GSEB Std 12 Physics MCQ
Chapter 3 પ્રવાહ વિદ્યુત
પ્રશ્ન 1.
વિદ્યુતપ્રવાહ એ ………………….. છે.
(A) અદિશ રાશિ
(B) સદિશ રાશિ
(C) સાધિત રાશિ
(D) માત્ર સંખ્યા
જવાબ
(A) અદિશ રાશિ
પ્રશ્ન 2.
વિદ્યુતપ્રવાહ ઘનતા …………………………. છે.
(A) સદિશ રાશિ
(B) અદિશ રાશિ
(C) મૂળભૂત રાશિ
(D) નો એકમ Am-1 છે.
જવાબ
(A) સદિશ રાશિ
પ્રશ્ન 3.
એમ્પિયર X સેકન્ડ ……………………… દર્શાવે છે.
(A) જૂલ
(B) વોલ્ટ
(C) કુલંબ
(D) અવરોધ
જવાબ
(C) કુલંબ
પ્રશ્ન 4.
વિદ્યુતપ્રવાહ ઘનતાનો એકમ ……………………… છે.
(A) Am
(B) Am-1
(C) Am-2
(D) AC-1
જવાબ
(C) Am-2
પ્રશ્ન 5.
એક ઇલેક્ટ્રોન વર્તુળાકાર પથ પર એક સેકન્ડમાં 25 પરિભ્રમણ કરે છે, તો પથના કોઈ બિંદુ આગળથી 10 sec માં પસાર થતો વિધુતભાર કેટલો થાય ?
(A) 4 × 1020 C
(B) 4 × 10-19 C
(C) 4 × 10-18
(D) 4 × 10-17 C
જવાબ
(D) 4 × 10-17 C
Q = fet = 25 × 1.6 × 10-19 × 10
= 4 × 10-17 C
પ્રશ્ન 6.
એક તારમાંથી વહેતો પ્રવાહ સમય સાથે I = (3 + 2t) સૂત્ર મુજબ બદલાય છે, તો t
= 0 થી t = 4s ના સમયગાળા દરમિયાન તારના કોઈ પણ આડછેદમાંથી પસાર થતો
વિધુતભાર ……………………. C હશે.
(B) 24
(C) 28
(D) 14
(A) 20
જવાબ
(C) 28
I =
∴ dQ = Idt
∴ ∫dQ = ∫Idt
∴ Q =
=
= 3 × 4 + 16
∴ Q = 12 + 16 = 28 C
પ્રશ્ન 7.
કોઈ એક વાહકમાંથી પસાર થતો વિધુતભાર
Q = 5t2 + 3t + 1 છે. જ્યાં t સમય છે તો t = 5 સેકન્ડે પ્રવાહનું મૂલ્ય ………………….. હશે
(A) 9 A
(B) 49 A
(C) 53 A
(D) એકપણ નહિ
જવાબ
(C) 53 A
I =
I = 53 A
પ્રશ્ન 8.
2 × 10-2 C મૂલ્યનો વીજભાર 80 cm વ્યાસના વર્તુળાકાર માર્ગ પર 30 પરિભ્રમણ/સેકન્ડના દરથી પરિભ્રમણ કરતો હોય તો, રચાતો વીજપ્રવાહ ગણો.
(A) 0.02 A
(B) 20 A
(C) 0.60 A
(D) 60 A
જવાબ
(C) 0.60 A
ω = 30 પરિભ્રમણ/સેકન્ડ = 60 π rad/s
I =
∴ I =
= 60 × 10-2 A = 0.6 A
પ્રશ્ન 9.
0.7 A વિધુતપ્રવાહનું વહન કરતા વાહકતારના કોઈ પણ આડછેદમાંથી 2 સેકન્ડમાં
કેટલા ઇલેક્ટ્રોન પસાર થતાં હશે ? ઇલેક્ટ્રોનનો વિધુતભાર 1.6 × 10-19 C
(A) 4.4 × 1018
(B) 4.4 × 10-18
(C) 8.8 × 1018
(D) 8.8 × 10-18
જવાબ
(C) 8.8 × 1018
I =
∴ n =
= 0.875 × 1019
n ≈ 8.8 × 1018
પ્રશ્ન 10.
એક વાહકતારમાંથી 30 કુલંબ જેટલો વિદ્યુતભારનો જથ્થો 10 મિનિટ માટે પસાર થાય છે, તો તે વાહકમાંથી …………………….. A પ્રવાહ વહેતો હશે.
(A) 3
(B) 0.5
(C) 0.05
(D) 0.3
જવાબ
(C) 0.05
I =
=
પ્રશ્ન 11.
હાઇડ્રોજન પરમાણુમાં ઇલેક્ટ્રોન 5.3 × 10-11 m ત્રિજ્યાની વર્તુળાકાર કક્ષામાં અચળ ઝડપ 2.2× 106 ms-1 થી ગતિ “કરે છે, તો તેના વડે રચાતો પ્રવાહ ……………………..
(A) 1.12 A
(B) 1.06 mA
(C) 1.06 A
(D) 1.12 mA
જવાબ
(B) 1.06 mA
ઇલેક્ટ્રૉનની ગતિને કારણે રચાતો પ્રવાહ = I =
∴ I =
=
=
= 0.106 × 10-2 = 1.06 mA
પ્રશ્ન 12.
પોતાના પરિઘ પર λ જેટલી રેખીય વિધુતભારઘનતા ધરાવતી R ત્રિજ્યાની એક રિંગ
તેના સમતલને લંબ એવી અક્ષને અનુલક્ષીને છ જેટલી કોણીય ઝડપથી ભ્રમણ કરતી
હોય, તો આ રીતે કેટલા વિદ્યુતપ્રવાહનું નિર્માણ થાય ?
(A) Rωλ
(B) R2ωλ
(C) Rω2λ
(D) Rωλ2
જવાબ
(A) Rωλ
રિંગ પ૨ જમા થયેલા વીજભારની રેખીય ઘનતા = λ
∴ રિંગ પરનો કુલ વીજભાર = Q = λL
Q = λ(2πR)
રિંગ ω જેટલી કોણીય ઝડપથી ભ્રમણ કરતી હોવાને કારણે રચાતો વિદ્યુતપ્રવાહ ધારો કે I છે.
I =
=
= Rωλ T =
પ્રશ્ન 13.
1 μA પ્રવાહવાળી પ્રોટોન કિરણાવલીના આડછેદનું ક્ષેત્રફળ 0.5 mm2 છે. અને તે 3 × 104 m/s ના વેગથી ગતિ કરે છે તો તેના પરથી વિધુતભારની ઘનતા ……………………. છે.
(A) 6.6 × 10-4 C/m3
(B) 6.6 × 10-5 C/m3
(C) 6.6 × 10-6 C/m3
(D) એક પણ નહિ
જવાબ
(B) 6.6 × 10-5 C/m3
વિદ્યુતભારઘનતા

ρ = 0.66 × 10-4 C/m3
∴ ρ ≈ 6.6 × 10-5 C/m3
પ્રશ્ન 14.
તાંબાના તારમાં પ્રવાહઘનતા 2.5 × 108 Am-2 છે. જો તેમાંથી 8A પ્રવાહ વહેતો હોય, તો તારનો વ્યાસ …………………..
(A) 0.2 mm
(B) 0.2 cm
(C) 0.2 m
(D) 2 mm
જવાબ
(A) 0.2 mm

∴ r = 1.009 × 10-4 m
∴ r ≈ 1 × 10-4 m
∴ વ્યાસ D ≈ 2 × 10-4 m = 2 × 10-2 cm = 0.02 cm = 0.2 mm
પ્રશ્ન 15.
વાહકના આડછેદમાંથી t સમયે પસાર થતો વિધુતભારનો જથ્થો Q = B’ + A’t2 છે, તો t = 10 સેકન્ડે વિધુતપ્રવાહ કેટલો થશે ? (A’ અને B’ અચળાંકો છે.)
(A) 5 A’
(B) 10 A’
(C) 20 A’
(D) 40 A’
જવાબ
(C) 20 A’
I =
∴ I = 0 + 2A’t
∴ I = 2A’ × 10 = 20 A’
પ્રશ્ન 16.
એક તારમાંથી વહેતો વિધુતપ્રવાહ સમય સાથે I = I0 + αt સૂત્ર મુજબ બદલાય છે. જ્યાં I0 = 20A અને
α = 3As-1 છે. તો તારના કોઈ આડછેદમાંથી પ્રથમ 10 સેકન્ડમાં પસાર થતો વિધુતભાર શોધો.
(A) 300 C
(B) 350 C
(C) 200 C
(D) 150 C
જવાબ
(B) 350 C

∴ Q = (200 + 150) = 350 C
પ્રશ્ન 17.
દરેક અવરોધમાંથી પસાર થતા વિધુતભાર Q, સમય t સાથે Q = at – bt2 અનુસાર બદલાય છે, તો અવરોધ R માં મહત્તમ પ્રવાહ હશે ત્યારે t = …………………
(A)
(B)
(C)
(D)
જવાબ
(A)
Q = at – bt2
I =
I = a – 2bt
અવરોધ R માં મહત્તમ પ્રવાહ માટે
∴ 0 = at – 2bt ∴ t =
પ્રશ્ન 18.
વાહકનો અવરોધ …………………. પર આધાર રાખે છે.
(A) માત્ર દ્રવ્યની જાત
(B) માત્ર વાહકના તાપમાન
(C) માત્ર વાહકના પરિમાણ
(D) આપેલા બધા
જવાબ
(D) આપેલા બધા
પ્રશ્ન 19.
દ્રવ્યની અવરોધકતા વાહકના …………………….. પર આધાર રાખતી નથી.
(A) તાપમાન
(B) દબાણ
(C) પરિમાણ
(D)દ્રવ્યની જાત
જવાબ
(C) પરિમાણ
પ્રશ્ન 20.
તાંબાના ત્રણ તારની લંબાઈ અને આડછેદનું ક્ષેત્રફળ (l, A), (2l,
(A)
(B) A ક્ષેત્રફળવાળા તારનો
(C) 2A ક્ષેત્રફળવાળા તારનો
(D) આપેલા ત્રણેયનો સમાન
જવાબ
(C) 2A ક્ષેત્રફળવાળા તારનો
અવરોધ R α l અને R α
પ્રશ્ન 21.
આલેખમાં દર્શાવેલ વક્રનો કયો ભાગ ઋણ અવરોધ દર્શાવે છે ?

(A) AB
(B) BC
(C) CD
(D) DE
જવાબ
(C) CD
પ્રશ્ન 22.
વાહક માટે ઓહ્મનો નિયમ ………………………. છે.
(A) V ∝ R
(B) V ∝ I
(C) I ∝ R
(D) V ∝
જવાબ
(B) V ∝ I
પ્રશ્ન 23.
વાહકના ઓમિક અવરોધનું મૂલ્ય …………………. .(માર્ચ – 2020 જેવો)
(A) માત્ર V પર આધાર રાખે છે
(B) માત્ર I પર આધાર રાખે છે
(C) V અને I પર આધાર રાખે છે
(D) V અને I પર આધાર રાખતું નથી
જવાબ
(D) V અને I પર આધાર રાખતું નથી
પ્રશ્ન 24.
વાહકતાનો SI એકમ …………………… છે.
(A) Ωm
(B) Ω
(C) J
(D) Ωm-1
જવાબ
(D) Ωm-1
પ્રશ્ન 25.
3 × 10-7Ωm અવરોધકતાવાળા દ્રવ્યનો 1 cm × 1 cm × 100 cm પરિમાણવાળા બ્લોકની બંને લંબચોરસ સપાટીઓ વચ્ચેનો અવરોધ ………………………….
(A) 3 × 10-9 Ω
(B) 3 × 10-7 Ω
(C) 3 × 105 Ω
(D) 3 × 10-3 Ω
જવાબ
(C) 3 × 10-5Ω

ચોરસ આડછેદનું ક્ષેત્રફળ A = 1 × 100 cm2
= 100 cm2
= 10-2 m2
અવરોધ R =
= 3 × 10-5Ω
પ્રશ્ન 26.
એક તારનો વિશિષ્ટ અવરોધ ρ અને કદ 3m3 છે તથા અવરોધ 3Ω છે, તો તેની લંબાઈ ………………… હોય.
(A)
(B)
(C)
(D)
જવાબ
(B)
કદ V = ક્ષેત્રફળ A × લંબાઈ l

પ્રશ્ન 27.
વિદ્યુત અવરોધનો SI એકમ અને પારિમાણિક સૂત્ર …………………
(A) VA-1, M1 L2 T-2 A-3
(B) VA-1, M1L2 T-3 A-2
(C) V-1 A, M1L2 T-3 A-2
(D) VA, M1 L2 T-3 A-2
જવાબ
(B) VA-1, M1L2 T-3 A-2
પ્રશ્ન 28.
વાહકત્વનો SI એકમ અને પારિમાણિક સૂત્ર …………………
(A) Ʊ M1L2T-3A-2
(B) Ʊ M-1L-2T-3A-2
(C) Ω M-1 L-2 T3 A2
(D) S, M-1 L2 T3 A2
જ્યાં S = Siemen છે.
જવાબ
(D) S, M-1 L2 T3 A2

∴ G નો એકમ =
અને બીજો એકમ S = siemen છે.
અને પારિમાણિક સૂત્ર [G] =
પ્રશ્ન 29.
અવરોધકતાનો SI એકમ અને પારિમાણિક સૂત્ર ……………………….
(A) Ωm, M1 L2 T-3A-2
(B) Ωm, M1 L3 T-3 A-2
(C) Ωm-1, M1 L3 T-3A-2
(D) Ω-1m, M1 L3 T-3 A-2
જવાબ
(B) Ωm, M1 L3 T-3 A-2
અવરોધકતા ρ =
ρ નો એકમ =
અને પારિમાણિક સૂત્ર [ρ] =
= M1 L3 T-3 A-2
પ્રશ્ન 30.
વાહકતાનો SI એકમ જણાવો.
(Α) Ω
(B) Ʊ
(C) ΩΜ
(D) Siemen m-1
જવાબ
(D) Siemen m-1
પ્રશ્ન 31.
2.0 mm વ્યાસ અને 100 cm લંબાઈના તારનો અવરોધ 0.7Ω છે. તારની અવરોધકતા કેટલી થશે ?
(Α) 14.4 μΩΜ
(B) 2.2 μΩm
(C) 1.1 μΩΜ
(D) 0.22 μΩΜ
R =
ρ =
= 2.2 × 10-6 Ωm = 2.2 μΩm
પ્રશ્ન 32.
r ત્રિજ્યા ધરાવતા તારનો અવરોધ R છે. જો આ તારમાંથી 2 r ત્રિજ્યાવાળો નવો તાર બનાવવામાં આવે તો નવો અવરોધ ………………………. થશે.
(A)
(B)
(C) 2 R
(D) 4 R
જવાબ
(B)

પ્રશ્ન 33.
એક વાહકતારને વિધુતક્ષેત્ર 15 × 10-6 Vm-1 લાગુ પાડતા પ્રવાહ ઘનતા 3.0 Am-2 માલૂમ પડે છે, તો વાહકની
અવરોધકતા …………………….
(A) 45 × 10-6 Ωm
(B) 5 × 10-6 Ωm
(C) 0.5 × 10-6 Ωm
(D) 2 × 105 Ωm
જવાબ
(B) 5 × 10-6 Ωm
J = σE ⇒
∴ ρ =
પ્રશ્ન 34.
એકસરખા દ્રવ્યના એકસરખા દળના બે તારની લંબાઈનો ગુણોત્તર 1: 2 છે, તો તેના અવરોધોનો ગુણોત્તર…
(A) 1 : 1
(B) 1 : 2
(C) 2 : 1
(D) 1 : 4
જવાબ
(D) 1 : 4

પ્રશ્ન 35.
એક તારનો અવરોધ RΩ છે. જો તેની લંબાઈ ખેંચીને ચાર ગણી કરવામાં આવે, તો તેની અવરોધક્તા ………………………
(A) બમણી થશે.
(C) અડધી થશે.
(B) ચાર ગણી થશે.
(D) બદલાશે નહીં.
જવાબ
(D) બદલાશે નહીં.
તારની અવરોધકતા તેના દ્રવ્યની જાત પર આધાર રાખે છે. એક જ દ્રવ્યના તારની અવરોધકતા અચળ જ રહે.
પ્રશ્ન 36.
J = σE એ ……………………….. દર્શાવે છે.
(A) કુલંબનો નિયમ
(B) ઍમ્પિયરનો નિયમ
(C) ઓમનો નિયમ
(D) ગાઉસનો નિયમ
જવાબ
(C) ઓડ્મનો નિયમ
J = σE

