્રીભૂત સપાટીને ચાંદીનો ઢોળ ચઢાવીને અરીસો 
બનાવવામાં આવે છે. એક રંગીય પ્રકાશ પુંજ તેની બીજી સપાટીમાંથી પ્રિઝમમાં 
દાખલ થાય (રૂપેરી સપાટી પરથી પરાવર્તિત થઈને) તે જ પથ પર પાછો ફરે, જો તેનો
 પ્રિઝમ પરનો આપાત કોણ હોય, (NEET – 2018)
(A) શૂન્ય
(B) 60°
(C) 30°
(D) 45°
જવાબ
(D) 45°

A = 30°, r1 = 30°, r2 = 0°
∴ A = r1 + r2
30° = r1 + 0°
∴ r1 = 30°
સ્નેલના નિયમ પરથી,
n1 sin i = n2 sin r1
(1) sin i √2 sin 30°
∴ sin i = √2 × 
∴ sin i = 
∴ i = 45°
પ્રશ્ન 282.
મેઘધનુષના સંદર્ભમાં ખોટો જવાબ પસંદ કરો. (NEET (R6) – 2019)
(A) સૂર્ય પ્રકાશની વિભાજન, વક્રીભવન અને પરાવર્તનની સામૂહિક અસર એ મેઘધનુષ છે.
(B) જ્યારે પ્રકાશના કિરણો પાણીના બિંદુમાં બે આંતરિક પરાવર્તનો પામે છે, તો ગૌણ મેઘધનુષ રચાય છે.
(C) ગૌણ મેઘધનુષમાં રંગોનો ક્રમ ઊલટાય છે.
(D) એક નિરીક્ષકનું મુખ (Front) સૂર્યની સામે હોય ત્યારે તે મેઘધનુષ જોઈ શકે છે.
જવાબ
(D) એક નિરીક્ષકનું મુખ (Front) સૂર્યની સામે હોય ત્યારે તે મેઘધનુષ જોઈ શકે છે.
મેઘધનુષ હંમેશાં સૂર્ય જે દિશામાં હોય તેની સામે જ સવા૨ કે સાંજના સમયે જ જોવા મળે છે.
પ્રશ્ન 283.
દરેકની f કેન્દ્રલંબાઈ હોય તેવા બે સમાન પાતળા સમબહિર્ગોળ (equi-convex) 
કાચોને એકબીજાના સમ- અક્ષીય સંપર્કમાં એવી રીતે રાખવામાં આવે છે કે જેથી આ 
સંયુક્ત રચનાની કેન્દ્રલંબાઈ F1 છે. જ્યારે આ બે કાચો વચ્ચેની 
જગ્યાને ગ્લિસરીન વડે ભરવામાં આવે [કે જેનો કાચના વક્રીભવનાંક જેટલો જ 
વક્રીભવનાંક છે (µ = 1.5)]ત્યારે સમતુલ્ય કેન્દ્રલંબાઈ F2 છે, તો F1 : F2 નો ગુણોત્તર ………………….. હશે. (NEET (R6) – 2019)
(A) 3 : 4
(B) 2 : 1
(C) 1 : 2
(D) 2 : 3
જવાબ
(C) 1 : 2
∴ F1 = 
અને F2 = f આપેલ છે.
∴ 
પ્રશ્ન 284.
પૂર્ણ આંતરિક પરાવર્તનમાં જ્યારે આપાતકોણ સંપર્કમાં રહેલ માધ્યમોની જોડ 
માટેના ક્રિટીકલ કોણ જેટલો થાય ત્યારે વક્રીભવન કોણ શું હશે ? (NEET (R6) –
 2019)
(A) 90°
(B) 120°
(C) 0°
(D) આપાતકોણ જેટલો
જવાબ
(A) 90°
ક્રાંતિકોણે આપાત થતાં કિરણનું વક્રીભવન 90° ના કોણે થાય છે.

પ્રશ્ન 285.
એક નાના કોણ પ્રિઝમ (પ્રિઝમ કોણ A છે)ની એક સપાટી પર એક કિરણ આપાતકોણ i પર 
આપાત થાય છે અને વિરુદ્ધ સપાટીથી લંબ રીતે નિર્ગમન પામે છે. જો આ પ્રિઝમમાં
 દ્રવ્યનો વક્રીભવનાંક µ છે, તો આપાતકોણ ……………………. ની નજીકનો છે. (NEET – 
2020)
(A) 
(B) 
(C) µA
(D) 
જવાબ
(C) µA

નાન પ્રિઝમ માટે r1 + r2 = 0
પણ r2 = 0
∴ r1 = A
હવે 
∴ sini = µ × sinr1
નાના ખૂણાઓ માટે,
i = μ × r1
∴ i = μA
પ્રશ્ન 286.
જ્યારે પ્રકાશનું કિરણજૂથ વસ્તુનું સ્થાન નક્કી કરવા માટે વપરાય છે ત્યારે 
પ્રકાશ ………………….. તો વધુમાં વધુ ચોકસાઈ પ્રાપ્ત થાય છે. (2003)
(A) ધ્રુવીભૂત હોય
(B) ની તરંગલંબાઈ વધુ હોય
(C) ની તરંગલંબાઈ ઓછી હોય
(D) ની તીવ્રતા વધુ હોય
જવાબ
(C) ની તરંગલંબાઈ ઓછી હોય
સ્થાનની ચોક્કસાઈ નક્કી કરવા માટે શક્ય તેટલી નાની તરંગલંબાઈ વાપરવી જોઈએ.
પ્રશ્ન 287.
પૃથ્વીની સપાટી પરથી 400 km ઊંચાઈએ રહેલા સ્પેસ શટલમાંનો અવકાશયાત્રી 
પૃથ્વીની સપાટીનું નિરીક્ષણ કરે છે. જો અવકાશયાત્રીની આંખની કીકીનો વ્યાસ 5
 mm હોય અને પ્રકાશની તરંગલંબાઈ 500 nm હોય તો તે …………………. ના ક્રમનું 
રેખીય વિભેદન અનુભવી શકે. (2003)
(A) 0.5 m
(B) 5 m
(C) 50 m
(D) 500 m
જવાબ
(C) 50 m
આંખની રેખીય વિભેદનશક્તિ R = 1.22
D = 400 km = 400,000 m
d = 5 mm = 5 × 10-3 m
λ = 500 nm = 500 × 10-9 m
∴ R = 1.22 × 
= 48.8 m
∴ R ≈ 50 m
પ્રશ્ન 288.
પ્રવાહીમાં એક પદાર્થને ડુબાડેલો છે, તો નીચેનામાંથી કયા કારણસર પદાર્થ દૃશ્યમાન ન બને ? (2004)
(A) જ્યારે પદાર્થ સંપૂર્ણ પરાવર્તક તરીકે વર્તે.
(B) જ્યારે પદાર્થ તેના પર પડતા પ્રકાશનું સંપૂર્ણપણે શોષણ કરે.
(C) જ્યારે વક્રીભવનાંકનું મૂલ્ય 1 હોય.
(D) જ્યારે પદાર્થ તથા પ્રવાહી બંનેનો વક્રીભવનાંક એક જ સરખું મૂલ્ય ધરાવે.
જવાબ
(D) જ્યારે પદાર્થ તથા પ્રવાહી બંનેનો વક્રીભવનાંક એક જ સરખું મૂલ્ય ધરાવે.
જ્યારે બે માધ્યમના વક્રીભવનાંકનું મૂલ્ય સમાન થાય ત્યારે બંનેને છૂટા 
પાડતી સપાટી પ્રકાશનું પરાવર્તન કે વક્રીભવન કરતી નથી, માટે પદાર્થ દશ્યમાન
 બને નહીં.
પ્રશ્ન 289.
શરીરના અંદરના અવયવોનું નિરીક્ષણ કરવા માટે ડૉક્ટર ‘ઑપ્ટિકલ ફાઇબર’ નો 
ઉપયોગ કરે છે, જે …………………… ના સિદ્ધાંત પર કાર્ય કરે છે. (2004)
(A) પ્રકાશનું વક્રીભવન
(B) પ્રકાશનું પરાવર્તન
(C) પ્રકાશનું પૂર્ણઆંતરિક પરાવર્તન
(D) પ્રકાશનું પ્રકીર્ણન
જવાબ
(C) પ્રકાશનું પૂર્ણ આંતરિક પરાવર્તન
પ્રશ્ન 290.
એક ઑપ્ટિકલ ફાઇબર માટે n1 તથા n2 એ અનુક્રમે મધ્યભાગ તથા ક્લેઝિંગ દ્રવ્યના વક્રીભવનાંકો છે, તો
મહત્તમ સ્વીકૃત ખૂણો θ = …………………………….. (2005)
(A) sin-1(
(B) sin-1
(C) [tan-1 
(D) [tan-1 
જવાબ
(B) sin-1
વ્યાખ્યા તથા સમજૂતી પરથી.
પ્રશ્ન 291.
એક ટેલિસ્કોપના વસ્તુકાચની કેન્દ્રલંબાઈ 200 cm અને નેત્રકાચ (આઈ-પીસ)ની 
કેન્દ્રલંબાઈ 2 cm છે. આ ટેલિસ્કોપ વડે 2 km દૂર આવેલા 50 m ઊંચાઈના 
બિલ્ડિંગને જોવામાં આવે તો વસ્તુકાચ વડે રચાતા પ્રતિબિંબની ઊંચાઈ 
…………………….cm હોય.
(A) 5 cm
(B) 10 cm
(C) 1 cm
(D) 2 cm
જવાબ
(A) 5 cm
વસ્તુકાચ માટે f0 = 200 cm
u0 = -2 × 105 cm


પ્રશ્ન 292.
વક્રીભવનની ઘટનામાં એક માધ્યમમાંથી બીજા માધ્યમમાં પ્રવેશતી વખતે પ્રકાશનું કિરણ વાંકું વળે છે, કારણ કે …………………. (2006)
(A) બીજા માધ્યમમાં આવૃત્તિ બદલાય છે.
(B) બીજા માધ્યમની સ્થિતિસ્થાપકતા-ગુણાંક જુદો હોય છે.
(C) બીજા માધ્યમમાં ઝડપ બદલાય છે.
(D) બીજા માધ્યમમાં કંપવિસ્તાર નાનો બને છે.
જવાબ
(C) બીજા માધ્યમમાં ઝડપ બદલાય છે.
પ્રકાશની ઝડપ માધ્યમની જાત પર આધારિત છે.
પ્રશ્ન 293.
10 cm ની કેન્દ્રલંબાઈ ધરાવતા મેગ્નિફાઇંગ લેન્સ વડે 8 cm દૂર રાખેલી તારની
 ઝીણી જાળી જોવા માટે લેન્સને આંખની નજીક રાખવામાં આવેલ છે, તો લેન્સ વડે 
મળતું
વિવર્ધન = ……………………… (2006)
(A) 5
(B) 8
(C) 10
(D) 20
જવાબ
(A) 5
u = -8 cm ; f = +10 cm

પ્રશ્ન 294.
1.5 વક્રીભવનાંક ધરાવતા ફ્લિન્ટ કાચનો લેન્સ બનાવેલો છે. જ્યારે તેને 1,25 
વક્રીભવનાંકવાળા પ્રવાહીમાં ડુબાડવામાં આવે છે ત્યારે તેની કેન્દ્રલંબાઈ, 
હવામાં રાખેલાં લેન્સની કેન્દ્રલંબાઈ કરતાં …………………….. (2006)
(A) 1.25 f થાય.
(B) 2.5 f થાય.
(C) 1.2 f થાય.
(D) 1.3 f થાય.
જવાબ
(B) 2.5 f થાય.
ધારો કે, લેન્સની કેન્દ્રલંબાઈ f છે.