પ્રશ્ન 37.
ધાતુના એક વાહકનું તાપમાન વધારતાં તેના દ્રવ્યની અવરોધક્તા અને વાહકતાનો ગુણાકાર ……………………………
(A) વધશે.
(B) ઘટશે.
(C) અચળ જળવાશે.
(D) વધે અથવા ઘટે.
જવાબ
(C) અચળ જળવાશે.
pσ = p ×
∴ અચળ જ જળવાઈ રહે.
પ્રશ્ન 38.
એક વાહકતારનું તાપમાન વધારવામાં આવે, તો તેની અવરોધકતા અને વાહકતાનો ગુણોત્તર …………………….
(A) ઘટે
(B) વધે
(C) અચળ રહે
(D) વધે અથવા ઘટે
જવાબ
(B) વધે
અવરોધકતાના વ્યસ્તને વાહકતા કહે છે.
હવે =
તેથી ρ વધે પરિણામે ρ2 પણ વધે.
પ્રશ્ન 39.
તાંબા અને મેંગેનીનના બે સમાન લંબાઈના તારના અવરોધો સમાન છે, તો કયો તાર જાડો હશે ?
(A) તાંબાનો
(B) મેંગેનીનનો
(C) બંનેની જાડાઈ સમાન હશે.
(D) ઉપરમાંથી એક પણ નહીં.
જવાબ
(B) મેંગેનીનનો
RMn > RCu
બંને તારની લંબાઈ સમાન છે અને અવરોધ સમાન જોઈતો હોય તો મૂંગેનીન તારનો અવરોધ ઓછો કરવા માટે તેનો જાડો તાર લેવો પડે.
તાંબા અને મૅગેનીનના તારનો અવરોધ અનુક્રમે
RCu =
પણ RCu = RM અને લંબાઈ સમાન હોવાથી ACu << AM
∴
∴ મેંગેનીનનો તાર જાડો હશે.
પ્રશ્ન 40.
જુદા-જુદા દ્રવ્યના બે તારોના વિશિષ્ટ અવરોધનો ગુણોત્તર 2 : 3, લંબાઈનો
ગુણોત્તર 3 : 4 અને આડછેદના ક્ષેત્રફળનો ગુણોત્તર 4 : 5 હોય, તો તેમના
અવરોધનો ગુણોત્તર ………………………. (Kerala PMT 2005)
(A) 6 : 5
(B) 6 : 8
(C) 5 : 8
(D) 1 : 2
જવાબ
(C) 5 : 8
R =
∴
=
∴
પ્રશ્ન 41.
એક અવરોધક તારને ખેંચીને તેની લંબાઈમાં 100 % નો વધારો કરવામાં આવે છે,
પરિણામે તારના વ્યાસમાં ઘટાડો થાય છે. ખેંચેલા તારના અવરોધમાં થતો ફેરફાર
……………………… હશે.
(A) 300 %
(B) 200 %
(C) 100 %
(D) 50 % જવાબ
(A) 300 %
- ધારો કે, અવરોધક તારની લંબાઈ l અને ક્ષેત્રફળ A છે.
R =ρl A - તારની નવી લંબાઈ l’ = l + 100 % l = 2l અને ક્ષેત્રફળ A’ છે.
R’ =ρl′A′
∴R′R=ρl′A′Aρl=AA′l′l =(l′l)2=(2l′l)2 = 4
∴ R’ = 4R = R + 3R - અવરોધમાં થતો પ્રતિશત ફેરફાર = 300%
પ્રશ્ન 42.
1m2 જેટલો સમાન આડછેદ અને સમાન અવરોધવાળા તારમાંથી 2.5 મીટર
ત્રિજ્યાનું વર્તુળ બનાવેલું છે. આ તારનો અવરોધ 1πΩ હોય, તો તારના દ્રવ્યની
અવરોધક્તા …………………………
(A) 4πΩm
(B)
(C) 2Ωm
(D) 1Ωm
જવાબ
(C) 2Ωm
R =
∴ ρ =
પ્રશ્ન 43.
એક તાંબાના તારની અવરોધકતા 5 × 10-6Ω cm છે. જો તારની લંબાઈ 110 cm અને અવરોધ 7 Ω હોય, તો તારની ત્રિજ્યા ………………. cm હશે.
(A) 0.005
(B) 0.05
(C) 0.5
(D) 500
જવાબ
(A) 0.005
તારનો અવરોધ R =
∴ r2 =
∴ r2 =
∴ r2 = 25.02 × 10-6
r ≈ 5.0 × 10-3 ∴ r ≈ 0.005 cm
પ્રશ્ન 44.
મૅગેનીનનો વિશિષ્ટ અવરોધ 50 × 108 Ω.m છે. તો તેના 50 cm લંબાઈવાળા ઘનનો અવરોધ ……………………
(A) 10-6 Ω
(B) 2.5 × 10-5 Ω
(C) 10-8 Ω
(D) 5 × 104 Ω
જવાબ
(A) 10-6 Ω
R =
∴ R = 10-6 Ω
પ્રશ્ન 45.
એક બ્લૉકના પરિમાણ 3 cm × 2 cm × 1 cm છે. બ્લોકના મહત્તમ અવરોધ અને લઘુતમ અવરોધનો ગુણોત્તર ……………………..
(A) 9 : 1
(B) 1 : 9
(C) 18 : 1
(D) 1 : 6
જવાબ
(A) 9 : 1

R ∝
∴ બે બાજુ વચ્ચેની લંબાઈ વધારે અને આડછેદનું ક્ષેત્રફળ ઓછું હોય, તો અવરોધ વધારે અને તેનાથી ઊલટું હોય, તો અવરોધ ઓછો મળે.

પ્રશ્ન 46.
100°C તાપમાને વાહક ગૂંચળાનો અવરોધ 4.2Ω છે. જો તેના દ્રવ્યનો અવરોધક્તા તાપમાન-ગુણાંક 0.004 (°C)-1 હોય, તો 0°C તાપમાને તેનો અવરોધ કેટલો થશે ?
(A) 5 Ω
(B) 3 Ω
(C) 4 Ω
(D) 3.5 Ω
જવાબ
(B) 3 Ω
Rt = R0(1 + αt)
∴R0 =
=
=
∴ R0 = 3 Ω
પ્રશ્ન 47.
અવરોધકતા વાહક …………………… પર આધારિત નથી.
(A) ના દ્રવ્યની જાત
(B) ના પરિમાણ
(C) ના તાપમાન
(D) પરના દબાણ
જવાબ
(B) ના પરિમાણ
પ્રશ્ન 48.
આદર્શ સુવાહક અને આદર્શ અવાહકની અવરોધકતા અનુક્રમે ρ1 અને ρ2 હોય તો ……………………….
(A) ρ1 = 0, ρ2 = 0
(B) ρ1 = 0, ρ2 = ∞
(C) ρ1 = ∞, ρ2 = 0
(D) ρ1 = ∞, ρ2 = ∞
જવાબ
(B) ρ1 = 0, ρ2 = ∞
પ્રશ્ન 49.
આકૃતિમાં જુદા-જુદા તાપમાનો માટે કોઈ વાહકતાર માટે V → I આલેખો દર્શાવ્યા છે, તો …………………….
(A) T1 < T2 < T3
(B) T1 = T2 = T3
(C) T1 > T2 > T3
(D) T2 =
જવાબ
(A) T1 < T2 < T3

તાપમાન વધતા અવરોધનું મૂલ્ય વધે છે અને V → I ના આલેખનો ઢાળ અવરોધ દર્શાવે છે.
∴ T1 તાપમાન માટે
પ્રશ્ન 50.
એક વાહકનો V → I નો આલેખ V-અક્ષ સાથે 40°નો ખૂણો બનાવે છે, તો આ વાહકનો અવરોધ …………………….
(A) sin40
(B) cos40°
(C) tan40°
(D) cot40°
જવાબ
(D) cot40°

અવરોધ R = V → I ના આલેખનો ઢાળ
= tanθ
= tan50°
= cot40°
પ્રશ્ન 51.
વાહકના તારમાં એમ કદ દીઠ ઇલેક્ટ્રોનની સંખ્યા n છે. જો તારના આડછેદ A માંથી vd જેટલા ડ્રિફ્ટવેગથી ઇલેક્ટ્રોન તારને સમાંતર ગતિ કરતાં હોય, તો રચાતો પ્રવાહ …………………… છે.
(A) nevd
(B) Avdne
(C) Ane
(D)
જવાબ
(B) Avdne
પ્રશ્ન 52.
યાદ રાખો . “અનિ”.
8 × 1012m-3 જેટલી ઇલેક્ટ્રોન ઘનતા ધરાવતા ઇલેક્ટ્રોનની આયનો સાથેની બે ક્રમિક અથડામણ વચ્ચેનો સરેરાશ સમયગાળો 4 × 10-12 s છે. આયનનું દળ 2.56 × 10-27kg છે, તો તે વાહક તારની અવરોધકતા Ωm માં કેટલી હશે ?
(A) 0.3125 × 1010
(B) 3.125 × 1010
(C) 31.25 × 1010
(D) 0.3125 × 10-10
જવાબ
(A) 0.3125 × 1010
ρ =
=
= 0.03125 × 1011
= 0.3125 × 1010Ωm
પ્રશ્ન 53.
કાર્બનના વર્ણસંકેતમાં અવરોધ પરનો ચોથો પટ્ટો કઈ માહિતી આપે છે ?
(A) અવરોધના મૂલ્યનો દશક
(B) અવરોધના મૂલ્યનો એકમ
(C) અવરોધનું ટૉલરન્સ
(D) અવરોધની બનાવટનો પ્રકાર
જવાબ
(C) અવરોધનું ટૉલરન્સ
પ્રશ્ન 54.
એક કાર્બન અવરોધકનું મૂલ્ય 1760 Ω અને 2640 Ω છે, તો કાર્બન અવરોધનો વર્ણસંકેત …………………….
(A) કથ્થઇ, લાલ, કથ્થઇ, કોઈ રંગ નહીં.
(B) લાલ, લાલ, કાળો, કોઈ રંગ નહીં.
(C) લાલ, કાળો, લાલ, કોઈ રંગ નહીં.
(D) લાલ, લાલ, લાલ, કોઈ રંગ નહીં.
જવાબ
(D) લાલ, લાલ, લાલ, કોઈ રંગ નહીં.

∴ R = 2200 Ω
∴ ΔR = 2640 – 2200
= 440 Ω
∴ R ± ΔR = (2200 ± 440)Ω
= (22 × 102 ± 440)Ω
∴ વર્ણસંકેત = લાલ, લાલ, લાલ, કોઈ રંગ નહીં.
પ્રશ્ન 55.
અસમાન આડછેદ ધરાવતો એક તાર આકૃતિમાં દર્શાવેલ છે. જો તારમાંથી સ્થિર
વિદ્યુતપ્રવાહ વહેતો હોય, તો A થી B તરફ જતાં ઇલેક્ટ્રોનનો ડ્રિફ્ટવેગ
……………………..

(A) અચળ રહેશે.
(B) ઘટશે.
(C) વધશે.
(D) ગમે તે રીતે બદલાશે.
જવાબ
(B) ઘટશે
I = nevdA સમી. પરથી, vd =
∴ આડછેદનું ક્ષેત્રફળ વધતા ડ્રિફ્ટવેગ ઘટે છે.
પ્રશ્ન 56.
એક વાહક તારમાં ઇલેક્ટ્રોનની પ્રોટોન સાથે અથડામણો વચ્ચેનો સરેરાશ સમયગાળો (રિલેક્સેશન સમય) 18.2 × 10-12 s હોય, તો વાહકની મોબિલિટી …………………. હશે.
(A) 16 Cs kg-1
(B) 1.6 Cs kg-1
(C) 1.6 × 10-2 Cs kg-1
(D) 3.2 Cs kg-1
જવાબ
(D) 3.2 Cs Kg-1

= 3.2 Cs kg-1
પ્રશ્ન 57.
ઇલેકટ્રોનનો ડ્રિફ્ટવેગ ………………………
(A) પ્રવાહઘનતાની દિશામાં હોય છે.
(B) વિદ્યુતક્ષેત્રની વિરુદ્ધ દિશામાં હોય છે.
(C) કોઈ પણ અસ્તવ્યસ્ત દિશામાં હોય છે.
(D) સુવ્યાખ્યાયિત નથી.
જવાબ
(B) વિદ્યુતક્ષેત્રની વિરુદ્ધ દિશામાં હોય છે.
પ્રશ્ન 58.
એક ધાત્ત્વિક વાહકના આડછેદનું ક્ષેત્રફળ અડધું કરવામાં આવે તો, ઇલેક્ટ્રોનનો ડ્રિફ્ટવેગ ……………………..
(A) અસર પામતો નથી.
(B) અડધો થાય છે.
(C) બમણો થાય છે.
(D) ઉપરમાંથી એક પણ નહિ.
જવાબ
(A) અસર પામતો નથી.
vd =
પ્રશ્ન 59.
હોલનો ડ્રિફ્ટવેગ …………………………
(A) પ્રવાહની દિશામાં હોય છે.
(B) વિદ્યુતક્ષેત્રની વિરુદ્ધ દિશામાં હોય છે.
(C) કોઈ પણ અસ્તવ્યસ્ત દિશામાં હોય છે.
(D) વ્યાખ્યાયિત નથી.
જવાબ
(A) પ્રવાહની દિશામાં હોય છે.
પ્રશ્ન 60.
ધારો કે તારના સમગ્ર આડછેદ પર ડ્રિફ્ટવેગ,
V(r) = V0[1 –
(A) શૂન્ય
(B) V0R
(C) neV0
(D) ne
જવાબ
(A) શૂન્ય
V(r) = V0[1 –
∴ V(r) = V0(1 – 1)
∴ V(r) = V0(0) = 0
પ્રશ્ન 61.
એક ઇલેક્ટ્રોન વિધુતક્ષેત્રની હાજરીમાં 4 × 10-4m અંતર કાપે છે. જ્યારે વિધુતક્ષેત્રની ગેરહાજરીમાં તે 10-4m અંતર કાપે છે, તો તેનો ડ્રિફ્ટવેગ ………………………. (વિધુતક્ષેત્ર 10s સુધી લાગુ પાડેલ છે)
(A) 3 × 10-5 ms-1
(B) 4 × 10-3 ms-1
(C) 2 × 10-5 ms-1
(D) 3 × 10-4 ms-1
જવાબ
(A) 3 × 10-5 ms-1