પ્રશ્ન 295.
માત્ર લીલા રંગનો વર્ણક (Pigment) ધરાવતા લીલા પાંદડાને 0.6328 um ની 
તરંગલંબાઈવાળા લેસર પ્રકાશ વડે પ્રકાશિત કરવામાં આવે તો તે …………………. રંગનું
 દેખાશે.
(2006)
(A) બ્રાઉન (કથ્થઈ)
(B) કાળા
(C) લાલ
(D) લીલા
જવાબ
(B) કાળા
આપાત લેસરની તરંગલંબાઈ 0.6328 um છે. લીલા રંગની તરંગલંબાઈ 0.6328 um કરતાં
 ઘણી ઓછી છે, માટે પાંડું આપાત પ્રકાશનું શોષણ કરશે અને કોઈ પણ રંગનું 
પરાવર્તન થતા પાંડું કાળા રંગનું જણાશે.
પ્રશ્ન 296.
એક કેમેરાના લેન્સનો એપરચર f તથા તેનો એક્સપોઝર ટાઇમ 
(A) 
(B) 
(C) 
(D) 
જવાબ
(D) 
એક્સપોઝર સમય t ∝ f2

પ્રશ્ન 297.
1000 m દૂર રહેલા બિંદુવત્ ઉદ્ગમની તેજસ્વિતા I છે. હવે જો તેમાં ફેરફાર કરીને 161 બને તો નવું અંતર = ……………………. જરૂરી બનશે. (2007)
(A) 250 m
(B) 500 m
(C) 750 m
(D) 800 m
જવાબ
(A) 250 m
બિંદુવત્ ઉદ્ગમ માટે r અંતરે તેજસ્વિતા I નો સંબંધ,

∴ r’ = 250 m
પ્રશ્ન 298.
માઇક્રોસ્કોપના વસ્તુકાય તથા નેત્રકાચની કેન્દ્રલંબાઈઓ અનુક્રમે 1.6 cm અને
 2.5 cm છે. બંને લેન્સ વચ્ચેનું અંતર 21.7 cm છે. જો અંતિમ પ્રતિબિંબ અનંત
 અંતરે રચાતું હોય તો, રેખીય મેગ્નિફિકેશન m = ………………….. cm. (2007)
(A) 11
(B) 110
(C) 1.1
(D) 44
જવાબ
(B) 110
v0 = L – fe 21.7 – 2.5 = +19.2 cm

∴ m = 110 cm
પ્રશ્ન 299.
(A) -1.25
(B) -1.5
(C) 1.25
(D) 1.5
જવાબ
(A) -1.25

સમી. (1) તથા (2) નો ગુણોત્તર લેતાં,
2.5 f’ = 
∴ f’ = 
∴ 
પ્રશ્ન 300.
પ્રકાશનું બિલકુલ પરાવર્તન ન કરે (100% શોષણ કરે) તેવી સપાટી પર 18 W/cm2 
ની જ્યોતિઊર્જાવાળું ફ્લક્સ આપાત કરતાં ઉદ્ભવતું દબાણ કેટલું હોય ? (2009)
(A) 2 N/m2
(B) 2 × 10-4 N/m2
(C) 6 N/m2
(D) 6 × 10-4 N/m2
જવાબ
(D) 6 × 10-4 N/m2