= 3 × 10-5 ms-1
પ્રશ્ન 62.
8 × 1010 ms-1 ડ્રિફ્ટવેગ ધરાવતા 6 × 1012 ઇલેક્ટ્રોન વાહકના આડછેદમાંથી એકમ સમયમાં પસાર થાય છે વાહકના આડછેદનું ક્ષેત્રફળ 4 cm2 હોય, તો વાહકમાંથી વહેતો વિધુત પ્રવાહ ……………………. A હશે.
(A) 307.2
(B) 30.72
(C) 3.072
(D) 6.015
જવાબ
(B) 30.72
I = nAvde
= 8 × 1010 × 4 × 10-4 × 6 × 1012 × 1.6 × 10-19
= 307.2 × 10-1
= 30.72 A
પ્રશ્ન 63.
તાંબાના તારના બે છેડાઓ વચ્ચેનો Pd, વધારતાં તારમાંથી વહેતો પ્રવાહ પણ વધે
છે. તો તારના એકમ કદમાંથી પસાર થતા વિધુતભાર n અને વિધુતભારના ડ્રિફ્ટવેગ Vd માટે નીચેનામાંથી કયું વાક્ય સાચું છે ?
(A) n અચળ અને vd ઘટે છે.
(B) n અચળ અને vd વધે છે.
(C) n વધે છે અને vd ઘટે છે.
(D) n વધે છે અને vd અચળ રહે છે.
જવાબ
(B) n અચળ અને vd વધે છે.
ઇલેક્ટ્રૉનની સંખ્યા ઘનતા n એ ધાતુના આણ્વિક બંધારણ
પર આધાર રાખે છે તેથી અચળ જ રહે.
હવે I =
∴ nevdA =
∴ vd ∝ V = I (∵ બાકીના પદો સમાન)
I વધતા, V વધે અને vd પણ વધે છે.
પ્રશ્ન 64.
વાહકમાં ઇલેક્ટ્રોનનો ડ્રિફ્ટવેગ ……………………… હોય છે.
(A) પ્રકાશના વેગ જેટલો
(B) પ્રકાશના વેગથી મોટો
(C) શૂન્ય
(D) પ્રકાશના વેગથી સરખામણીમાં નહિવત્
જવાબ
(D) પ્રકાશના વેગથી સરખામણીમાં નહિવત્
પ્રશ્ન 65.
વિદ્યુતભારની મોબિલિટી એટલે એકમ વિધુતક્ષેત્ર દીઠ …………………….
(A) અવરોધ
(B) પ્રવાહ
(C) વિદ્યુતસ્થિતિમાન
(D) ડ્રિફ્ટવેગ
જવાબ
(D) ડ્રિફ્ટવેગ
[⇒ μ =
પ્રશ્ન 66.
તાપમાન વધતાં સુવાહકનો અવરોધ વધે છે, કારણ કે ……………………..
(A) ઇલેક્ટ્રૉન ઘનતા વધે છે.
(B) ઇલેક્ટ્રૉન ઘનતા ઘટે છે.
(C) રિલેક્સેશન સમય વધે છે.
(D) રિલેક્સેશન સમય. ઘટે છે.
જવાબ
(D) રિલેક્સેશન સમય ઘટે છે.
R =
∴ R ∝ρ
∴ ρ =
∴ R =
∴ R ∝
∴ જ્યાં τ ઘટે ત્યારે R વધે.
પ્રશ્ન 67.
કાર્બન-અવરોધ પર ત્રણ લાલ રંગના પટ્ટાઓ છે, તો તેનો અવરોધ્ર ………………….. થશે.
(A) 2.2 kΩ
(B) 2200 kΩ
(C) (2200 ± 20%) kΩ
(D) 1.76 kΩ 2થી 2.64 kΩ
જવાબ
(D) 1.76 kΩ થી 2.64 kΩ
લાલ રંગના ત્રણ પટ્ટાઓ પરથી અવરોધ = 22 × 102
= 2200 Ω
ચોથો પટ્ટો નહીં હોવાથી ટોલરન્સ 20%
∴ ટોલરન્સ = 2200 ના 20% = 2200 ×
∴ અવરોધોનું મૂલ્ય = (2200 + 440)Ω
= 2200 + 440 અથવા 2200 – 440
= 2640 Ω અથવા 1760 Ω
= 2.64 kΩ અથવા 1.76 kΩ
પ્રશ્ન 68.
કાર્બનના વર્ણસંકેતથી ભારતના રાષ્ટ્રધ્વજના ઉપરથી નીચેના ક્રમના રંગો માટેનો અવરોધ ……………………
(A) 39 × 105 ± 20%Ω
(B) 59 × 105 ± 20%Ω
(C) 39 × 105 ± 10%Ω
(D) 39 × 105 ± 5%Ω
જવાબ
(A) 39 × 105 ± 20%Ω
રાષ્ટ્રધ્વજનો ઉપરથી રંગનો ક્રમ કેસરી (નારંગી), સફેદ અને લીલો.
∴ અવરોધ = 39 × 105
અને ચોથા રંગનો પટ્ટો નથી. તેથી ટોલરન્સ 20%
∴ અવરોધ = (39 × 105 ± 20%)Ω
પ્રશ્ન 69.
મોબિલિટીનો એકમ ………………….. છે.
(A) m2 V-1 S-1
(B) m2 Ʊ C-1
(C) kg-1 Cs
(D) આપેલ બધા જ
જવાબ
(D) આપેલ બધા જ
μ =
μ =
μ =
પ્રશ્ન 70.
કિોંફનો જંક્શનનો નિયમ …………………….. દર્શાવે છે. (માર્ચ 2020)
(A) ઊર્જા સંરક્ષણ
(B) કોણીય વેગમાનનું સંરક્ષણ
(C) રેખીય વેગમાનનું સંરક્ષણ
(D) વિદ્યુતભારનું સંરક્ષણ
જવાબ
(D) વિદ્યુતભારનું સંરક્ષણ
જ્ઞાન આધારિત પ્રશ્ન
પ્રશ્ન 71.
કિચ્ચફનો બીજો નિયમ ……………………. ના સંરક્ષણના નિયમ પર આધારિત છે.
(A) ઊર્જા
(B) વિદ્યુતભાર
(C) વેગમાન
(D) કોણીય વેગમાન
જવાબ
(A) ઊર્જા
પ્રશ્ન 72.
બે અસમાન મૂલ્યના અવરોધોને સમાંતરમાં જોડી તેની સાથે બૅટરી જોડતાં ……………………….
(A) બંને અવરોધોમાંથી વહેતો પ્રવાહ સમાન હોય.
(B) બંને અવરોધોના છેડાઓ વચ્ચેનો p.d. સમાન હોય.
(C) મોટા મૂલ્યના અવરોધમાંથી વહેતો પ્રવાહ વધુ હોય.
(D) નાના મૂલ્યના અવરોધના છેડાઓ વચ્ચેનો p.d. વધુ હોય.
જવાબ
(B) બંને અવરોધોના છેડાઓ વચ્ચેનો p.d. સમાન હોય.
પ્રશ્ન 73.
બે અસમાન મૂલ્યના અવરોધોને શ્રેણી જોડાણમાં જોડી તેની સાથે બેટરી જોડતાં …………………….
(A) બંને અવરોધોમાંથી વહેતો પ્રવાહ સમાન હોય.
(B) બંને અવરોધોના છેડાઓ વચ્ચેનો p.d. સમાન હોય.
(C) મોટા મૂલ્યના અવરોધમાંથી વહેતો પ્રવાહ ઓછો હોય.
(D) નાના મૂલ્યના અવરોધના છેડાઓ વચ્ચેનો p.d. વધુ હોય.
જવાબ
(A) બંને અવરોધોમાંથી વહેતો પ્રવાહ સમાન હોય.
પ્રશ્ન 74.
(A) 1Ω
(B) 100Ω
(C)
(D) 10Ω
જવાબ
(C)

પ્રશ્ન 75.
વ્હીટસ્ટન બ્રિજની ચાર ભુજાઓ P Q, R અને S ના અવરોધો અનુક્રમે 10 Ω, 30 Ω,
20 Ω અને 60 Ω છે. કોષનો આંતરિક અવરોધ 2 Ω અને emf 5 V છે. જો
ગેલ્વેનોમીટરનો અવરોધ 60 Ω હોય, તો કોષમાંથી નીકળતો પ્રવાહ …………………….. હશે.
(A) 0.2 A
(B) 0.15A
(C) 0.17A
(D) 2 A
જવાબ
(C) 0.17A
- બ્રિજ સંતુલિત સ્થિતિમાં હોવાથી ગૅલ્વેનોમીટરમાંથી પ્રવાહ વહેશે નહીં.
- વ્હીટસ્ટન બ્રિજનો સમતુલ્ય અવરોધ,
R =(10+30)(20+60)(10+30)+(20+60) =40×80120=803 Ω
∴ બૅટરીમાંથી વહેતો પ્રવાહ,
I =5R+2=5803+2
∴ I =5×386 = 0.17446 A ∴ I ≈ 0.17 A
પ્રશ્ન 76.
R1 અને R2 અવરોધોના શ્રેણી જોડાણનો સમાસ અવરોધ RS અને સમાંતર જોડાણનો સમાસ અવરોધ RPછે તથા RSRP = 16 અને
(A) 2 Ω, 0.5 Ω
(B) 1 Ω, 0.25 Ω
(C) 8 Ω, 2 Ω
(D) 4 Ω, 1 Ω
જવાબ
(C) 8 Ω, 2 Ω
R1 અને R2 ના શ્રેણી જોડાણ માટે,
RS = R1 + R2 …………. (1)
અને સમાંતર જોડાણ માટે,
RP =
∴ R1R2 = Rp(R1 + R2)
R1R2 = RP(RS) ……………….. (3)
હવે
∴ સમીકરણ (3) માં R1 ની ઉપરોક્ત કિંમત મૂકતાં,
∴
∴ R2 = 2 Ω
અને R1 = 4R2 = 4 × 2
∴ R1 = 8 Ω ∴ 8 Ω, 2 Ω
પ્રશ્ન 77.
આપેલ પરિપથમાં ઍમિટર અને વોલ્ટમીટરના અવલોકન ………………………

(A) 6 A, 60 V
(B) 0.6 A, 6V
(C)
(D)
જવાબ
(C)
કિર્ચીફના બીજા નિયમ પરથી સમઘડી મુસાફરી કરતાં,
4I + 6I – 6 + 1I = 0
∴ 11I = 6
∴ I =
અને V= IR
પ્રશ્ન 78.
આકૃતિમાં દર્શાવેલ પરિપથમાં અજ્ઞાત અવરોધ R નું મૂલ્ય કેટલું હોવું જોઈએ કે જેથી P અને Q વચ્ચેનો અવરોધ પણ R થાય ?

(A) 3 Ω
(B)
(C)
(D) 10 Ω
જવાબ
(C)
R = 3 +
∴ R = 3 +
∴ 13R + R2 = 39 + 3R + 30 + 10R
∴ R2 = 69
∴ R
પ્રશ્ન 79.
નીચેના પરિપથમાં A અને B વચ્ચેનો અસરકારક અવરોધ શોધો:

(A) r
(B)
(C) 4r
(D)
જવાબ
(D)
સમતુલ્ય પરિપથ દોરતાં,

પ્રશ્ન 80.
આકૃતિમાં દર્શાવ્યા મુજબ સમાન મૂલ્ય r ના છ અવરોધોને P, Q અને R વચ્ચે જોડેલા છે. કયાં બે બિંદુ વચ્ચેનો કુલ અવરોધ મહત્તમ થશે ?

(A) P અને Q
(B) Q અને R
(C) P અને R
(D) કોઈ પણ બે બિંદુ
જવાબ
(A) P અને Q
સમાંતર જોડાણમાં સમતુલ્ય અવરોધ ઘટે છે. તેથી P અને R તથા Q અને R વચ્ચેનો
અવરોધ અને Q ના અવરોધ કરતાં ઓછો હોય. તેથી P અને Q નો અવરોધ મહત્તમ હોય.
પ્રશ્ન 81.
આકૃતિમાં દર્શાવ્યા અનુસાર 1 Ω ના પાંચ અવરોધો જોડેલા છે ત્યારે, A અને B
વચ્ચેનો સમતુલ્ય અવરોધ અને આકૃતિમાં ત્રુટક રેખા પર 1 Ω ના બે અવરોધો
જોડતાં A અને B વચ્ચેના સમતુલ્ય અવરોધનો ગુણોત્તર …………………….

(A)
(B)
(C)
(D)
જવાબ
(C)

પ્રારંભમાં A અને B વચ્ચેનો અવરોધ R1 = 5 Ω
CE અને DF માં 1 Ω નો અવરોધ જોડ્યા બાદ A અને B વચ્ચેનો અવરોધ, R2 = 1 + R’ + 1
જ્યાં, R’ એ CEFD નો અવરોધ છે પણ CEFD એ સમતોલિત વ્હીસ્ટનબ્રિજ છે, તેથી C અને F વચ્ચેનો સમતુલ્ય
અવરોધ R’ =
∴ R2 = 1 + 1 + 1 = 3 Ω
∴
પ્રશ્ન 82.
આપેલ પરિપથમાં A અને B વચ્ચેનો સમતુલ્ય અવરોધ શોધો.

(A) 0 Ω
(B) 15 Ω
(C) 30 Ω
(D) 100 Ω
જવાબ
(A) 0 Ω
વચ્ચેનો 20 Ω અવરોધ શૉર્ટ હોવાથી શૂન્ય અવરોધ લેતાં,
∴ RAB = 0
પ્રશ્ન 83.
આકૃતિમાં દર્શાવેલ પરિપથમાં A અને B વચ્ચેનો સમતુલ્ય અવરોધ ………………….

(A)
(B)
(C)
(D)
જવાબ
(C)
સમતુલ્ય પરિપથ :

પ્રશ્ન 84.
વ્હીટસ્ટન બ્રિજ કઈ રાશિનું અજ્ઞાત મૂલ્ય માપવા માટે વપરાય છે ?
(A) વિદ્યુતપ્રવાહ
(B) વોલ્ટેજ
(C) અવરોધ
(D) emf
જવાબ
(C) અવરોધ
પ્રશ્ન 85.
નીચે આપેલ આકૃતિમાં V – VB = ……………………. હશે.

(A) 1 V
(B) 0.7 V
(C) -1.4V
(D) -0.7 V
જવાબ
(B) 0.7V
બંને શાખા CAD અને CBD ના અવરોધો સમાન હોવાથી બંનેમાંથી સમાન 0.7 A પ્રવાહ વહે છે.
પ્રશ્ન 86.
આકૃતિમાં દર્શાવ્યા પ્રમાણે આપેલ પરિપથ માટે 12 Ω અવરોધમાંથી વહેતો પ્રવાહ ………………………. થશે.

(A) 1 A
(B)
(C)
(D) 0 A
જવાબ
(D) 0 A
ACFEA બંધ પરિપથ માટે કિર્ગોના બીજા નિયમ પરથી,
5 – 5 = 121
∴ 0 = 121
∴ I = 0 A
પ્રશ્ન 87.
આપેલ પરિપથમાં જો I2 = 1.5 A હોય તો I1 = …………………….

(A) 0.5 A
(B) 1 A
(C) 2.5 A
(D) 3 A
જવાબ
(C) 2.5 A

20 Ω અને 30 Ω સમાંતરમાં છે અને 20 Ω માંથી I2 તથા 30 Ω માંથી I3 પ્રવાહ વહે છે.
∴ 20I2 = 30I3
∴ I3 =
∴ I3 = 1A
હવે I = I2 + I3 = 1.5 + 1.0 = 2.5 A
પ્રશ્ન 88.
નીચે આપેલ પરિપથમાં જો સ્વિચ ON કરીએ તો તેમાંથી વહેતો પ્રવાહ ………………………

(A) 6.0 A
(B) 4.5 A
(C) 3.0 A
(D) 0 A
raio
(B) 4.5 A

જંક્શન O પાસે,
I1 + I2 = I3
∴
∴ 2(20 – V) + 5 – V = 2(V – 0)
∴ 40 – 2V + 5 – V = 2V
∴ 45 = 5V ∴ V 9 વોલ્ટ
હવે, I3 =
પ્રશ્ન 89.
નીચે આપેલ પરિપથમાં B બિંદુ પાસેનું સ્થિતિમાન VB હોય, તો A અને D પાસેનાં સ્થિતિમાન અનુક્રમે …………………

(A) VA = −1.5 V, VD = +2 V
(B) VA = +1.5 V, VD = -1.5 V
(C) VA = +1.5 V, VD = +0.5 V
(D) VA = +1.5 V, VD +2 V
જવાબ
(D) VA = +1.5 V, VD +2 V

∴ VA – VB = 1.5 × 1
∴ VA – 0 = 1.5
∴ VA = +1.5 V
D બિંદુએ 2 વોલ્ટની બૅટરી ધન ધ્રુવ સાથે જોડાયેલી હોવાથી
VD = +2 V
પ્રશ્ન 90.
નીચે એક પરિપથનો ભાગ દર્શાવેલ છે. તો તેમાં I પ્રવાહનું મૂલ્ય ………………………

(A) – 3 A
(B) 3 A
(C) 13 A
(D) 20 A
જવાબ
(D) 20 A
કિર્ચીફના પ્રથમ નિયમ પરથી,
SR તારમાં પ્રવાહ = 8 + 5 = 13A
PQ તારમાં પ્રવાહ = 12 – 8 = 4 A
QR તારમાં પ્રવાહ = 4 + 3 = 7 A
M પાસે કુલ પ્રવાહ I = 13 + 7 = 20 A
પ્રશ્ન 91.
24 Ω અવરોધ ધરાવતા એક વાહક તારને આકૃતિમાં દર્શાવ્યા પ્રમાણે વાળવામાં આવ્યો છે, તો A અને B વચ્ચે અસરકારક અવરોધ શોધો.

(A) 24 Ω
(B) 10 Ω
(C)
(D) આમાંથી એક પણ નહિ.
જવાબ
(B) 10 Ω

તારની કુલ લંબાઈ = 5 + 5 + 5 + 5 = 20 cm
તેથી એકમ લંબાઈ દીઠ અવરોધ λ =
તેથી 5 cm લંબાઈના તારનો અવરોધ = 1.2 x 5 = 6 Ω
હવે સમબાજુ ત્રિકોણનો સમતુલ્ય અવરોધ =
=
∴ P અને Q વચ્ચેનો અવરોધ = 4 + 6 = 10 Ω
પ્રશ્ન 92.
નિયમિત આડછેદ ધરાવતા 18 Ω અવરોધ ધરાવતા એક તારને વાળીને વર્તુળ બનાવેલ છે,
તો વર્તુળ પરનાં A અને B બિંદુઓ (જુઓ કેન્દ્ર આગળ 60° નો કોણ બનાવે છે.)
વચ્ચેનો અસરકારક અવરોધ કેટલો હશે ?

(A) 3 Ω
(B) 2.5 Ω
(C) 15 Ω
(D) 18 Ω
જવાબ
(B) 2.5 Ω
તારના લઘુચાપ AB નો અવરોધ
∴ ગુરુચાપનો અવરોધ = 15 Ω
હવે A અને B વચ્ચેનો સમતુલ્ય અવરોધ,
RAB =
પ્રશ્ન 93.
ત્રણ અવરોધો 1 : 2 : 3 ના પ્રમાણમાં છે. સમાંતર જોડાણમાં તેમનો સમતુલ્ય
અવરોધ 6 Ω હોય, તો આ અવરોધોનો શ્રેણીજોડાણમાં સમતુલ્ય અવરોધ જણાવો.
(A) 36 Ω
(B) 84 Ω
(C) 66 Ω
(D) 18 Ω
જવાબ
(C) 66 Ω
ધારો કે અવરોધ R છે.
∴ R : 2R : 3R ત્રણ અવરોધ મળે.
આ ત્રણ અવરોધોનો સમાંતર જોડાણનો સમતુલ્ય અવરોધ
=
∴
∴ R = 11 Ω
હવે, દરેક અવરોધો 11 Ω, 22 Ω, 33 Ω
∴ શ્રેણી જોડાણમાં સમાસ અવરોધ
RS = 11+ 22 + 33 ∴ RS = 66 Ω
પ્રશ્ન 94.
નીચેની આકૃતિમાં દર્શાવલ નેટવર્કમાં A અને B બિંદુઓ વચ્ચે અસરકારક અવરોધ …………………………

(A) 2 Ω
(B) 3 Ω
(C) 6 Ω
(D) 12 Ω
જવાબ
(A) 2 Ω
- A – F – E નો અવરોધ 6 Ω ∴ RAE = 3 Ω
- A – E – D નો અવરોધ 6 Ω ∴ RAD = 3 Ω
- R – D – C નો અવરોધ 6 Ω ∴ RAC = 3 Ω
- R – C – B નો અવરોધ 6 Ω
1RAB=16+13=1+26=36=12
RAB = 2 Ω
પ્રશ્ન 95.
નીચેની આકૃતિમાં દર્શાવેલ નેટવર્કમાં X અને Y બિંદુઓ વચ્ચેનો સમતુલ્ય અવરોધ ………………..

(A) 4 Ω
(B) 2 Ω
(C) 1 Ω
(D) 3 Ω
જવાબ
(A) 4 Ω
અહીં આપેલા પરિપથને સરળ સ્વરૂપમાં નીચે મુજબ રજૂ કરી શકાય.

પરિપથ વ્હીટસ્ટન બ્રિજ દર્શાવતો હોવાથી સંતુલિત સ્થિતિમાં X અને Y બિંદુઓ વચ્ચેનો સમતુલ્ય અવરોધ
R =
∴ R = 4 Ω
પ્રશ્ન 96.
સમાન આડછેદ ધરાવતા R અવરોધવાળા એક વાહક તારને 20 સરખા ભાગમાં કાપવામાં આવે
છે. આમાંના અડધાને શ્રેણીમાં અને બાકીના અડધાને સમાંતરમાં જોડવામાં આવે છે.
જો આ બે સંયોજનને શ્રેણીમાં જોડવામાં આવે તો, આ બધા ટુકડાઓનો અસરકારક
અવરોધ કેટલો હશે ?
(A) R
(B)
(C)
(D)
જવાબ
(C)
- તારને સમાન 20 ભાગમાં વિભાજિત કરતા એક ટુકડાનો અવરોધ =
R20 - આવા દસ ટુકડાઓને શ્રેણીમાં જોડતાં સમતુલ્ય અવરોધ,
R1 =10R20=R2 - બાકીના દસ ટુકડાઓને સમાંતરમાં જોડતાં સમતુલ્ય અવરોધ,
R2 =R200 - પરિપથનો સમતુલ્ય અવરોધ,
R = R1 + R2
=R2+R200
=100R+R200=101200 R
પ્રશ્ન 97.
આંતરિક અવરોધ r અને emf ε ધરાવતી બૅટરીમાંથી મળતો મહત્તમ પાવર ……………………..
(A)
(B)
(C)
(D)
જવાબ
(A)
પરિપથનો પ્રવાહ I =
બૅટરીમાંથી પાવર મહત્તમ મળે તો બાહ્ય અવરોધ R = r
∴ I =
અને પરિપથમાં પાવર,
P = I2R
(
=
પ્રશ્ન 98.
એક વિદ્યુત પાવર સ્ટેશનથી 150 km દૂર એક ગામમાં તાંબાના તાર વડે પાવર
મોકલવામાં આવે છે. જો પ્રતિ કિલોમીટર દીઠ વોલ્ટેજ ડ્રોપ 8V તથા સરેરાશ
અવરોધ
0.5 Ω હોય, તો તારમાં પાવર વ્યય કેટલો થશે ?
(A) 19.2 J
(B) 19.2 kW
(C) 12.2 kW
(D) 19.2 W
જવાબ
(B) 19.2 kW
150 km લાંબા તારમાં વોલ્ટેજ ડ્રૉપ V = 150 × 8 = 1200 V
150 km લાંબા તારનો કુલ અવરોધ R = 0.5 × 150 = 75 Ω
પાવરનો વ્યય =
= 19.2 kW
પ્રશ્ન 99.
નીચેનામાંથી કર્યો એકમ વિધુત પાવરનો નથી ?
(A) (Amp)2 . Ω
(B) kWh
(C) Amp × Volt
(D) Joule/sec
જવાબ
(B) kWh
kWh એ વિદ્યુત ઊર્જાનો એકમ છે પણ વિદ્યુત પાવરનો એકમ નથી.
પ્રશ્ન 100.
એક કોષનું emf 2.2V છે તેની સાથે 5 Ω ના અવરોધને જોડતાં તેના ટર્મિનલ વોલ્ટેજ 1.8V મળે છે, તો કોષનો
આંતરિક અવરોધ ………………….
(A)
(B)
(C)
(D)
જવાબ
(A)
કોષ માટે,
ε = V + Ir
∴ r =
∴ r =
પ્રશ્ન 101.
280 Ω ના આંતરિક અવરોધ ધરાવતા સેલના બે છેડા વચ્ચે ટર્મિનલ વોલ્ટેજ 1.4V
આપે છે. જ્યારે પોટેન્શિયોમીટરથી આ ટર્મિનલ વોલ્ટેજ 1.55V હોવાનું દર્શાવે
છે. આ સેલમાંથી મહત્તમ પાવર ઉપયોગમાં લેવા માટે બાહ્ય અવરોધનું મૂલ્ય
…………………….. હોવું જોઈએ.
(A) 30 Ω
(B) 35 Ω
(C) 45 Ω
(D) 60 Ω
જવાબ
(A) 30 Ω
ટર્મિનલ વોલ્ટેજ (વોલ્ટમીટર માટે)
V = Ir
∴ I =
હવે,
V = ε – Ir
r =
પ્રશ્ન 102.
જ્યારે વિદ્યુતકોષ વપરાશમાં હોય ત્યારે તેના માટે નીચેનામાંથી કયો સંબંધ સાચો છે ?
(A) ε = V – Ir
(B) ε = V + Ir
(C) ε = V
(D) ε = V + IR
જવાબ
(B) ε = V + Ir
પ્રશ્ન 103.
12V ની એક કાર બેટરીનું રેટિંગ 80 A છે, (આનો અર્થ એવો થાય કે બેટરીના બે
ટર્મિનલ વચ્ચે કોઈ વાહક તાર જોડીએ તો 80 A નો વિધુતપ્રવાહ મળે) તો આ
બેટરીનો આંતરિક અવરોધ ………………… Ω હોય.
(A) 0
(B) 0.015
(C) 0.15
(D) કશું કહી શકાય નહીં
જવાબ
(C) 0.15
R =
પ્રશ્ન 104.
કોઈ વિદ્યુતકોષના ધ્રુવો સાથે 2 Ω નો અવરોધ જોડતાં વિદ્યુતપ્રવાહ 0.5 A
મળે, પણ 5 Ω નો અવરોધ જોડતાં emf 1.5V મળે, તો આ વખતે કોષમાંથી પસાર થતો
વિધુતપ્રવાહ
………………… A છે.
(A) 0.25
(B) 0.5
(C) 1
(D) 2
જવાબ
(A) 0.25
I =
∴ 0.5 =
∴ 1 + 0.5 r = 1.5
∴ 0.5 r = 0.5
∴ r = 1 Ω
હવે, I’ =
=
=
= 0.25 A
પ્રશ્ન 105.
1.5 વોલ્ટવાળી બેટરીના ટર્મિનલ વોલ્ટેજ, 10k Ω અવરોધ ધરાવતા વોલ્ટમીટર
દ્વારા માપતા 1.25V મળે છે, તો બેટરીનો આંતરિક અવરોધ ……………….. Ω છે.
(A) 2
(B) 20
(C) 200
(D) 2000
જવાબ
(D) 2000
V = E – Ir
= E –
=
∴ V =
∴ R + r =
∴ r =
= 1.2 × 104 – 104 = 0.2 × 104
∴ r = 2000 Ω
પ્રશ્ન 106.
24 Vemfના કોષનો આંતરિક અવરોધ 0.12 Ω છે. તેને 3.0 Ω ના અવરોધ સાથે જોડવામાં આવેલ છે. આ કોષને સમાંતર વોલ્ટેજ …………………… થાય.
(A) 23.08 V
(B) 2 V
(C) 0.1 V
(D) 3.8 V
જવાબ
(A) 23.08 V
ε = V + Ir માં
I =
=
=
V = ε – Ir
= 24 – 7.6 × 0.12
= 24 – 0.912 = 23.08 V
પ્રશ્ન 107.
2V ટર્મિનલ વોલ્ટેજ ધરાવતી બૅટરીનો આંતરિક અવરોધ 0.2 Ω અને તેમાંથી 0.5 A નો પ્રવાહ વહેતો હોય, તો બેટરીનું emf …………………..
(A) 1.9 V
(B) 1.0V
(C) 2.1 V
(D) 3 V
જવાબ
(C) 2.1V
ε = V + Ir = 2 + 0.5 × 0.2 = 2.1 V
પ્રશ્ન 108.
એક વિદ્યુતકોષ સાથે 10 Ω અવરોધ જોડેલો છે. હવે આ અવરોધને બદલે 20 Ω નો
અવરોધ જોડવામાં આવે, તો કોષના બે ધ્રુવો વચ્ચેનો વિદ્યુતસ્થિતિમાનનો તફાવત
…………………
(A) વધશે.
(B) ઘટશે.
(C) અચળ રહેશે.
(D) કોષ તરત જ ડિસ્ચાર્જ થઈ જશે.
જવાબ
(A) વધશે
V = ε – Ir માં ε અને r અચળ જ રહે પણ 10 Ω ના બદલે 20 Ω નો અવરોધ જોડતાં
પરિપથમાંથી વહેતો પ્રવાહ ઘટી જાય તેથી V = ε – Ir સૂત્ર અનુસાર V વધે.
પ્રશ્ન 109.
1 Ω આંતરિક અવરોધ ધરાવતી બૅટરી સાથે બાહ્ય અવરોધ જોડતાં તેના ટર્મિનલ
વોલ્ટેજ 10V થી ઘટીને 8V થઈ જાય છે, તો જોડેલ બાહ્ય અવરોધનું મૂલ્ય શોધો.
(A) 40 Ω
(B) 0.4 Ω
(C) 4M Ω
(D) 4 Ω
જવાબ
(D) 4 Ω
V = IR માં I =
∴ V =
∴ 8 =
∴ 8R + 8 = 10R
∴ 2R = 8
∴ R = 4 Ω
પ્રશ્ન 110.
વિદ્યુતકોષ open circuit condition માં છે તેમ ક્યારે કહેવાય ?
(A) જ્યારે તેમાંથી વહેતો વિદ્યુતપ્રવાહ મહત્તમ હોય.
(B) જ્યારે Fn = Fe = 0 હોય.
(C) જ્યારે Fn < Fe હોય.
(D) જ્યારે તેમાંથી વહેતો વિદ્યુતપ્રવાહ શૂન્ય હોય.
જવાબ
(D) જ્યારે તેમાંથી વહેતો વિદ્યુતપ્રવાહ શૂન્ય હોય.
પ્રશ્ન 111.
જો વિદ્યુત બલ્બમાંથી વહેતો પ્રવાહ 1 % વધારવામાં આવે, તો બલ્બના પાવરમાં શું ફેરફાર થશે ? (બલ્બના ફિલામેન્ટનો અવરોધ અચળ ધારો)
(A) 1 % જેટલો વધારો
(B) 1 % જેટલો ઘટાડો
(C) 2 % જેટલો વધારો
(D) 2 % જેટલો ઘટાડો
જવાબ
(C) 2 % જેટલો વધારો
પાવર P = I2R
∴
= 2 × 1 = 2%
પ્રશ્ન 112.
R અવરોધવાળા બે અવરોધકોને શ્રેણીમાં જોડતાં વપરાતો પાવર P હોય તો બંનેને સમાંતરમાં જોડતાં વપરાતો પાવર ………………….. હોય.
(A) 2 P
(B) P
(C)
(D) 4P
જવાબ
(D) 4P
શ્રેણીમાં પાવર PS = P =
સમાંતરમાં પાવર PP =
∴
∴
∴ Pp = 4 P
પ્રશ્ન 113.
ત્રણ સરખા અવરોધોને emf ના ઉદ્ગમ સાથે શ્રેણીમાં જોડતાં ભેગા મળીને તે 10
વોટ પાવરનો વ્યય કરે છે. તે જ emf ના ઉદ્ગમ સાથે બધા અવરોધોને સમાંતરમાં
જોડતાં કેટલા વોટ પાવરનો વ્યય થશે ?
(A)
(B) 10
(C) 30
(D) 90
જવાબ
(D) 90
ધારો કે દરેકનો અવરોધ R છે.
∴ શ્રેણીમાં કુલ અવરોધ R1 = 3R, સમાંતરમાં કુલ અવરોધ
R2 =
હવે P =
∴ p ∝
∴
∴ p2 = 9 × 10 = 90 V
પ્રશ્ન 114.
એક વાહકમાં વિધુતભાર પસાર કરવાથી અમુક સમયમાં તેના તાપમાનમાં 5°C વધારો થાય
છે. જો પ્રવાહનું મૂલ્ય બમણું કરવામાં આવે, તો તાપમાનમાં થતો વધારો આશરે
તેટલા જ સમયમાં તેના ………………… °C હશે.
(A) 10
(B) 12
(C) 16
(D) 20
જવાબ
(D) 20

પ્રશ્ન 115.
એક વિધુતતારનો અવરોધ R છે. તેમાંથી વિધુતપ્રવાહ પસાર કરતાં તેમાં દર
સેકન્ડે H cal ઉષ્મા ઉત્પન્ન થાય છે, તો તારમાંથી વહેતો વિધુતપ્રવાહ
…………………….. હશે.
(A)
(B)
(C)
(D)
જવાબ
(C)
H =
પ્રશ્ન 116.
સમાન સપ્લાય વોલ્ટેજ માટે દરેકનો પાવર P હોય તેવા n સમાન બલ્બ બનાવવામાં
આવ્યા છે. જો આ જ સપ્લાય વોલ્ટેજ સાથે તમામને શ્રેણીમાં જોડવામાં આવે છે,
તો દરેકમાં ખેંચાતો પાવર કેટલો હશે ?
(A) nP
(B) P
(C)
(D)
જવાબ
(C)
દરેક બલ્બનો અવરોધ R =
શ્રેણીમાં જોડેલાં n બલ્બનો કુલ અવરોધ R’ = nR =
કુલ પાવર P’ =
પ્રશ્ન 117.
2V emf અને 1 Ω આંતરિક અવરોધ ધરાવતી બે સમાન બૅટરીને શ્રેણીમાં જોડી R બાહ્ય અવરોધમાં મેળવી શકાતો
મહત્તમ પાવર …………………….. હશે.
(A) 3.2W
(B)
(C)
(D) 2W
જવાબ
(D) 2 W

પરિપથમાંથી વહેતો પ્રવાહ
I =
જો r = R થાય તો પ્રવાહ I =
અને બાહ્ય અવરોધમાં ખર્ચાતો પાવર મહત્તમ મળે.
∴ પાવર P = I2R = (1)2 × 2 = 2W
પ્રશ્ન 118.
40W અને 200 V ના બલ્બને 100V ના ઉદ્ગમ સાથે જોડતાં વપરાતો પાવર …………………..
(A) 10 W
(B) 20W
(C) 40 W
(D) 100 W
જવાબ
(A) 10 W
P =
P ∝ V2

પ્રશ્ન 119.
આપેલ પરિપથમાં 2 Ω અવરોધમાંથી વહેતો પ્રવાહ 3 A છે, તો 5 Ω ના અવરોધમાં પાવરવ્યય કેટલો હશે ?