∴ P = 6 × 10-4 N/mm2
પ્રશ્ન 301.
એક અંતર્ગોળ અરીસાના મુખ્યકેન્દ્રથી d1 અંતરે ગોઠવેલી વસ્તુનું પ્રતિબિંબ મુખ્યકેન્દ્રથી d2 અંતરે મળે છે. તો તે અરીસાની કેન્દ્રલંબાઈ ………………….. હોય. (2009)
(A) f = 
(B) d1d2
(C) 
(D) 
જવાબ
(A) f = 
f = 
f = 
∴ f2 + fd1 + f2 + fd2 = f2 + fd2 + fd1 + d1d2
∴ f2 = d1d2
∴ f = 
પ્રશ્ન 302.
f કેન્દ્રલંબાઈવાળા અંતર્ગોળ અરીસાની અક્ષ પર અરીસાના ધ્રુવથી d અંતરે l 
જેટલી નાની લંબાઈની વસ્તુને ગોઠવેલી છે, તો અરીસા વડે મળતા તેના 
પ્રતિબિંબની સાઇઝ આશરે
…………………… થાય. (2009)
(A) 
(B) 
(C) l
(D) 
જવાબ
(C) l
જ્યારે u = d + l હોય ત્યારે,
પ્રતિબિંબ સાઇઝ = v1 – v2 = l(
પ્રશ્ન 303.
-20 cm તથા +10 cm કેન્દ્રલંબાઈ ધરાવતા બે લેન્સને પાસપાસે ગોઠવીને સંયુક્ત લેન્સ બનાવતાં તેનો પાવર ………………. D થાય. (2011)
(A) -1
(B) -2
(C) +5
(D) +2
જવાબ
(C) +5
f1 = -20, cm f2 = +10 cm
∴ 
∴ 
∴ F = 20 cm
વળી, પાવર P = 
સૂચનાઓ :
(a) વિધાન અને કારણ બંને સત્ય છે અને કારણ વિધાનની સાચી સમજૂતી છે.
(b) વિધાન અને કારણ બંને સત્ય છે, પરંતુ કારણ એ વિધાનની સાચી સમજૂતી નથી.
(c) વિધાન સાચું છે, પરંતુ કારણ ખોટું છે.
(d) વિધાન અને કારણ બંને ખોટાં છે.
પ્રશ્ન 304.
વિધાન : આકાશમાં રાત્રે તારાઓ ટમટમે છે, જ્યારે ગ્રહો ટમટમતા નથી.
કારણ : તારાઓનું કદ, ગ્રહોના કદ કરતાં ઘણું મોટું હોય છે. (2003)
(A) a
(B) b
(C) c
(D) d
જવાબ
(B) b
પ્રશ્ન 305.
વિધાનઃ ઘુવડ રાત્રિના સમયે આરામથી હરીફરી શકે છે.
કારણ : ઘુવડની આંખની રેટિનામાં ખૂબ જ મોટી સંખ્યામાં દંડાણુ (Rods = દંડ આકારના પ્રકાશ સંવેદકો) હોય છે. (2003)
(A) a
(B) b
(C) c
(D) d
જવાબ
(A) a
પ્રશ્ન 306.
વિધાન : લાલ રંગનો પદાર્થ, પીળા રંગના પ્રકાશની હાજરીમાં કાળો જણાય છે.
કારણ : લાલ રંગનું પ્રકીર્ણન સૌથી ઓછું છે. (2004)
(A) a
(B) b
(C) c
(D) d
જવાબ
(B) b
પ્રશ્ન 307.
વિધાન : કાચની સપાટીને રફ (ખરબચડી) બનાવતાં કાચની પારદર્શકતામાં ઘટાડો થાય છે.
કારણ : ખરબચડી સપાટીવાળો કાચ પ્રકાશનું વધુ શોષણ કરે છે. (2005)
(A) a
(B) b
(C) c
(D) d
જવાબ
(C) c
પ્રશ્ન 308.
વિધાન : ડાયમન્ડ (હીરો) તેજસ્વીપણે ઝળહળે છે.
કારણ : ડાયમન્ડ (હીરો) સૂર્યપ્રકાશનું શોષણ કરતો નથી. (2005)
(A) a
(B) b
(C) c
(D) d
જવાબ
(B) b
પ્રશ્ન 309.
વિધાન : ટેલિસ્કોપના વસ્તુકાચનો વ્યાસ જેમ મોટો તેમ તેની વિભેદનશક્તિ વધુ.
કારણ : મોટા વ્યાસવાળો વસ્તુકાય પ્રકાશનાં વધુ કિરણોને એકત્રિત કરે છે. (2005)
(A) a
(B) b
(C) c
(D) d
જવાબ
(A) a
પ્રશ્ન 310.
વિધાન : ગોગલ્સના લેન્સનો પાવર શૂન્ય હોય છે.
કારણ : ગોગલ્સના લેન્સની બંને વક્રતાત્રિજ્યાઓ સમાન હોય છે. (2007)
(A) a
(B) b
(C) c
(D) d
જવાબ
(A) a
પ્રશ્ન 311.
વિધાન : જો સંયુક્ત સૂક્ષ્મદર્શકના વસ્તુકાચ તથા આઈપીસનાં સ્થાનો અદલ-બદલ કરવામાં આવે તો તે ટેલિસ્કોપ બને.
કારણ : ટેલિસ્કોપનો વસ્તુકાય નાની કેન્દ્રલંબાઈનો હોય છે. (2010)
(A) a
(B) b
(C) c
(D) d
જવાબ
(D) d
ટેલિસ્કોપ બનાવવા માટે આપણે માઇક્રોસ્કોપના વસ્તુકાચ અને આઇપીસને અદલ-બદલ કરી શકીએ નહીં.
માઇક્રોસ્કોપના લેન્સની કેન્દ્રલંબાઈ મિલીમીટરમાં કે થોડા સેન્ટિમીટરના ક્રમની હોય છે માટે (f0 – fc) નો તફાવત ખૂબ જ નાનો બને છે.
ટેલિસ્કોપના વસ્તુકાચની કેન્દ્રલંબાઈ મીટરના ક્રમની હોય છે.
પ્રશ્ન 312.
વિધાન : જ્યારે સફેદ પ્રકાશનું કિરણ લેન્સમાંથી પસાર થાય ત્યારે જાંબલી રંગનું વક્રીભવન લાલ રંગ કરતાં વધુ થાય છે.
કારણ : આપેલા લેન્સ માટે લાલ રંગના પ્રકાશની કેન્દ્રલંબાઈ, જાંબલી રંગના પ્રકાશ કરતાં વધુ હોય છે. (2011)
(A) a
(B) b
(C) c
(D) d
જવાબ
(A) a
પ્રશ્ન 313.
વિધાન : સૂક્ષ્મદર્શક વડે પ્રતિબિંબ મોટું મળે છે.
કારણ : સૂક્ષ્મદર્શકમાં રહેલા પદાર્થની સાપેક્ષે તેના પ્રતિબિંબનું કોણીય વિવર્ધન વધુ હોય છે. (2011 M)
(A) a
(B) b
(C) c
(D) d
જવાબ
(A) a
પ્રશ્ન 314.
વિધાનઃ બહિર્ગોળ અરીસા વડે મળતી પ્રતિબિંબની મોટવણી હંમેશાં ધન હોય છે, 
જ્યારે અંતર્ગોળ અરીસા વડે મળતા પ્રતિબિંબની મોટવણી ધન તેમજ ઋણ પણ હોઈ શકે.
કારણ : આપણે પસંદ કરેલી સંજ્ઞા પદ્ધતિ પર આધાર રાખે છે. (2011 M)
(A) a
(B) b
(C) c
(D) d
જવાબ
(B) b
પ્રશ્ન 315.
એક ગોળાકાર અરીસા વડે વસ્તુનું ત્રણ ગણું મોટું અને ચત્તું પ્રતિબિંબ રચે 
છે. જો આ વસ્તુ અને પ્રતિબિંબ વચ્ચેનું અંતર 100 cm હોય તો અરીસાની 
કેન્દ્રલંબાઈ ………………….
(A) 15 cm
(B) 25 cm
(C) 37.5 cm
(D) -37.5 cm
જવાબ
(D) -37.5 cm
m = 
∴ 3 = 
∴ v = 3u
હવે, u + v = 100
∴ u + 3u = 100
∴ 4u = 100
∴ u = 25 cm
∴ હવે, m = 
3 = 
∴ 3 = 
∴35 – 75 = f
∴ 2f = – 75
∴ f = – 37.5 cm
પ્રશ્ન 316.
સમતલ અરીસાની કેન્દ્રલંબાઈ ………………….. હોય છે. (Mock Test – 2006)
(A) શૂન્ય
(B) અનંત
(C) 1
(D) વક્રતાત્રિજ્યા જેટલી
જવાબ
(B) અનંત
પ્રશ્ન 317.
એક સમબાજુ પ્રિઝમ પર એક પ્રકાશકિરણ લંબરૂપે એક બાજુ પર આપાત થાય છે. જો પ્રિઝમના દ્રવ્યનો વક્રીભવનાંક 1.5
હોય તો વિચલન કોણ …………………… હશે.(Mock Test – 2006)
(A) 30°
(B) 60°
(C) 45°
(D) 75°
જવાબ
(C) 45°
પ્રશ્ન 318.
કિરણનો રંગ કયા ગુણને આભારી છે. (2006)
(A) આવૃત્તિ
(C) કંપવિસ્તાર
(B) વેગ
(D) તરંગલંબાઈ
જવાબ
(A) આવૃત્તિ
પ્રશ્ન 319.
માધ્યમનો ક્રાંતિકોણ 60 છે. આથી આ માધ્યમનો વક્રીભવનાંક કેટલો ? (2006)
(A) √3
(B) 
(C) 
(D) 
જવાબ
(C) 
n = 
n = 
n = 
પ્રશ્ન 320.
જેની શૂન્યાવકાશમાં તરંગલંબાઈ λ હોય તેવું એકરંગી પ્રકાશનું કિરણ 
શૂન્યાવકાશમાંથી μ જેટલા વક્રીભવનાંક ધરાવતા માધ્યમમાં ગતિ કરે છે, તો આપાત
 અને વક્રીભૂત તરંગની તરંગલંબાઈનો ગુણોત્તર ……………………… (2007)
(A) 1 : μ
(B) μ : 1
(C) 1 : 1
(D) μ2 : 1
જવાબ
(B) μ : 1
μ = 
∴ λ0 : λ = μ : 1
પ્રશ્ન 321.
અંતર્ગોળ અરીસાની સામે 40 cm અંતરે વસ્તુ મૂકવામાં આવે છે અને અરીસાની કેન્દ્રલંબાઈ 20 cm છે, તો પ્રતિબિંબ કેવું મળે ? (2007)
(A) આભાસી અને ઊલટું
(B) વાસ્તવિક અને ચત્તું
(C) વાસ્તવિક, ઊલટું અને તે જ સાઇઝનું
(D) વાસ્તવિક, ઊલટું અને નાનું
જવાબ
(C) વાસ્તવિક, ઊલટું અને તે જ સાઇઝનું
અહીં, f = 
પ્રશ્ન 322.
f કેન્દ્રલંબાઇવાળા બહિર્ગોળ અરીસાના ધ્રુવથી f અંતરે આ અરીસાની સામે 
વાસ્તવિક વસ્તુ મૂકતાં તેનું પ્રતિબિંબ બહિર્ગોળ અરીસાના ધ્રુવથી …………………… 
અંતરે મળે. (2009)
(A) 
(B) 
(C) 2f
(D) 4f
જવાબ
(A) 
બહિર્ગોળ અરીસા માટે f ધન

પ્રશ્ન 323.
1.732 વક્રીભવનાંકવાળા પ્રિઝમ માટે લઘુતમ વિચલન કોણનું મૂલ્ય આપેલ પ્રિઝમના
 પ્રિઝમકોણ જેટલું હોય, તો તે પ્રિઝમકોણનું મૂલ્ય કેટલું ? (2009)
(A) 60°
(B) 70°
(C) 50°
(D) એક પણ નહીં
જવાબ
(A) 60°

પ્રશ્ન 324.
બહિર્ગોળ લેન્સને જેનો વક્રીભવનાંક લેન્સના દ્રવ્યના વક્રીભવનાંક જેટલો છે 
તેવા પ્રવાહીમાં ડુબાડવામાં આવે છે. આથી તેની કેન્દ્રલંબાઈ ………………….. 
(2009)
(A) શૂન્ય થશે.
(B) વધશે.
(C) ઘટશે.
(D) અનંત થશે.
જવાબ
(D) અનંત થશે.
યાદીમાં કેન્દ્રલંબાઈ 
પણ ng = nL છે.
∴ 
પ્રશ્ન 325.
ટેલિસ્કોપની વિવર્ધનશક્તિ m છે. જો આઇપીસની કેન્દ્રલંબાઈ અડધી કરવામાં આવે તો તેની વિવર્ધનશક્તિનું મૂલ્ય ………………….. થશે. (2010)
(A) 
(B) 4m
(C) 2m
(D) 
જવાબ
(C) 2m
ટેલિસ્કોપની વિવર્તનશક્તિ (મોટવણી) m = 
જો f’e = 
m’ = 
∴ m’ = 2m ∴ બમણી થાય.
પ્રશ્ન 326.
સમતલ અરીસાની મોટવણી (magnification) m = ………………….. છે. (2010)
(A) શૂન્ય
(B) અનંત
(C) -1
(D) +1
જવાબ
(D) +1
સમતલ અરીસાની કેન્દ્રલંબાઈ અનંત છે.

પ્રતિબિંબ ચત્તું જ મળે, તેથી મોટવણી સમાન ધન મળે.
પ્રશ્ન 327.
એક પારદર્શક પ્લાસ્ટિક બેગમાં હવા ભરતાં તે અંતર્ગોળ લેન્સ બને છે. હવે આ 
બેગને પાણીમાં સંપૂર્ણ ડુબાડતાં તે ……………………. તરીકે વર્તે છે. (2011)
(A) અપસારી લેન્સ
(B) અભિસારી લેન્સ
(C) સમબાજુ પ્રિઝમ
(D) લંબચોરસ સ્લૅબ
જવાબ
(B) અભિસારી લેન્સ
પ્રશ્ન 328.
ટેબલ ઉપરની શાહી (ink)ના ડાઘ પર એક માઇક્રોસ્કોપને કેન્દ્રિત કરવામાં આવે 
છે. હવે આ ડાઘ પર 3 cm જાડાઈનો કાચનો સ્લેબ મૂકવામાં આવે છે, તો 
માઇક્રોસ્કોપને આ શાહીના ડાઘ પર કેન્દ્રિત કરવા કેટલું ખસેડવું પડે ? કાચનો
 વક્રીભવનાંક 1.5 છે. (2011)
(A) 2 cm ઉપર તરફ
(B) 2 cm નીચે તરફ
(C) 1 cm ઉપર તરફ
(D) 1 cm નીચે તરફ
જવાબ
(C) 1 cm ઉપર તરફ

∴ hi = 2 cm
∴ માઇક્રોસ્કોપને કેન્દ્રિત કરવા 3 cm – 2 cm = 1 cm ઉપર તરફ ખસેડવું પડે.
પ્રશ્ન 329.
બે સમાન બહિર્ગોળ સમતલ લેન્સને આકૃતિમાં દર્શાવ્યા પ્રમાણે એકબીજાના 
સંપર્કમાં રાખવામાં આવે છે, તો ત્રણેય સંયોજનની કેન્દ્રલંબાઈનો ગુણોત્તર 
………………… છે. (2008, 2011)