(A) 1 W
(B) 5 W
(C) 4W
(D) 2 W
જવાબ
(B) 5 W
2 Ω અને (1 Ω + 5 Ω) સમાંતરમાં હોવાથી p.d. સમાન.
∴ 2 × 3 (1 + 5)I
ધારો કે (1 + 5)Ω માંથી I પ્રવાહ વહે છે.
∴ 6 = 6I ∴ I = 1 A
5 Ω ના અવરોધમાં વ્યય થતો પાવર
P = I2R = (1)2 × 5 = 5 W
પ્રશ્ન 120.
વાહક તારમાં ઇલેકટ્રોન જ્યારે 1V ના બિંદુથી 4V ધરાવતા બીજા બિંદુ તરફ જતાં સુધીમાં કેટલી ઉષ્મા ઉત્પન્ન થશે ?
(A) 1.6 × 10-19 J
(B) 3J
(C) 4.8 × 10-19 J
(D) 8 × 10-20 J
જવાબ
(C) 4.8 × 10-19 J
કાર્ય W = JH
∴ e(ΔV) = JH
∴ 1.6 × 10-19 (4 – 1) = Q (∵ JH = Q ઉષ્મા)
∴ 4.8 × 10-19 J = Q
પ્રશ્ન 121.
આકૃતિમાં દર્શાવલ પરિપથમાંના અવરોધ R1 અને R2 માં વપરાતા પાવરનો ગુણોત્તર કેટલો થશે ?
(A) 1 : 4
(B) 4 : 1
(C) 1 : 2
(D) 2 : 1
જવાબ
(A) 1 : 4

પ્રશ્ન 122.
r ત્રિજ્યા, l લંબાઈ અને ρ અવરોધક્તાવાળા તારમાંથી I પ્રવાહ પસાર કરતાં ઉષ્મા ઉત્સર્જન પામવાનો દર કેટલો થશે ?
(A)
(B)
(C)
(D)
જવાબ
(C)
ઉષ્મા ઉત્સર્જન પામવાનો દર એટલે પાવર, P = I2R
પણ R =
પ્રશ્ન 123.
1.5 V emf (વીજયાલકબળ) અને 1 Ω આંતરિક અવરોધ ધરાવતા ત્રણ વિદ્યુતકોષોને
એકબીજા સાથે સમાંતર જોડતાં પરિણામી વીજયાલકબળ (emf) …………………… થાય.
(A) 1.5 V
(B) 3.0 V
(C) 4.5 V
(D) 0.5 V
જવાબ
(A) 1.5 V
સમાન emf વાળા કોષોના સમાંતર જોડાણમાં emf ન બદલાય.
પ્રશ્ન 124.
જો દ જેટલો emf ધરાવતા n વિધુતકોષોને સમાંતરમાં જોડવામાં આવે, તો તેમનો પરિણામી emf ……………………
(A)
(B) nε
(C) n2ε
(D) ઉપરમાંથી એક પણ નહિ.
જવાબ
(D) ઉપરમાંથી એક પણ નહિ.
પ્રશ્ન 125.
ε વિધુતચાલકબળ ધરાવતા વિદ્યુતકોષનો આંતરિક અવરોધ r છે. તેના બે છેડા વચ્ચે
સમાન અવરોધ r ધરાવતા n અવરોધો શ્રેણીમાં જોડતાં ટર્મિનલ વોલ્ટેજ અને
વિધુતચાલકબળનો ગુણોત્તર ……………………. થાય.
(A) n
(B)
(C)
(D)
જવાબ
(B)
ε = I × પરિપથનો કુલ અવરોધ

emf ટર્મિનલ વોલ્ટેજ
ε = I × (n + 1) r …………… (1) અને
V = I(r + r + r +…. n વખત)
V = Inr ……………. (2)
∴
પ્રશ્ન 126.
સમાન emf ε અને સમાન આંતરિક અવરોધ r ધરાવતા n વિદ્યુતકોષોને અવરોધ R સાથે
સમાંતરમાં જોડવામાં આવે, તો R માંથી વહેતો પ્રવાહ I = …………………. હોય છે.
(A)
(B)
(C)
(D)
જવાબ
(B)
પરિપથનો કુલ અવરોધ = R +
પ્રવાહ I =
પ્રશ્ન 127.
ε1 અને ε2 emf અને r1 અને r2 આંતરિક અવરોધ ધરાવતાં બે વિદ્યુત કોષોને સમાંતર જોડતાં મળતું સમાસ emf = ……………………

જવાબ

પ્રશ્ન 128.
પરિપથમાં N વિધુતાકોષ દર્શાવેલા છે. દરેક વિદ્યુતકોષનો emf E અને આંતરિક
અવરોધ ૪ છે. પરિપથમાં A અને B બિંદુઓ વિદ્યુતકોષોને n અને N-n માં વિભાજિત
કરે છે, તો પરિપથમાં વહેતો પ્રવાહ = ………………….. હોય

(A)
(B)
(C)
(D) શૂન્ય
જવાબ
(A)
પરિપથમાં વહેતો પ્રવાહ,

પ્રશ્ન 129.
4V emf અને 2 Ω ના આંતરિક અવરોધવાળી એકબીજાને સમાંતર જોડેલી બે બેટરીઓ વડે 1 Ω અવરોધમાં વહેતો વીજપ્રવાહ …………………… A મળે.
(A) 0.5
(B) 1
(C) 2
(D) 4
જવાબ
(C) 2
પરિપથનો સમતુલ્ય આંતરિક અવરોધ

r’ =
∴ પરિપથનો કુલ અવરોધ
R’ = R + R’
= 1 + 1
= 2 Ω
∴ પરિપથમાંથી વહેતો પ્રવાહ
I =
પ્રશ્ન 130.
સમાન emf ε અને સમાન આંતરિક અવરોધ r ધરાવતા n વિધુતકોષોને બંધ પરિપથમાં
જોડવામાં આવેલ છે. આમાંનો એક કોષ વિરોધક સ્થિતિમાં જોડવામાં આવેલ છે, તો
વિધુતકોષ એક સિવાયના બાકીના દરેક વિધુત માટે વિધુતસ્થિતિમાનનો તફાવત
…………………… .
(A)
(B) (
(C) (
(D) (
જવાબ
(A)
(n – 1) કોષો સહાયક સ્થિતિમાં અને એક કોષ વિરોધક સ્થિતિમાં જોડાયેલા હોવાથી,

પ્રશ્ન 131.
220 V અને 100 W ના બે બલ્બ પ્રથમ સમાંતરમાં અને પછી શ્રેણીમાં જોડવામાં
આવે છે. આ દરેક સંયોજનને 220 V ના સપ્લાય સાથે જોડવામાં આવે છે, તો દરેક
કિસ્સામાં અનુક્રમે મળતો કુલ પાવર ………………………………. હશે. (માર્ચ – 2019)
(A) 200 W, 50 W
(B) 100 W, 50 W
(C) 50 W, 100 W
(D) 50 W, 200 W
જવાબ
(A) 200 W, 50 W
સમાંતરમાં પાવર,
Pp = = 100 + 100 = 200 W
શ્રેણીમાં પાવર, PS =
પ્રશ્ન 132.
પોટેશિયોમીટર તારનો વિશિષ્ટ અવરોધ 10-12 Ω અને તેમાંથી વહેતો પ્રવાહ 0.5 A છે. તારના આડછેદનું ક્ષેત્રફળ 10-6m2 હોય, તો વિધુતસ્થિતિમાન પ્રચલન ……………………… Vm-1 થશે.
(A) 2.5 × 10-7
(B) 5.0 × 10-7
(C) 7.5 × 10-7
(D) 10 × 10-7
જવાબ
(B) 5.0 × 10-7
R =
∴ R =
બંને બાજુ I વડે ગુણતાં,
IR =
પ્રશ્ન 133.
પોટેન્શિયોમીટરના એક પ્રયોગમાં તેના તારનો અવરોધ 10 Ω અને લંબાઈ 100 cm છે.
તેની સાથે 2V નો emf ધરાવતાં અને અવગણ્ય આંતરિક અવરોધ ધરાવતો એક કોષ અને
અવરોધ Rને શ્રેણીમાં જોડેલ છે. જો 10 mV ના emf વાળા વોલ્ટેજ પ્રાપ્તિસ્થાન
માટે તટસ્થ બિંદુ 40 cm લંબાઈએ મળતું હોય, તો અવરોધ R નું મૂલ્ય કેટલું
હશે ?
(A) 670 Ω
(B) 790 Ω
(C) 820 Ω
(D) 900 Ω
જવાબ
(B) 790 Ω
Lρρ = 10 Ω, ε = 2V, L = 1 m, r = 0
∴ ρ = 10 2m-1
Vl =
10 × 10-3 =
∴ 10 + R =
∴ R = 800 – 10 ∴ R = 790 Ω
પ્રશ્ન 134.
પોટેન્શિયોમીટર વડે થતાં માપનની ચોકસાઈ વધારવા માટે ………………. .
(A) પોટૅન્શિયોમીટરના તારની લંબાઈ ઘટાડવી પડે
(B) પોટૅન્શિયોમીટરના તારની જાડાઈ વધારવી પડે
(C) પોર્ટેન્શિયોમીટરના તારની લંબાઈ વધારવી પડે
(D) પરિપથની મુખ્ય બૅટરીનો આંતરિક અવરોધ વધારવો પડે જવાબ
(C) પોટૅશિયોમીટરના તારની લંબાઈ વધારવી પડે
પ્રશ્ન 135.
જો પોટેન્શિયોમીટરના તારની જાડાઈ વધારવામાં આવે, તો તાર પરના વિદ્યુતસ્થિતિમાન પ્રચલનમાં ………………….. .
(A) વધારો થાય છે
(B) ઘટાડો થાય છે
(C) વધારો કે ઘટાડો થાય છે
(D) કોઈ ફેરફાર થતો નથી
જવાબ
(B) ઘટાડો થાય છે
વિદ્યુતસ્થિતિમાન પ્રચલન σ =
પ્રશ્ન 136.
બે અજ્ઞાત કોષોના emf ε1 અને ε2 ની સરખામણી કરવાના પોટેશિયોમીટરના પ્રયોગમાં બે કોષોને સહાયક જોડાણ માટે તટસ્થ બિંદુ એક છેડાથી 64 cm અંતરે મળે છે. જો ε2 ના ધ્રુવો ઊલટાવવામાં આવે, તો તટસ્થ બિંદુ એક છેડેથી 32 cm અંતરે મળે છે, તો
(A) 1 : 1
(B) 2 : 1
(C) 3 : 1
(D) 4 : 1
જવાબ
(C) 3 : 1
સહાયક સ્થિતિમાં (ε1 + ε2) ∝ l2
વિરોધક સ્થિતિમાં (ε1 – ε2) ∝ l4
∴
∴ ε1 + ε2 = 2ε1 – 2ε2
∴ 3ε2 = ε1
∴
પ્રશ્ન 137.
વિદ્યુતસ્થિતિમાન પ્રચલનનો એકમ શો છે ?
(A) Vm
(B) V/m
(C) Vm2
(D) V/m2
જવાબ
(B) V/m
પ્રશ્ન 138.
એક પોટેન્શિયોમીટર તારનો નિયમિત આડછેદ (A) અને તે તારના દ્રવ્યનો વિશિષ્ટ
અવરોધ (p) છે, તો તે તારનું વીજસ્થિતિમાન પ્રચલન ……………………… થશે.
(A)
(B)
(C) IAρ
(D)
જવાબ
(D)
વિદ્યુતસ્થિતિમાન પ્રચલન,
σ =
પ્રશ્ન 139.
એક પોટેન્શિયોમીટર તારની અવરોધક્તા 2 × 10-4Ωm છે. તેમાંથી વહેતો પ્રવાહ 1 mA હોય તો, વિદ્યુતસ્થિતિમાન પ્રચલન કેટલું થશે?
(A) 2 × 10-1 V/m
(B) 2 × 10-7 V/m
(C) 2 × 107 V/m
(D) 2 × 101 V/m
જવાબ
(B) 2 × 10-7 V/m
વિદ્યુતસ્થિતિમાન પ્રચલન σ = Iρ = 10-3 × 2 × 10-4
= 2 × 10-7 V/m
પ્રશ્ન 140.
એક પોટેન્શિયોમિટર તારની લંબાઈ 4m અને અવરોધ 20 Ω છે. તેમાંથી 0.1 A નો
પ્રવાહ વહે છે, તો તેના પર વીજસ્થિતિમાન પ્રચલન ………………………. થાય.
(A) 0.5 V/m
(B) 1 V/m
(C) 2 V/m
(D) 0.1 V/m
જવાબ
(A) 0.5 V/m
વીજસ્થિતિમાન પ્રચલન
σ = Iρ = I ×
∴ σ = 0.5 V/m
પ્રશ્ન 141.
પોટેન્શિયોમિટરથી બેટરીનું emf ε1 માપવાના પ્રયોગમાં મુખ્ય પરિપથમાં ε2 emfવાળી બેટરી વાપરવામાં આવે છે, જ્યાં ……………………. .
(A) ε1 = ε2
(B)
(D) ε1 > ε2
(D) ε2 > ε1
જવાબ
(D) ε2 > ε1
પ્રશ્ન 142.
પોટેન્શિયોમીટર તારના પ્રાથમિક પરિપથમાં વિધુતપ્રવાહ 0.5 A છે. તારનો વિશિષ્ટ અવરોધ 4 × 10-7 Ωm અને તેનું આડછેદનું ક્ષેત્રફળ 8 × 10-6m2 છે, તો તાર પર વિધુતસ્થિતિમાન પ્રચલન ……………………. હશે.
(A) 2.5 mV/m
(B) 25 mV/m
(C) 25 V/m
(D) 10 V/m
જવાબ
(B) 25 mV/m
વિદ્યુતસ્થિતિમાન પ્રચલન σ =
∴ σ = 0.25 × 10-1 = 25 × 10-3
∴ σ = 25 mV/m
પ્રશ્ન 143.
આપેલ પોટેન્શિયોમીટર પરિપથમાં AB તારનો અવરોધ 2 Ω અને લંબાઈ 100 cm છે.
તેની સાથે જોડેલ કોષના વોલ્ટેજ 6V અને આંતરિક અવરોધ 1 Ω છે. જો AD = 60 cm
હોય તો ગેલ્વેનોમીટર શૂન્ય કોણાવર્તન દર્શાવ તો વિદ્યુતકોષ C નું emf =
…………………. .

(A) 0.7 V
(B) 0.8 V
(C) 0.9 V
(D) 1.0 V
જવાબ
(C) 0.9 V
I =
=
હવે V = Ipl =
પ્રશ્ન 144.
આપેલ પરિપથમાં ઍમિટર A1 નું અવલોકન 3A હોય, તો A2 નું અવલોકન ……………………..

(A) 2A
(B) 5A
(C)
(D)
જવાબ
(A) 2A
સમાંતર જોડાણ હોવાથી,
I1R1 = I2R2
∴ I2 =
∴ I 2 = 2A
પ્રશ્ન 145.
આપેલ પરિપથમાં P અને Q બિંદુઓ વચ્ચેનો p.d. = ………………………

(A) 24 V
(B) 12 V
(C) 8 V
(D) 4.8 V
જવાબ
(A) 24 V
P અને Q વચ્ચેનો p.d.
કોઈ પણ માર્ગે વહેતા પ્રવાહના લીધે મળે છે.
∴ V = I(4 +12) અથવા V = I'(2 + 6)
= 1.5 (16) = 3(8)
∴ V = 24 V = 24 V
પ્રશ્ન 146.
આપેલ પરિપથમાં P અને Q બિંદુઓ વચ્ચેનો p.d. = …………………….

(A) 9.6 V
(B) 6.6 V
(C) 4.8 V
(D) 3.2 V
જવાબ
(D) 3.2V
= પરિપથમાંથી વહેતો પ્રવાહ,
I =
I =
P અને Q વચ્ચેનો p.d.,
V = I(R) = 0.16 × 20 = 3.2V
પ્રશ્ન 147.
એક હારમાં m કોષો ધરાવતી n હારોને એકબીજા સાથે સમાંતર જોડેલ છે. આ સંયોજનને
3 Ω ના બાહ્ય અવરોધ સાથે જોડેલ છે. જો આ રચનામાં મહત્તમ પ્રવાહ વહેતો હોય
તો આ સંયોજનમાં 24 કોષો હોય અને કોષનો આંતરિક અવરોધ 0.5 2 હોય, તો ……………………
(A) m = 2, n = 12
(B) m = 8, n = 3
(C) m = = 6, n = 4
(D) m = 12, n = 2
જવાબ
(D) m = 12, n = 2
અહીં mn = 24 …………….. (1)
મહત્તમ પ્રવાહ માટેની શરત R =
∴ 3 =
∴ 6n = m ……………. (2)
સમીકરણ (1) પરથી
6n(n) = 24
∴ 6n2 = 24
∴ n2 = 4
∴ n = 2
સમીકરણ (2) પરથી
6 × 2 = m
∴ m = 12
પ્રશ્ન 148.
એક વિદ્યુત મોટરને 200V ના D.C. સપ્લાય સાથે જોડતાં 5A પ્રવાહ ખેંચે છે. જો
આ મોટરની યાંત્રિક ક્ષમતા 60% હોય, તો મોટરના વાઇન્ડિંગ તારનો અવરોધ
………………………. હશે.
(A) 4 Ω
(B) 8 Ω
(C) 24 Ω
(D) 16 Ω
જવાબ
(D) 16 Ω
મોટરનો વિદ્યુત પાવર Pe = VI = 200 × 5 = 1000 W
મોટરનો યાંત્રિક પાવર Pm = Pe ના 60 %
= 1000 ×
ઉષ્મારૂપે વિખેરણ પામતો પાવર,
P = Pe – Pm = 1000 – 600
I2r= 400 W
∴ r =
પ્રશ્ન 149.
L1, L2 અને L3 ત્રણ સમાન બલ્બોને પાવર સપ્લાય S સાથે આકૃતિમાં દર્શાવ્યા પ્રમાણે જોડેલાં છે. જો L3 બલ્બ ઊડી જાય તો બુ L1 અને L2 માં પ્રકાશની તીવ્રતામાં શું ફેર પડશે ?