(A) 2 : 2 : 1
(B) 1 : 1 : 1
(C) 1 : 2 : 2
(D) 2 : 1 : 1
જવાબ
(B) 1 : 1 : 1

દરેક બહિર્ગોળ સમતલ લેન્સની કેન્દ્રલંબાઈ
આકૃતિ-1 ની સમતુલ્ય કેન્દ્રલંબાઈ, f1 = 
આકૃતિ-2 ની સમતુલ્ય કેન્દ્રલંબાઈ, f2 = 
આકૃતિ-3 ની સમતુલ્ય કેન્દ્રલંબાઈ, f3 = 
f1 : f2 : f3 = 1 : 1 : 1
∴ દરેકની સમતુલ્ય કેન્દ્રલંબાઈ = 
પ્રશ્ન 330.
A પ્રિઝમકોણવાળા પ્રિઝમના દ્રવ્યનો વક્રીભવનાંક n = cot 
(A) π – A
(B) π – 2A
(C) π – 
(D) π – 4A
જવાબ
(B) π – 2A

∴ 180° – A = A + δm
∴ δm = 180° – 2A અથવા δm = π – 2A
પ્રશ્ન 331.
(A) 4 cm
(B) 6 cm
(C) 8 cm
(D) 10 cm
જવાબ
(B) 6 cm

∴ f = -6 cm
આમ, કેન્દ્રલંબાઈ = f = 6 cm
પ્રશ્ન 332.
પાણીનો હવાની સાપેક્ષે વક્રીભવનાંક છે. કાચનો હવાની સાપેક્ષે વક્રીભવનાંક 
(A) 
(B) 
(C) 2
(D) 
જવાબ
(A) 
n31 = કાચનો હવાની સાપેક્ષમાં વક્રીભવનાંક
n32 = કાચનો પાણીની સાપેક્ષમાં વક્રીભવનાંક
n21 = પાણીનો હવાની સાપેક્ષમાં વક્રીભવનાંક
n31 = n32 × n21 = 
પ્રશ્ન 333.
અંતર્ગોળ અરીસાની કેન્દ્રલંબાઈ શોધવાના પ્રયોગમાં v → u નો આલેખ દોરવામાં આવે તો, નીચેનામાંથી કયો આલેખ સાચો ? (2013)

જવાબ

f = 
∴ f = uv ⇒ u અને v એકબીજાનાં વ્યસ્ત પ્રમાણમાં છે.
માટે v → u નો આલેખ પરવલય હોય એટલે કે, વિકલ્પ (A) સાચો છે.
પ્રશ્ન 334.
આકૃતિમાં દર્શાવ્યા મુજબ પ્રિઝમની સપાટી AB પર કોઈ એક પ્રકાશનું કિરણ 
લંબરૂપે આપાત થાય છે. n વક્રીભવનાંકવાળું પ્રવાહી સપાટી AC પર રહેલું છે. 
પ્રિઝમના દ્રવ્યનો વક્રીભવનાંક √3 છે. વક્રીભવનાંક n ના કયા મર્યાદિત મૂલ્ય
 માટે સપાટી AC વડે પૂર્ણ આંતરિક પરાવર્તનની ઘટના બને ? (2013)

(A) n > √3
(B) n < 
જવાબ
(B) n < 
ધારો કે, પ્રવાહીનો વક્રીભવનાંક nliq = x છે.
પ્રવાહીની સાપેક્ષે પ્રિઝમનો વક્રીભવનાંક,

પ્રશ્ન 335.
આંખની ખામી કે જેમાં એક સમતલમાં રહેલ વસ્તુને સ્પષ્ટ રીતે જોઈ શકાય છે, 
પરંતુ બીજા સમતલમાં રહેલી વસ્તુને નહીં, તેને …………………… કહે છે. (2013)
(A) વિકૃતિ
(B) એસ્ટિગ્નેટિઝમ
(D) ગુરુદૃષ્ટિ (હાઇપરમાયોપિયા)
(C) લઘુદૃષ્ટિ (માયોપિયા)
જવાબ
(B) એસ્ટિગ્નેટિઝમ
પ્રશ્ન 336.
રામન પ્રકીર્ણનમાં જોવા મળતી એન્ટિસ્ટોક્સ વર્ણપટ રેખાઓ …………………….. આવૃત્તિ અને …………………… તરંગલંબાઈની હોય છે. (2014)
(A) ઓછી, વધારે
(B) વધારે, વધારે
(C) ઓછી, ઓછી
(D) વધારે, ઓછી
જવાબ
(D) વધારે, ઓછી
પ્રશ્ન 337.
4.5 m ઊંડાઈ ધરાવતી ટાંકી પાણી વડે સંપૂર્ણપણે ભરેલી છે, તો સૂર્યપ્રકાશને 
ટાંકીના તળિયા સુધી પહોંચતાં લાગતો સમય …………………. ns. (પાણીનો વક્રીભવનાંક 
(A) 2
(B) 1.5
(C) 20
(D) 200
જવાબ
(C) 20
n = 
∴ t = 
= 
∴ t = 20 × 10-9 સેકન્ડ = 20 ns
પ્રશ્ન 338.
આકૃતિમાં દર્શાવ્યા પ્રમાણે એક સમતલ-અંતર્ગોળ લેન્સને સમતલ-બહિર્ગોળ લેન્સ 
બરાબર બંધ બેસે તેમ મૂકેલો છે. તેમની સમતલ સપાટી પરસ્પર સમાંતર છે. જો આ 
લેન્સના દ્રવ્યના વક્રીભવનાંક અનુક્રમે 1.6 અને 1.5 હોય તથા વક્રતાત્રિજ્યા
 R હોય, તો આ સંયોજનની કેન્દ્રલંબાઈ …………………. છે. (2014)

(A) 
(B) 
(C) 
(D) 
જવાબ
(D) 

પ્રશ્ન 339.
1.6 વક્રીભવનાંકવાળા માધ્યમ A માંથી પ્રકાશનું એક કિરણ 1.5 વક્રીભવનાંકવાળા
 માધ્યમ B તરફ જાય છે. તો માધ્યમ A ના ક્રાંતિકોણનું મૂલ્ય ………………….. . 
(2015)
(A) sin-1(
(B) sin-1(
(C) sin-1
(D) sin-1(
જવાબ
(D) sin-1(
માધ્યમ B ની સાપેક્ષે માધ્યમ A નો વક્રીભવનાંક,
nAB = 
sin C = 
∴ C = sin-1(
પ્રશ્ન 340.
1.5 વક્રીભવનાંકવાળા પ્રિઝમ માટે લઘુતમ મૂલ્ય વિચલનકોણનું આપેલ પ્રિઝમના 
પ્રિઝમકોણ જેટલું હોય તો, પ્રિઝમકોણ ………………….. છે. (sin48°36′ = 0.75) 
(2015)
(A) 41°24′
(B) 60°
(C) 80°
(D) 82°48′
જવાબ
(D) 82° 48′