(A) કોઈ ફેર પડશે નહીં.
(B) L1 ની તેજસ્વિતા ઘટે અને L2 ની વધે.
(C) L1 અને L2 એમ બંનેની તેજસ્વિતા વધે છે.
(D) L1 ની તેજસ્વિતા વધે અને L2 ની ઘટે.
જવાબ
(B) L1 ની તેજસ્વિતા ઘટે અને L2 ની વધે.
જ્યારે પરિપથમાં L3 હોય ત્યારે પરિપથનો અવરોધ ઓછો હોય પણ તે ઊડી જતાં પરિપથનો અવરોધ વધે V = IR અનુસાર V અચળ જ છે તેથી R વધતા I ઘટે તેથી L1 બલ્બ ઓછો પ્રકાશિત થશે.
⇒ અને L3 ઊડી જતાં બધો પ્રવાહ L2 માંથી જ પસાર થશે તેથી તે વધારે પ્રકાશિત થશે.
પ્રશ્ન 150.
એક ઘરના વાયરિંગમાં 15 A નું સર્કિટ બ્રેકર મૂકેલું છે. સપ્લાયના વોલ્ટેજ
220 V તો 100 W ના વધુમાં વધુ કેટલા બલ્બ એકસાથે ઘરમાં ચાલુ રાખી શકાય ?
(A) 3
(B) 6
(C) 22
(D) 33
જવાબ
(D) 33
ધારો કે, એકસાથે n બલ્બો ચાલુ રાખી શકાય.
∴ n બલ્બોનો કુલ પાવર = nP
∴ nP = VI
∴ n =
પ્રશ્ન 151.
20 Ωવાળા સાત અવરોધો 2 વોલ્ટની બેટરી આકૃતિમાં દર્શાવ્યા મુજબ જોડેલા છે, તો ઍમિટરનું રીડિંગ કેટલું થશે ?

(A) (
(B) (
(C) (
(D) (
જવાબ
(C) (
બધા અવરોધો સમાંતરમાં હોવાથી બધા અવરોધોનો p.d સમાન.
∴ V = IR
∴ 2 = I × 20
∴ I =
4 અવરોધોને છોડીને ઍમિટર જોડેલું હોવાથી તેનું અવલોકન =
પ્રશ્ન 152.
2 Ω ના અવરોધ સાથે બે એકસમાન કોષોને શ્રેણીમાં કે સમાંતરમાં જોડતા જો 2 Ω
ના અવરોધમાંથી વહેતો પ્રવાહ સરખો હોય, તો દરેક કોષનો આંતરિક અવરોધ =
……………………. .
(A) 0.5 Ω
(B) 1.5 Ω
(C) 1 Ω
(D) 2 Ω
જવાબ
(D) 2 Ω
શ્રેણીજોડાણમાં પ્રવાહ I1 =
સમાંતર જોડાણમાં પ્રવાહ I2 =
પણ I1 = I2
∴
∴ nR + r = R + nr
∴ R(n – 1) = r(n – 1)
જો n – 1 ≠ 0 હોય તો R = r પણ અહીં R = 2 Ω છે.
∴ r = 2 2 Ω છે.
પ્રશ્ન 153.
એક ઇલેક્ટ્રિક હીટર દ્વારા આપેલા જથ્થાનું પાણી 5 મિનિટમાં ઊકળવા લાગે છે.
જો આ હીટરને લાગુ પાડવામાં આવતો સપ્લાય વોલ્ટેજ અડધો કરવામાં આવે, તો આટલા જ
જથ્થાનું પાણી કેટલા સમયમાં ઊકળશે ?
(A) 10 min
(B) 20min
(C) 40 min
(D) 2.5 min
જવાબ
(B) 20 min
H =
∴ V2 =
∴ V2 ∝
(બાકીનાં પદો સમાન)
∴
∴
∴ 4t1 = t2
∴ t2 = 4 × 5
∴ t2 = 20 min
(a) વિધાન અને કારણ બંને સત્ય છે અને કારણ વિધાનની સાચી સમજૂતી છે.
(b) વિધાન અને કારણ બંને સત્ય છે, પરંતુ કારણ એ વિધાનની સાચી સમજૂતી નથી.
(c) વિધાન સાચું છે, પરંતુ કારણ ખોટું છે.
(d) વિધાન અને કારણ બંને ખોટા છે.
પ્રશ્ન 154.
વિધાન : સાદી બેટરીવાળા પરિપથમાં ઓછા વિદ્યુતસ્થિતિ માનને બૅટરીનો ધનધ્રુવ કહે છે.
કારણ : પરિપથમાં ઊંચા વીજસ્થિતિમાન તરફ વહેતો વીજપ્રવાહ ઋણધ્રુવથી ધનધ્રુવ તરફ વહે છે.
(A) a
(B) b
(D) d
(C) c
જવાબ
(D) d
પરિપથમાં ઓછા સ્થિતિમાનને બૅટરીનો ઋણધ્રુવ કહે છે, તેથી વિધાન ખોટું છે.
પરિપથમાં વીજપ્રવાહ ધનવથી ઋણધ્રુવ તરફનો જ હોય છે તેથી કારણ પણ ખોટું છે.
પ્રશ્ન 155.
વિધાન : જેમ તાપમાન વધારવામાં આવે તેમ ધાતુમાં રહેલા ઇલેક્ટ્રોનનો ડ્રિફ્ટવેગ ઘટે છે.
કારણ : તાપમાન વધારવામાં આવે, તો ધાતુની વાહકતા ઘટે છે.
(A) a
(B) b
(C) c
(D) d
જવાબ
(B) b
vd = aτ માં τ એ રિલેક્સેશન સમય છે અને a પ્રવેગ છે. તાપમાન વધતાં τ ઘટે તેથી vd પણ ઘટે છે આથી વિધાન સાચું છે.
ધાતુની વાહકતા σ =
તાપમાન વધતાં R વધે તેથી σ ઘટે છે તેથી કારણ પણ સાચું છે પણ કારણ એ વિધાનની સાચી સમજૂતી નથી.
પ્રશ્ન 156.
વિધાન : 100 W ના બલ્બ કરતાં 60W ના ગોળાનો અવરોધ વધુ હોય છે.
કારણ : P = VI = I2R =
(A) a
(B) b
(C) c
(D) d
જવાબ
(B) b
વિધાન અને કારણ બંને સાચાં છે, કારણ એ વિધાનની સાચી સમજૂતી નથી.
પ્રશ્ન 157.
આપેલ પરિપથમાં કુલ પાવર વ્યય 150 W છે, તો અવરોધ R નું મૂલ્ય ……………………. (2002)

(A) 2 Ω
(B) 6 Ω
(C) 5 Ω
(D) 4 Ω
જવાબ
(B) 6 Ω
સમાંતર જોડાણમાં વપરાતો પાવર PP = P2 + PR

∴ R = 6 Ω
પ્રશ્ન 158.
તાંબાની અને જર્મેનિયમની પટ્ટીઓનું તાપમાન ઓરડાના તાપમાનથી ઘટાડીને 80 K જેટલું કરતાં ……………….(2003)
(A) બંનેનો અવરોધ ઘટશે.
(B) બંનેનો અવરોધ વધશે.
(C) તાંબાની પટ્ટીનો અવરોધ વધશે જ્યારે જર્મેનિયમની પટ્ટીનો અવરોધ ઘટશે.
(D) તાંબાની પટ્ટીનો અવરોધ ઘટશે જયારે જર્મેનિયમની પટ્ટીનો અવરોધ વધશે.
જવાબ
(D) તાંબાની પટ્ટીનો અવરોધ ઘટશે જ્યારે જર્મેનિયમની પટ્ટીનો અવરોધ વધશે.
તાંબું એ સુવાહક છે તેથી તેનું તાપમાન ઘટતાં અવરોધ ઘટશે અને જર્મેનિયમ એ અર્ધવાહક છે તેથી તેનું તાપમાન ઘટતા અવરોધ વધશે.
પ્રશ્ન 159.
આકૃતિમાં દર્શાવ્યા પ્રમાણે અવગણ્ય અવરોધ ધરાવતી 3V ની બૅટરીને પરિપથમાં જોડી છે. પરિપથમાં વહેતો પ્રવાહ I કેટલો મળશે ? (2003)

(A) 1 A
(B) 1.5 A
(C) 2A
(D)
જવાબ
(B) 1.5 A
B – C – A નો અવરોધ = 6 Ω
∴ A અને B વચ્ચેનો સમતુલ્ય અવરોધ R હોય તો
∴ R = 2 Ω ∴ I =
પ્રશ્ન 160.
220 V, 1000 W ના બલ્બને 110V ના મેઇન્સ સાથે જોડતાં તેમાં ખેંચાતો પાવર …………………… (2003)
(A) 750 W
(B) 500 W
(C) 250W
(D) 1000 W
જવાબ
(C) 250 W

∴ P2 = 250W
પ્રશ્ન 161.
શ્રેણીમાં જોડેલા બે અવરોધોનો સમતુલ્ય અવરોધ S છે. જ્યારે તેમને સમાંતરમાં
જોડવામાં આવે તો સમતુલ્ય અવરોધ P છે. જો S = nP હોય, તો n ની લઘુતમ શક્ય
કિંમત કઈ હોય? (2004)
(A) 4
(B) 3
(C) 2
(D) 1
જવાબ
(A) 4
ધારો કે અવરોધ R1 અને R2 છે.
શ્રેણીજોડાણમાં S = R1 + R2 અને
સમાંતર જોડાણમાં P =
S = nP
∴ R1 + R2 =
∴ (R1 + R2)2 = nR1R2
જો R1 = R2 લઈએ તો
પ્રશ્ન 162.
એક જ દ્રવ્યના બનેલા બે તારની લંબાઈનો ગુણોત્તર
(A) 3
(B)
(C)
(D) 2
જવાબ
(B)
બે તારના અવરોધો R1 અને R2 ધારો.
બંને સમાંતરમાં હોવાથી વિદ્યુતસ્થિતિમાન સમાન હોય.
∴ I1R1 = I2R2

પ્રશ્ન 163.
એક વ્હીટસ્ટન બ્રિજના પ્રયોગમાં અવરોધ X અને અવરોધ Y ને સમતોલતી વખતે તારના
એક છેડેથી 20 cm અંતરે તટસ્થબિંદુ મળે છે. જો X ને બદલે 4π અવરોધ લઈએ તો,
તટસ્થબિંદુ હવે તે જ છેડેથી કેટલા અંતરે મળશે ? (2004)
(A) 50 cm
(B) 80 cm
(C) 40 cm
(D) 70 cm
જવાબ
(A) 50 cm
પહેલી સ્થિતિમાં, =
બીજી સ્થિતિમાં,
∴ 4 ×
∴ 100 – l1‘ = l1‘
∴ 100 = 2l1‘
∴ l1‘ = 50 cm
પ્રશ્ન 164.
સમાન emf વાળા બે કોષોના સહાયક જોડાણ સાથે બાહ્ય અવરોધ R જોડીને બંધ પરિપથ લૂપ બનાવેલી છે. આ કોષના આંતરિક અવરોધો R1 અને R2 છે, જ્યાં R2 > R1 છે. જો R2 આંતરિક અવરોધના બે છેડાઓ વચ્ચેનો p.d. શૂન્ય હોય તો, R = ………………….. .(2005)
(A) R =
(B) R =
(C) R = R2 –
(D) R = R2 – R1
જવાબ
(D) R = R2 – R1

ABCDFA બંધ ગાળા માટે કિર્ચીફના બીજા નિયમ પરથી,
IR2 + IR + IR1 = ε + ε
I(R + R1) – ε = ε – IR2
પણ બીજા કોષ માટે V = ε – IR2 શૂન્ય છે.
∴ O = ε – IR2
∴ ε = IR2 ………………(1)
∴ I(R + R1) – IR2 = 0
∴ R + R1 = R2 ∴ R = R2 – R1
પ્રશ્ન 165.
100 W, 200 V રેટિંગવાળા બલ્બનો વપરાશમાં હોય ત્યારે અવરોધ, તે જ્યારે
વપરાશમાં ન હોય ત્યારના અવરોધ કરતાં 10 ગણો છે, તો બલ્બનો વપરાશમાં ન હોય
ત્યારનો અવરોધ ……………………… (2005)
(A) 400 Ω
(B) 200 Ω
(C) 40 Ω
(D) 20 Ω
જવાબ
(C) 40 Ω
જ્યારે બલ્બ વપરાશમાં હોય ત્યારનો અવરોધ,
R1 =
જ્યારે તે વપરાશમાં ન હોય ત્યારે અવરોધ R2 હોય તો,
R1 = 10 R2
∴ 400 = 10 R2 ∴ R2 = 40 Ω
પ્રશ્ન 166.
આપેલ લોડ અવરોધ સાથે જોડેલું ઉદ્ગમ લોડ અવરોધમાંથી ત્યારે જ અચળ મૂલ્યનો
પ્રવાહ વહેવડાવશે કે જ્યારે ઉદ્ગમનો આંતરિક અવરોધ ……………………… (2005)
(A) બાહ્ય લોડ અવરોધ જેટલો હોય.
(B) ખૂબ જ મોટો હોય.
(C) શૂન્ય હોય.
(D) અશૂન્ય પરંતુ લોડ અવરોધ કરતાં ઓછો હોય.
જવાબ
(C) શૂન્ય હોય.

બૅટરી ઉદ્ગમમાંથી વહેતો પ્રવાહ,
I =
જો r = 0 હોય તો, I =
પ્રશ્ન 167.
એક પોટેન્શિયોમીટર તારની લંબાઈ 240 cm વડે એક કોષને સમતોલી શકાય છે. જો આ
કોષ સાથે 20 નો શંટ જોડવામાં આવે તો, હવે તેને 120 cm વડે સમતોલી શકાય છે
તો, આ કોષનો આંતરિક અવરોધ …………………… (2005)
(A) 4 Ω
(B) 2 Ω
(C) 1 Ω
(D) 0.5 Ω
જવાબ
(B) 2 Ω
આંતરિક અવરોધના સૂત્ર,
r = s(
પ્રશ્ન 168.
B ધાતુની અવરોધકતા, A ધાતુની અવરોધકતા કરતાં બમણી છે. B ધાતુના તારનો વ્યાસ
A ધાતુના તારના વ્યાસ કરતાં બમણો છે. જો બંને તારોનો અવરોધ સમાન હોય તો
તેમની
લંબાઈનો ગુણોત્તર
(A)
(B) 2
(C) 1
(D)
જવાબ
(B) 2
પ્રશ્ન 169.
નીચેના પરિપથમાં 5V ના ઉદ્ગમમાંથી નીકળતો પ્રવાહ I = …………………… છે. (2006)

(A) 0.17 A
(B) 0.33 A
(C) 0.5 A
(D) 0.67 A
જવાબ
(C) 0.5 A

સમતુલ્ય પરિપથ મુજબ છે :
અહીં વ્હીસ્ટન બ્રિજ સમતોલનમાં હોવાથી B અને Cના અવરોધને અવગણી શકાય.
∴ A – B – D નો અવરોધ R1 = 15 Ω
∴ A – C – D નો અવરોધ R2 = 30 Ω
∴ પરિપથનો સમાસ અવરોધ,
R =
=
∴ પરિપથમાં વહેતો પ્રવાહ I =
પ્રશ્ન 170.
એક અવરોધક તારનો 50°C તાપમાને અવરોધ 5 Ω અને 100°C તાપમાને અવરોધ 6 Ω છે, તો 0°C તાપમાને તેનો અવરોધ ………………………… (2007)
(A) 2 Ω
(B) 1 Ω
(C) 3 Ω
(D) 4 Ω
જવાબ
(D) 4 Ω
Rt = R0(1 + α (t – tO)
∴ 5 = R0 (1 + α (50 – 0))
∴ 5 = R0 (1 + 50α) ……………… (1)
અને 6 R0 (1 + α (100 – 0))
∴ 6 = R0 (1 + 100α)
∴
∴ 5 + 500α = 6 + 300α
∴ 200α = 1
∴ α =
હવે, સમી. (1) માં α =
5 = R0 [1 + 50 ×
∴ 5 = R0[1 +
∴ 5 = R0 ×
∴ R0 = 4 Ω
પ્રશ્ન 171.
બે વાહકતારનો અવરોધ 0 °C તાપમાને સમાન છે. તેમની અવરોધકતાના તાપમાન ગુણાંક α1 અને α2 છે. આ અવરોધોના શ્રેણી અને સમાંતર જોડાણ માટેના તાપમાન ગુણાંક અનુક્રમે ……………………… (2010)
(A)
(B)
(C) α1 + α2,
(D) α1 + α2,
જવાબ
(A)
– ધારો કે 0° C તાપમાને બંને વાહકતારનો અવરોધ = R0
θ તાપમાને બંનેના અવરોધો,

સમાંતર અવરોધોના જોડાણમાં સમાસ અવરોધ તેના શ્રેણીજોડાણ કરતાં ઓછો અથવા તેટલો જ થાય. તેથી વિકલ્પ (A) સાચો છે.
પ્રશ્ન 172.
એક પોટેન્શિયોમીટરના પ્રાથમિક સર્કિટમાંથી 0.2 A નો પ્રવાહ વહે છે. આ પોટેન્શિયોમીટર વાયરની અવરોધકતા 4 × 10-7 2m અને આડછેદનું ક્ષેત્રફળ 8 × 10-7 m2 છે, તો વિધુતસ્થિતિમાન પ્રચલનનું મૂલ્ય …………………….(2011)
(A) 0.2
(B) 1
(C) 0.3
(D) 0.1
જવાબ
(D) 0.1
વિદ્યુતસ્થિતિમાન પ્રચલન σ =
∴ σ = 0.1
પ્રશ્ન 173.
ધાતુના સુરેખ તારની લંબાઈમાં 0.1 % નો વધારો કરવામાં આવે તો, તેના અવરોધમાં ………………….. (2011)
(A) 0.2 % નો વધારો થશે.
(B) 0.2 % નો ઘટાડો થશે.
(C) 0.05 % નો ઘટાડો થશે.
(D) 0.05 % નો વધારો થશે.
જવાબ
(A) 0.2 % નો વધારો થશે.
⇒ R =
∴ R ∝ l2
∴
= 2 × 0.1 % = 0.2 %
અને R ∝ l હોવાથી વધારો થાય.
પ્રશ્ન 174.
(100 ± 5 %)Ω ના ચાર અવરોધોમાંથી 400 Ω અવરોધ બનાવવામાં આવે તો, તેનું ટોલરન્સ ………………….. (2008, 11)
(A) 20 %
(B) 5 %
(C) 10 %
(D) 15 %
જવાબ
(B) 5 %
આપેલા દરેક અવરોધ R = (100 ± 5%)
∴ Rmax = (100 + 5) Ω = 105 Ω અને
Rmin = (100 – 5) Ω = 95 Ω
હવે, ચાર અવરોધોનું શ્રેણીજોડાણ કરતાં,
R(S)max 4 × Rmax = 4 × 105 = 420 Ω
= (400 + 20) Ω
R(S)min = 4 × Rmin = 4 × 95 = 380 Ω
= (400 – 20) Ω
400 Ω = 20 Ω નું ટૉલરન્સ,
તો 100 Ω = ?
[latex]\frac{20 \times 100}{400}\) = 5%
પ્રશ્ન 175.
25 W, 200 V તથા 100 W, 220V પાવરરેટિંગ ધરાવતા બે વિધુતગોળાઓને શ્રેણીમાં
જોડી 440V નો સપ્લાય લાગુ પાડવામાં આવે તો, કયો ગોળો વહેલો ઊડી જશે ?
(2012)
(A) બંને
(B) 100 W નો ગોળો
(C) 25 W નો ગોળો
(D) એક પણ નહીં
જવાબ
(C) 25 W નો ગોળો
25 W ના ગોળાનો અવરોધ R1 =
100 W ના ગોળાનો અવરોધ R2 =
શ્રેણીજોડાણનો અવરોધ R = R1 + R2
1936 + 484
= 2420 Ω
I =
હવે, V11 = IR1 = 0.182 × 1936
V11 = 352 V
V11 > V1 હોવાથી 25 W નો ગોળો વહેલો ઊડી જશે.
અને V21 = IR2 = 0.182 × 484
V21 = 88 V
V21 < V1 હોવાથી 100Wનો ગોળો ઊડશે નહીં.
પ્રશ્ન 176.
એક મોટા મકાનમાં 40 W ના 15 ગોળા, 100 W ના 5 ગોળા 80 W ના 5 પંખા અને 1W
નું હીટર છે. સપ્લાયના વોલ્ટેજ 220V છે. તો મકાનનો લઘુતમ ક્ષમતા ધરાવતો
ફ્યૂઝ …………………… A નો હશે. (2014)
(B) 12
(A) 10
(C) 14
(D) 8
જવાબ
(B) 12
કુલ વપરાતી વિદ્યુતઊર્જા,
= 15 × 40 + 5 × 100 + 5 × 80 + 1000
= 600 + 500 + 400 + 1000
VI = 2500
∴ I =
=
∴ I = 11.3636 A
∴ I ≈ 12 A
પ્રશ્ન 177.
આપેલા પરિપથમાં અવરોધ R ના કયા મૂલ્ય માટે ગેલ્વેનોમીટરનું અવલોકન શૂન્ય થશે ? બંને બેટરીઓનો આંતરિક અવરોધ અવગણ્ય છે. (2012, 2015)

(A) 10 Ω
(B) 100 Ω
(C) 500 Ω
(D) 200 Ω
જવાબ
(B) 100 Ω
– R ના બે છેડા વચ્ચેનો p. d. 2 V હોવાથી 500 Ω ના બે છેડા વચ્ચેનો p.d. 10V થશે.
– 500 – Ω અવરોધમાંથી વહેતો પ્રવાહ
I =
∴ R અવરોધ માટે,
2 = IR ⇒ R =
પ્રશ્ન 178.
આકૃતિમાં દર્શાવલ પરિપથમાં 1 Ω અવરોધમાંથી પસાર થતો વીજપ્રવાહ ………………….. હશે. (JEE – 2015)

(A) P થી Q તરફ 1.3 A
(B) 0 A
(C) O થી P તરફ 0.13 A
(D) P થી Q તરફ 0.13 A
જવાબ
(C) Q થી P તરફ

FPDCQAF બંધગાળા માટે કિોંફના બીજા નિયમ પરથી
-2I + 6 − 3(I – I1) – 3I = -9
∴ -2I – 3I + 3I1 – 3I = -9 – 6
∴ 8I – 3I1 = 15 …………… (1)
હવે FPQAF બંધગાળા માટે કિર્ચીફના બીજા નિયમ પરથી
-2I – I1 – 3I = -9
∴ 5I + I1 = 9 ………………. (2)
સમી. (1) ને 5 વડે અને સમી. (2)ને 8 વડે ગુણી બાદ કરતાં

∴ I1 = –
∴ I1 = 0.13 A
PQ માં પ્રવાહ I1 ની દિશા ઋણ મળે છે તેથી પ્રવાહ Q થી P તરફ છે.
પ્રશ્ન 179.
Cu અને અનડોપ (undoped) Si ના અવરોધોની તાપમાન નિર્ભરતા, તાપમાન વિસ્તાર
300 – 400 K સાથેના સંબંધને યોગ્ય રીતે વર્ણવી શકાય : (JEE 2016)
(A) Cu માટે સુરેખીય વધારો, Si માટે સુરેખીય વધારો.
(B) Cu માટે સુરેખીય વધારો, Si માટે ચરઘાતાંક વધારો.
(C) Cu માટે સુરેખીય વધારો, Si માટે ચરઘાતાંક ઘટાડો.
(D) Cu માટે સુરેખીય ઘટાડો, Si માટે સુરેખીય ઘટાડો.
જવાબ
(C) Cu માટે સુરેખીય વધારો, Si માટે ચરઘાતાંક ઘટાડો. Cu એ સુવાહક છે, તેથી
Cu માટે તાપમાન વધતાં અવરોધ રેખીય રીતે વધે. Si એ અર્ધવાહક છે તેથી Si માટે
તાપમાન વધતાં અવરોધ ચરઘાતાંકીય રીતે ઘટે છે.
પ્રશ્ન 180.
નિમ્નમાંથી કયું વિધાન ખોટું છે ? (JEE – 2017)
(A) રિહ્યોસ્ટેટનો ઉપયોગ પોટૅન્શિયલ ડીવાઇડર તરીકે થઈ શકે છે.
(B) કિોંફનો બીજો નિયમ ઊર્જા સંરક્ષણ દર્શાવે છે.
(C) વ્હીટસ્ટન-બ્રિજ અતિ સંવેદનશીલ સ્થિતિમાં હોય જ્યારે તેના ચારેય અવરોધો પરિમાણનાં સરખા ક્રમના હોય.
(D) સમતુલ્ય વ્હીટસ્ટન-બ્રિજમાં જો સેલ અને ગૅલ્વેનોમીટરના સ્થાન પરસ્પર બદલવામાં આવે, તો નલ-પૉઇન્ટ વિક્ષોભિત થાય છે.
જવાબ
(D) સમતુલ્ય વ્હીટસ્ટન-બ્રિજમાં જો સેલ અને ગૅલ્વેનોમીટરના સ્થાન પરસ્પર બદલવામાં આવે, તો નલ-પૉઇન્ટ વિક્ષોભિત
થાય છે.
તટસ્થ બિંદુ બદલાતું નથી.
પ્રશ્ન 181.

ઉપરોક્ત પરિપથમાં દરેક અવરોધમાંનો વીજપ્રવાહ છે. (JEE – 2017)
(A) 0.5 A
(B) 0 A
(C) 1 A
(D) 0.25 A
જવાબ
(B) 0 A

દરેક અવરોધના બે છેડા વચ્ચેનો વિદ્યુતસ્થિતિમાન સમાન હોવાથી, દરેક અવરોધમાંથી પ્રવાહ વહેશે નહીં.
પ્રશ્ન 182.
આકૃતિમાં બતાવેલ પરિપથ માટે પ્રવાહ જ્યારે સ્થાયી અવસ્થા પ્રાપ્ત કરે
ત્યારે કેપેસિટન્સ C ના કેપેસિટર પરનો વિધુતભાર હશે. (JEE – 2017)

(A) CE
(B) CE
(C) CE
(D) CE
જવાબ
(A) CE

પ્રશ્ન 183.
12 V અને 13 V emf ધરાવતી બે બેટરીઓને 10 Ω ભાર અવરોધ સાથે સમાંતરમાં જોડેલ
છે. બંને બૅટરીઓના આંતરિક અવરોધ અનુક્રમે 1 Ω અને 2 Ω છે. ભાર
અવરોધને સમાંતર વૉલ્ટેજ …………………….. ની વચ્ચે હશે. (JEE – 2018)
(A) 11.6 V અને 11.7 V
(B) 11.5 V અને 11.6 V
(C) 11.4V અને 11.5 V
(D) 11.7 V અને 11.8 V
જવાબ
(B) 11.5 V અને 11.6 V
E1 = 12 V, r1 = 1 Ω, R = 10 Ω
E2 = 13 V, r2 = 2 Ω,

∴ I = 1.156 A
∴ V = IR
= 1.156 × 10
= 11.56 V
∴ આમ V = 11.5 V અને V = 11.6 V ની વચ્ચે મળશે.
પ્રશ્ન 184.
એક પોટેન્શિયોમીટરના પ્રયોગમાં, એવું જોવા મળે છે કે જ્યારે વિદ્યુતકોષના
છેડાને પોટેન્શિયોમીટરના 52 cm તાર સાથે જોડતા ગેલ્વેનોમીટરમાંથી પસાર થતો
પ્રવાહ શૂન્ય બને છે. જો કોષને 5 Ω અવરોધથી શંટ કરતાં, તારની લંબાઈ 40 cm
માટે સમતોલન સ્થિતિ મળે છે. કોષનો આંતરિક અવરોધ શોધો. (JEE-2018)
(A) 1 Ω
(B) 1.5 Ω
(C) 2 Ω
(D) 2.5 Ω
જવાબ
(B) 1.5 Ω
પોટૅન્શિયોમીટરની મદદથી વિદ્યુતકોષનો આંતરિક અવરોધ

= 1.5 Ω
પ્રશ્ન 185.
મીટરબ્રિજમાં અવરોધોની અદલાબદલી કરતાં, સમતોલન બિંદુ ડાબી બાજુ 10 cm
જેટલું ખસે છે. તેમના શ્રેણી જોડાણનો અવરોધ 1 k Ω છે. તો ડાબી બાજુની બારી
(slot) માં પ્રથમ માપણી વખતે કેટલો અવરોધ હશે ? (JEE – 2018)
(A) 990 Ω
(B) 505 Ω
(C) 550 Ω
(D) 910 Ω
જવાબ
(C) 550 Ω
પ્રથમ સ્થિતિમાં
જ્યાં l2 100 – l
સ્થાન અદલ બદલ કરતાં,
જ્યાં l’ = 100 – (l – 10) = 100 – l + 10 = 110 – l
હવે
∴ l2 – 10l= 11000 – 100l – 110l + l2
∴ 200 l = 11000 ∴ l = 55 cm
હવે સમી. (1) પરથી,
∴
∴ 9 R1 = 11000 – 11 R1
∴ 20 R1 = 11000 ∴ R = 550 Ω
પ્રશ્ન 186.
નીચેના પરિપથમાં 1 Ω ના અવરોધમાં વહેતો પ્રવાહ I ને એમ્પિયર એકમમાં શોધો. (JEE Jan.- 2020)
(A) 0.50
(B) 0.30
(C) 0.25
(D) 0.20
જવાબ
(D) 0.20

C અને D વચ્ચેનો સમતુલ્ય અવરોધ R1 =
∴ B અને E વચ્ચેનો સમતુલ્ય અવરોધ R2 = R1 + 2 =
=
હવે R2 અને AF નો 2Ω ના અવરોધના જોડાણનો સમતુલ્ય અવરોધ

આપેલ પરિપથમાં BE ના વોલ્ટેજ = AF ના વોલ્ટેજ = 1V
∴ BE માંથી વહેતો પ્રવાહ =
હવે B – C – D – E માં એક જ મૂલ્યનો પ્રવાહ વહે અને તે
∴ 1Ω ના કોઈ પણ અવરોધમાંથી વહેતો પ્રવાહ
I =
∴ I =
પ્રશ્ન 187.
એક ઘરમાં 45W ના 15 બલ્બ, 100 Wના 15 બલ્બ, 10W ના 15 બલ્બ તથા 1 kW ના બે
હીટરને 220 V ના મુખ્ય સપ્લાય સાથે જોડેલાં છે, તો ફ્યૂઝ તારમાંથી વહેતા
લઘુતમ પ્રવાહનું મૂલ્ય ………………………… હશે. (JEE Jan.- 2020)
(A) 5 A
(B) 20 A
(C) 25 A
(D) 15 A
જવાબ
(B) 20 A
કુલ પાવર = 15 × 45 + 100 × 15 + 10 × 15 + 1000 × 2
P = 675 + 1500 + 150 + 2000
∴ P = 4325 W
હવે VI = 4325
∴ I =
∴ I = 19.659 A ∴ I ≈ 20 A
પ્રશ્ન 188.
અજ્ઞાત વિધુત ચાલકબળની બેટરીને એક પોટેન્શિયોમીટર સાથે જોડેલી છે. ત્યારે
સંતુલન 560 cm અંતરે મળે છે. જો 10 Ω નો અવરોધ બેટરીની સાથે સમાંતરમાં
જોડવામાં આવે તો, સંતુલન 60 cm અંતરે બદલાઈ જાય છે. જો બેટરીના આંતરિક
અવરોધ
(A) 10
(B) 11
(C) 12
(D) 14
જવાબ
(C) 12
ધારો કે, બૅટરીનું emf ε છે અને આંતરિક અવરોધ r અને સ્થિતિમાન પ્રચલન x છે.
જ્યારે માત્ર બૅટરી જોડેલી હોય તો ε = 560x …………….. (1)
અવરોધ જોડ્યા બાદ,
સમીકરણ (1) અને (2) પરથી,
∴ 56 = 50 + 5r ∴ 6 = 5r
∴ r = 1.2 Ω
∴
પ્રશ્ન 189.
1200 cm લંબાઈના પોટેન્શિયોમીટર તારમાંથી 60mA પ્રવાહ વહી રહ્યો છે. 20Ω નો
આંતરિક અવરોધ અને 5V ની બેટરી જોડતાં પોટેન્શિયોમીટર તાર પર 1000 cm અંતરે
તટસ્થ બિંદુ મળે છે, તો પોટેન્શિયોમીટર તારનો અવરોધ …………………… હશે. (JEE
Jan.- 2020)
(A) 60 Ω
(B) 80 Ω
(C) 100 Ω
(D) 120 Ω
જવાબ
(C) 100 Ω

ધારો કે પ્રાથમિક બૅટરીનો ટર્મિનલ વોલ્ટેજ VP છે. આ પોટૅન્શિયોમીટરના તાર પરના ગમે તે તટસ્થ બિંદુ માટે VP
અચળ જ રહે છે.
∴ વિદ્યુતસ્થિતિમાન પ્રચલન =
∴
∴ Vp =
∴ પોર્ટેન્શિયોમીટર તારનો અવરોધ RP =
∴RP =
∴ RP = 100Ω
પ્રશ્ન 190.
એક વ્હીટસ્ટન બ્રિજની ભુજાઓમાં 15 Ω, 12 Ω, 4 Ω અને 10 Ω ના ચાર અવરોધોને
ચક્રીય ક્રમમાં જોડેલા છે. બ્રિજના સમતોલન માટે 10 Ω ની સાથે સમાંતરમાં
જોડવા પડતાં અવરોધનું મૂલ્ય શોધો. (JEE Jan.- 2020)
(A) 10 Ω
(B) 5 Ω
(C) 15 Ω
(D) 20 Ω
જવાબ
(A) 10 Ω

ધારો કે P = 15 Ω, Q = 12 Ω
R = 4 Ω, S =
ધારો કે 10 Ω ને સમાંતર r અવરોધ જોડતાં બ્રિજ સમતોલનમાં આવે છે.
વ્હીટસ્ટન બ્રિજના સમતોલન માટે,

∴ 50 + 5r = 10r
∴ 50 = 5r
∴ r = 10 Ω
પ્રશ્ન 191.
3V ના emf અને r આંતરિક અવરોધ ધરાવતાં એક કોષના ટર્મિનલ વોલ્ટેજ 2.5V અને
અવરોધ R માં ઉષ્માનો વ્યય 0.5 W હોય, તો આંતરિક અવરોધમાં પાવર વ્યય કેટલો
હશે ? (JEE Main – 2020)

(A) 0.125 W
(B) 0.50 W
(C) 0.10 W
(D) 0.072 W
(C) 0.10 W
અહીં, ε = 3 V, VR = 2.5 V, PR = 0.5 W, Pr = ?