પ્રશ્ન 341.
સમતલ અરીસાના પાવરનું મૂલ્ય …………………. (2015)
(A) ∞
(B) 2D
(C) 0
(D) 4D
જવાબ
(C) 0
સમતલ અરીસાના પાવરનું મૂલ્ય, P = 
પ્રશ્ન 342.
પ્રકાશનું કિરણ પ્રકાશીય પાતળા માધ્યમમાંથી પ્રકાશીય ઘટ્ટ માધ્યમમાં દાખલ 
થાય ત્યારે તેનો વેગ …………………. માં ફેરફાર થવાથી ઘટે છે. (2015)
(A) આવૃત્તિ
(B) કંપવિસ્તાર
(C) તરંગલંબાઈ
(D) કળા
જવાબ
(C) તરંગલંબાઈ
પ્રશ્ન 343.
જો પ્રકાશને પ્રકેરિત કરતા કણોનું પરિમાણ આપાત પ્રકાશની તરંગ લંબાઈ કરતા 
ઓછું હોય તો તેવા પ્રકીર્ણનને ……………………. પ્રકીર્ણન કહે છે. (2016)
(A) ડિફ્યૂઝ્ડ
(B) રામન
(C) મી
(D) રેલે
જવાબ
(D) રેલે
પ્રશ્ન 344.
લાલ અને જાંબલી રંગના પ્રકાશના કિરણો માટે કોઈ લેન્સની કેન્દ્રલંબાઈઓ અનુક્રમે fR અને fV、 હોય તો નીચેનામાંથી કયો સંબંધ સાચો ? (2016)
(A) fR ≥ fV
(B) fR > fV
(C) fR = f V
(D) fR < fV
જવાબ
(B) fR > fV

∴ fV < fR
∴ fR > fV
પ્રશ્ન 345.
4 cm જાડાઈના ચોસલામાંથી સૂર્યપ્રકાશને પસાર થતાં લાગતો સમય …………………….. 
સેકન્ડ હશે. ચોસલાના દ્રવ્યનો વક્રીભવનાંક 1.5 છે. (2017, 2019)
(A) 2 × 10-8
(B) 2 × 10-10
(C) 2 × 108
(D) 2 × 1010
જવાબ
(B) 2 × 10-10
n = 
∴ n = 
∴ t = 
∴ t = 2 × 10-10 s
પ્રશ્ન 346.
12.5.cm કેન્દ્રલંબાઈ ધરાવતો બહિર્ગોળ લેન્સનો સાદા માઇક્રોસ્કોપ તરીકે 
ઉપયોગ કરવામાં આવે છે. જ્યારે વસ્તુનું પ્રતિબિંબ અનંત અંતરે મળે ત્યારે 
મોટવણી …………………. થશે.
સામાન્ય દષ્ટિ માટે નજીકબિંદુ અંતર 25 cm લો. (2017)
(A) 2.5
(B) 1.0
(C) 2
(D) 25
જવાબ
(C) 2
સાદા માઇક્રોસ્કોપની મોટવણી m = 
અહીં D = 25 cm, f = 12.5 cm ∴ m = 
પ્રશ્ન 347.
રેલે – પ્રકીર્ણનમાં આપાત પ્રકાશની તરંગલંબાઈ 8000 Å થી ઘટાડી 4000 Å કરતા 
પ્રકેરિત પ્રકાશની તીવ્રતા, પ્રારંભમાં પ્રકેરિત પ્રકાશની તીવ્રતા કરતા 
………………….. ગણી થશે. (2018)
(A) 2
(B) 4
(C) 16
(D) 8
જવાબ
(C) 16
I = 
∴ I2 = I1× (
I1 × (2)4 = 16 I1
પ્રશ્ન 348.
f1 અને f2 કેન્દ્રલંબાઈવાળા બે પાતળા લેન્સને એક જ અક્ષ પર સંપર્કમાં ગોઠવવામાં આવે તો બનતા સંયુક્ત લેન્સનો
પાવર………………… થાય. (Mock Test 2006, 2008, 2018)
(A) 
(B) 
(C) 
(D) 
લેન્સના સંયુક્ત જોડકાની કેન્દ્રલંબાઈ 
∴ સંયોજનનો પાવર P = 
પ્રશ્ન 349.
1.6 વક્રીભવનાંક ધરાવતા એક નાના પ્રિઝમકોણવાળા પ્રિઝમ વડે 3.6° વિચલન મળતું હોય, તો પ્રિઝમકોણ …………………… છે. (2018)
(A) 7°
(B) 6°
(C) 5°
(D) 8°
જવાબ
(B) 6°
δ = A(n – 1)
∴ A = 
પ્રશ્ન 350.
1.5 વક્રીભવનાંકવાળા સમતલ-બર્હિગોળ લેન્સની વક્રસપાટીની વક્રતા ત્રિજ્યા 60 cm, હોય તો તેની કેન્દ્રલંબાઈ ………………………. cm છે. (2018)
(A) -60
(B) 120
(C) 60
(D) -120
જવાબ
(B) 120
= (1.5 – 1) [latex]\frac{1}{\infty}-\frac{1}{-60}[/latex]
R1 = ∞, R2 = -60 cm
= 0.5 × 
∴ f = 
પ્રશ્ન 351.
1.5 જેટલો વક્રીભવનાંક ધરાવતા પાતળા લેન્સની કેન્દ્રલંબાઈ 15 cm છે. જ્યારે 
(A) 80.31
(B) 50
(C) 78.23
(D) 60
જવાબ
(D) 60
પ્રવાહીમાં કેન્દ્રલંબાઈ = 4 × હવામાં કેન્દ્રલંબાઈ
= 4 × 15 = 60 cm
પ્રશ્ન 352.
જો એસ્ટ્રોનોમિકલ ટેલિસ્કોપની યૂટ્યૂબ લંબાઈ 96 cm અને સામાન્ય સ્થિતિમાં 
મોટવશક્તિ 15 હોય, તો ઑબ્જેક્ટિવની કેન્દ્રલંબાઈ ………………… cm. (2019)
(A) 100
(B) 90
(C) 105
(D) 92
જવાબ
(B) 90
m =
fe =
96 = f0 + 
f0 = 
પ્રશ્ન 353.
પૃથ્વીને પોતાની ધરીને અનુલક્ષીને એક પરિભ્રમણ કરતાં 24 કલાક લાગે છે. 
પૃથ્વી પરથી સૂર્યને જોતાં તેની 1° જેટલી શીફ્ટ માટે તેને કેટલો સમય લાગશે ?
 (2020), (ઑગષ્ટ 2020)
(A) 4 min.
(B) 4 hrs.
(C) 4 sec.
(D) 24 hrs.
જવાબ
(A) 4 min.
પૃથ્વીને પોતાની ધરીને અનુલક્ષીને એક પરિભ્રમણ કરતાં 360° જેટલું સ્થાનાંતર (શિફ્ટ) થાય.
∴ 360° જેટલું શિફ્ટ થતાં લાગતો સમય = 24 કલાક, તો 1° જેટલું શિફ્ટ થતાં લાગતો સમય = (?)
= 4 મિનિટ
પ્રશ્ન 354.
કાચના લેન્સ માટે f = +50cm હોય તો લેન્સનો પાવર ………………… છે. (2020)
(A) +0.02D
(B) – 2D
(C) + 2D
(D) – 0.02D
જવાબ
(C) + 2D
કેન્દ્રલંબાઈ ધન આપેલ છે, તેથી બહિર્ગોળ લેન્સ છે.
લેન્સનો પાવર,
P = 
∴ P = + 2D
કાચના લેન્સ માટે f = – 0.2 m હોય તો, લેન્સનો પાવર કેટલો હશે ? (જવાબ P = + 5D)
પ્રશ્ન 355.
કોઈ પ્રવાહીની અંદર એક લેન્સ (n = 1.5)ને અદૃશ્ય કરવા માટે તે પ્રવાહનો વક્રીભવનાંક ………………….. હોવો જોઈએ. (2020)
(A) n < 1.5 (B) n = 1.5 (C) n > 1.5
(D) કોઈ પણ n
જવાબ
(B) n = 1.5
પાઠ્યપુસ્તક પ્રકરણ નં. 9 ના ઉદાહરણનો દાખલા નં. 9.7 જેવો. પ્રવાહીના 
વક્રીભવનાંક જેટલો જ વક્રીભવનાંક ધરાવતાં દ્રવ્યના લેન્સને તે પ્રવાહીમાં 
મૂકતાં તે લેન્સ અદૃશ્ય થાય. તેથી પ્રવાહીનો વક્રીભવનાંક= લેન્સના દ્રવ્યનો
 વક્રીભવનાંક. = 1.5
પ્રશ્ન 356.
અંતર્ગોળ અરીસાના અક્ષ પર ધ્રુવ અને કેન્દ્ર વચ્ચે રાખેલી વસ્તુનાં પ્રતિબિંબનો પ્રકાર કેવો હશે ? (2020)
(A) વાસ્તવિક, ઊલટું અને નાનું
(B) આભાસી, સીધું અને નાનું
(C) વાસ્તવિક, ઊલટું અને મોટું
(D) આભાસી, સીધું અને મોટું
જવાબ
(D) આભાસી, સીધું અને મોટું
આ પ્રશ્નમાં કેન્દ્રનો ઉલ્લેખ નથી કે તે મુખ્ય કેન્દ્ર છે કે વક્રતા 
કેન્દ્ર ? તેથી અહીં કેન્દ્રને મુખ્ય કેન્દ્ર તરીકે ગણતાં ઉપરનો વિકલ્પ 
સાચો આવે. તેથી (D) ન મૂકી શકાય.
પ્રશ્ન 357.
ઓપ્ટિકલ ફાઇબરમાં ગર્ભના દ્રવ્યનો વક્રીભવનાંક આવરણના દ્રવ્યના વક્રીભવનાંક …………………….. હોય છે.(માર્ચ 2020)
(A) કરતાં નાનો
(B) જેટલો
(C) કરતાં મોટો
(D) થી અડધો
જવાબ
C) કરતાં મોટો
પ્રશ્ન 358.
કણનું પરિમાણ α પ્રકાશની તરંગલંબાઈ λ હોય, તો α < < λ માટે પ્રકીર્ણનની માત્રા ……………………. ના સમપ્રમાણમાં હોય છે. (માર્ચ 2020)
(A) λ4
(B) λ2
(C) 
(D) 
જવાબ
(C) 
પ્રશ્ન 359.
સંયુક્ત માઇક્રોસ્કોપ માટે f0 = 1cm,fe =2cm અને ટ્યૂબલેન્થ 20 cm હોય તો કુલ મોટવણી m = ……………….. (ઑગષ્ટ 2020)
(C) 250
(D) 20
(A) 2.5
(B) 200
જવાબ
(C) 250
m = m0me = (
(
= 250
પ્રશ્ન 360.
લેન્સ પાવરનું પારિમાણિક સૂત્ર ………………. .(ઑગષ્ટ 2020)
(A) M0 L-1 T0
(B) M0 L1 T0
(C) M1 L2 T-3
(D) M1 L-1 T-1
જવાબ
(A) M0 L-1 T0
લેન્સ પાવર,
P = 
∴ [P] = 
= 
પ્રશ્ન 361.
15 cm વક્રતા ત્રિજ્યા ધરાવતા અંતર્ગોળ અરીસાની સામે 10 cm અંતરે મૂકેલ વસ્તુના પ્રતિબિંબની મોટવણી ………………………. હશે. (ઑગષ્ટ 2020)
(A) 3
(B) –
(C) -3
(D) 
જવાબ
(C) – 3
અહીં અંતર્ગોળ અરીસો
∴ કેન્દ્રલંબાઈ f = 
(i) વસ્તુઅંતર u = – 10 cm
∴ અરીસાના સમીકરણ 
∴ 
= 
∴ 
∴ v = -30 cm
∴ અરીસાની સામે તેનાથી 30 cm દૂર પ્રતિબિંબ મળે.
મોટવણી m = 
મોટવણી ઋણ હોવાથી પ્રતિબિંબ વાસ્તવિક, ઊલટું અને મોટું મળે છે.


0 Comments