બંધ પરિપથ માટે કિર્ચીફના બીજા નિયમ અનુસાર,
Vr + VR = ε
∴ Vr = ε – VR
= 3 – 2.5
= 0.5 V

∴ Pr = 0.5 ×
= 0.5 ×
= 0.10 W
પ્રશ્ન 192.
આપેલ પરિપથમાં A થી C તરફ વહેતા પ્રવાહ I1 નું મૂલ્ય ………………. . (JEE Main – 2020)

(A) 5 A
(B) 4 A
(C) 2 A
(D) 1 A
જવાબ
(D) 1 A
આપેલ નૅટવર્ક એ સમતુલિત વ્હીટસ્ટનબ્રિજ છે તેથી, B અને D વચ્ચેના 5 Ω ના બે અવરોધોને અવગણતાં હવે પરિપથ નીચે મુજબ મળે.

અહીં, A-B-C, A-C અને A-D-C એ સમાંતર જોડાણની ત્રણ શાખાઓ છે. તેથી, તેમની વચ્ચેના વોલ્ટેજ સમાન હોય.
∴ A-C માંથી વહેતો પ્રવાહ,
I2 =
પ્રશ્ન 193.
ચતુષ્કોણની ચારભુજાના અવરોધો 40 Ω, 60 Ω, 90 Ω અને 110 Ω છે. A અને C ની
વચ્ચે 40V ના emf વાળી અને અવગણ્ય આંતરિક અવરોધવાળી બૅટરી જોડેલી છે, તો B
અને D વચ્ચેનો વિદ્યુતસ્થિતિમાનનો તફાવત વોલ્ટમાં …………….. (JEE Main –
2020)
ધારો કે A-B-C માં પ્રવાહ I1 હોય તો,
I1 =
અને A-D-C માં પ્રવાહ I2 હોય તો,
I2 =

હવે A થી B સુધી જતાં,
VA – 40I1 = VB
અને A થી D સુધી જતાં,
VA – 90I2 = VD
∴ VB – VD = – 40I1 + 90I2
= –40 × 0.4 + 90 × 0.2
= -16 + 18
= 2V
પ્રશ્ન 194.
એક પોટેન્શિયોમીટર તારનો અવરોધ 8 Ω અને લંબાઈ 4m છે. તાર સાથે કેટલો અવરોધ
શ્રેણીમાં જોડીને 2Vના emf વાળા એક્યુમ્યુલેટર સાથે જોડતા તારમાં સ્થિતિમાન
પ્રચલન 1mv/cm મળે ………………………….. . (AIPMT MAY-2015)
(A) 32 Ω
(B) 40 Ω
(C) 44 Ω
(D) 48 Ω
જવાબ
(A) 32 Ω
વિદ્યુતસ્થિતિમાન પ્રચલન σ =
ધારો કે પોટૅન્શિયોમીટર તા૨ સાથે શ્રેણીમાં જોડેલો અવરોધ R છે.
. પરિપથમાં પ્રવાહ I =
વિદ્યુતસ્થિતિમાન પ્રચલન σ = Iρ
0.1 =

8 + R =
∴ R = 40 – 8
∴ R = 32 Ω
પ્રશ્ન 195.
આકૃતિમાં દર્શાવ્યા અનુસાર, R, 1.5R અને 3 અવરોધના અનુક્રમે A, B અને C
વોલ્ટમીટર જોડેલા છે. જ્યારે X અને Y વચ્ચે અમુક વિદ્યુતસ્થિતિમાનનો તફાવત
લાગુ પાડતા અનુક્રમે વોલ્ટમીટર A, B અને C ના અવલોકનો VA, VB અને Ve મળે તો …………………. . (AIPMT MAY – 2015)

(A) VA = VB = VC
(B) VA ≠ VB = VC
(C) VA = VB ≠ VC
(D) VA ≠ VB ≠ VC
જવાબ
(A) VA = VB = VC
B અને C વચ્ચેનો સમતુલ્ય અવરોધ =
=
શ્રેણી જોડાણમાં વિદ્યુતસ્થિતિમાન V ∝ R
∴ A ની આસપાસના વોલ્ટેજ B અને C ની આસપાસના વોલ્ટેજ B અને C સમાંતરમાં છે. તેથી VB = VC
∴ VA = VB = VC
પ્રશ્ન 196.
અનિયમિત આડછેદવાળા ધાતુના વાહકને વિધુતસ્થિતિમાનનો તફાવત લાગુ પાડેલ છે. તો
વાહક માટે નીચેનામાંથી કઈ રાશિ અચળ રહે છે ? (AIPMT MAY – 2015)
(A) વિદ્યુતપ્રવાહઘનતા
(B) વિદ્યુતપ્રવાહ
(C) ડ્રિફ્ટ વેગ
(D)વિદ્યુતક્ષેત્ર
જવાબ
(B) વિદ્યુતપ્રવાહ

આપેલા વાહકને આકૃતિમાં દર્શાવ્યા અનુસાર જુદા જુદા વાહકોના શ્રેણી જોડાણથી
બનેલો ગણી શકાય અને શ્રેણી જોડાણમાં પ્રવાહ હંમેશાં સમાન રહે છે.
પ્રશ્ન 197.
L લંબાઈના એક પોટેન્શિયોમીટર તાર અને અવરોધ r ને શ્રેણીમાં તથા E0 emf ની બેટરી તથા r1
અવરોધ સાથે જોડવામાં આવેલ છે. આ પોટેન્શિયોમીટરની l લંબાઈ પર બીજા અજ્ઞાત
emf E માટે સંતુલન બિંદુ મળે છે. તો E નું મૂલ્ય …………………………… (AIPMT
JULY-2015)

જવાબ

પ્રશ્ન 198.
σ1 અને σ2 જેટલી વાહકતાઓ ધરાવતા બે ધાતુના સમાન
પરિમાણવાળા તારોને શ્રેણીમાં જોડેલા છે. તો આ સંયોજનની અસરકારક વાહકતા
કેટલી હશે ? (AIPMT JULY – 2015)

જવાબ

પ્રશ્ન 199.
એક પોટેન્શિયોમીટર તારની લંબાઈ 100 cm છે તથા તેના બે છેડા વચ્ચે ચોક્કસ
p.d. લાગુ પાડેલ છે. બે કોષોને પ્રથમ સહાયક અને પછી વિરોધકમાં જોડતાં જો
તટસ્થ બિંદુ, ધન છેડેથી અનુક્રમે 50 cm અને 10 cm અંતરે મળતું હોય, તો બંને
કોષોના emf નો ગુણોત્તર …………………….. છે. (AIPMT MAY – 2016)
(A) 5 : 4
(B) 3 : 4
(C) 3 : 2
(D) 5 : 1
જવાબ
(C) 3 : 2
સહાયક સ્થિતિમાં ε1 + ε2 ∝ l3
વિરોધક સ્થિતિમાં ε1 – ε2 ∝ l4 (∵ ε1 > ε2 હોય તો )
∴
∴ યોગ-વિયોગ કરતાં
∴
પ્રશ્ન 200.
કોઈ અવરોધ R માંથી પસાર થતો વિધુતભાર, સમય t સાથે Q = at – bt2 અનુસાર બદલાય છે. જ્યાં a અને b ધન અચળાંકો છે, તો અવરોધ R માં ઉત્પન્ન થતી કુલ ઉષ્મા ……………………….. (AIPMT MAY – 2016)
(A)
(B)
(C)
(D)
જવાબ
(D)
Q = at – bt2
∴ I =
∴ I = a – 2bt
∴ 0 = a – 2bt
t =

પ્રશ્ન 201.
નીચે આપેલી આકૃતિમાં A અને B બિંદુઓ વચ્ચેનો વિદ્યુતસ્થિતિમાનનો તફાવત (VA – VB) શોધો. (AIPMT JULY – 2016)

(A) +6V
(B) +9V
(C) -3V
(D) +3V
જવાબ
(B) +9V
A થી B તરફ જતાં કિર્ચીફના નિયમ પરથી
VA – 2(2) (3) – (2)(1) = VB
∴ VA – VB = 4 + 3 + 2
∴ VA – VB = 9V
પ્રશ્ન 202.
એક ફિલામેન્ટવાળા બલ્બ (500 W, 100V) ને 230 V ના મુખ્ય સપ્લાય સાથે
જોડવામાં આવ્યો છે. આ બલ્બ સાથે શ્રેણીમાં R અવરોધ જોડતાં તે સંપૂર્ણ સારી
રીતે કાર્ય કરે છે અને બલ્બ 500 W નો વિધુત પાવર વાપરે છે તો અવરોધ R =
………………………. (AIPMT JULY – 2016)
(Α) 26 Ω
(Β) 13 Ω
(C) 230 Ω
(D) 46 Ω
જવાબ
(A) 26 Ω
બલ્બનો અવરોધ RB =
∴ RB = 20 Ω
શ્રેણી પ્રવાહ સમાન હોય તેથી R ∝ V

∴ R = 26 Ω
પ્રશ્ન 203.
આકૃતિમાં દર્શાવલ વિદ્યુત પરિપથમાં AB બાજુમાંથી વહેતો પ્રવાહ i છે : (AIPMT-2017)

જવાબ
(A)
(B)
(C)
(D)
જવાબ
(A)

20 Ω અને 30 Ω ના સમાંતર જોડાણનો સમતુલ્ય અવરોધ
R1 =
હવે, 10 Ω, R1 અને 3 Ω ના શ્રેણી જોડાણનો સમતુલ્ય અવરોધ

R = 10 + R1 + 3
= 10 + 12 + 3
∴ R = 25 Ω
∴ I =
A બિંદુ આગળ I = 0.4 A પ્રવાહ બે વિભાગમાં વહેંચાય છે.
ધારો કે 20 Ω માંથી I1 અને 30 Ω માંથી I2 પ્રવાહ વહે છે.
∴ 20 Ω માંથી વહેતો પ્રવાહ i = I1 = I ×
i = 0.4 ×
i =
પ્રશ્ન 204.
E emf અને ‘r’ આંતરિક અવરોધનો એક કોષ ચલિત બાહ્ય અવરોધ ‘R’ સાથે જોડેલ છે.
કયો આલેખ એ R ની સાપેક્ષે કોષનો ટર્મિનલ વોલ્ટેજ ‘V’ આપે છે ? (AIPMT –
2017)

જવાબ

V = IR માં R = 0 હોય ત્યારે V = 0 અને R વધતાં પ્રવાહ ઘટે તેથી V વધે. જે વિકલ્પ (B) માં દર્શાવેલ આલેખ વડે રજૂ થાય છે.
પ્રશ્ન 205.
એક (47 ± 4.7) kΩ ના કાર્બન અવરોધને તે નિયત કરવા માટે અલગ રંગોથી વલયો
કરવાના છે. તો વર્ણ-સંકેત (colour code) નો ક્રમ થશે. (NEET – 2018)
(A) લીલો – નારંગી – જાંબલી – સોનેરી
(B) જાંબલી – પીળો – નારંગી – રૂપેરી
(C) પીળો – લીલો – જાંબલી – સોનેરી
(D) પીળો – જાંબલી – નારંગી – રૂપેરી
જવાબ
(D) પીળો – જાંબલી – નારંગી – રૂપેરી
R = (47 ± 4.7) × 103 Ω
= (47 × 103 ± 4700) Ω અને
= (47 × 103 ± 10%) Ω
નર્ણ સંકેત પરથી 4 → પીળો, 7 → જાંબલી, 3 → નારંગી, 10 % રૂપેરી.
પ્રશ્ન 206.
‘E’ emf ની અને ‘R’ આંતરિક અવરોધ ધરાવતી એક બેટરી સાથે જે દરેકનું મૂલ્ય
‘R’ છે તેવા ‘n’ સરખા અવરોધો શ્રેણીમાં જોડેલ છે. બેટરીથી લીધેલી ધારા I
છે. હવે આ ‘n’ અવરોધોને આ બેટરી સાથે સમાંતર જોડવામાં આવે છે, ત્યારે
બેટરીથી લીધેલી ધારા છે 10 I. આ ‘n’ નું મૂલ્ય છે. (NEET- 2018)
(A) 9
(B) 10
(C) 20
(D) 11
જવાબ
(B) 10
m પ્રથમ સ્થિતિ

∴ I =
બીજી સ્થિતિ

પ્રશ્ન 207.
એક બેટરી બદલાતી સંખ્યા ‘n’ ના સમાન કોષો (દરેક્નો આંતરિક અવરોધ ‘r’)
ધરાવે છે જે શ્રેણીમાં જોડેલ છે. આ બેટરીના ટર્મિનલ્સ શોર્ટ-સર્કિટ કરીને
પ્રવાહ I માપવામાં આવે છે. કયો આલેખ I અને n વચ્ચેનો સાચો સંબંધ દર્શાવે
છે? (NEET – 2018)

જવાબ

પ્રશ્ન 208.
નીચેનામાંથી કયું સર્કિટ પ્રોટેક્શન સાધન છે ? (NEET-2019)
(A) ફ્યૂઝ
(B) વાહક
(C) ઇન્ડક્ટર
(D) સ્વિચ
જવાબ
(A) ફ્યૂઝ
પ્રશ્ન 209.
શૂન્ય આંતરિક અવરોધના અને E emf ના એક DC ઉદ્ગમ સાથે આકૃતિમાં બતાવ્યા
પ્રમાણે છ સમાન બલ્બ જોડેલ છે. જ્યારે (i) બધા જ બલ્બ ચાલુ હોય તેમાંથી
(ii) વિભાગ-A ના બે અને વિભાગ-B નો એક બલ્બ ચાલુ હોય તે પરિસ્થિતિઓમાં
વપરાતા પાવરનો ગુણોત્તર હશે ઃ (NEET-2019)

(A) 2 : 1
(B) 4 : 9
(C) 9 : 4
(D) 1 : 2
જવાબ
(C) 9 : 4


પ્રશ્ન 210.
નીચે દર્શાવેલ પરિપથમાં વોલ્ટમીટર અને એમિટરનું વાંચન હશે :

(A) V2 > V1 અને i1 > i2
(B) V2 > V1 અને i1 = i2
(C) V1 = V2 > અને i1 > i2
(D) V1 = V2 > અને i1 = i2
જવાબ
(D) V1 = V2 અને i1 = i2
પરિપથ-2 માં આદર્શ વોલ્ટમીટર સાથે 10 Ω ના અવરોધની પરિપથ પર કોઈ અસર થશે નહીં. પરિપથ-1 માટે :
i1 =
∴ V1 = Ri1 = 10 × 1 = 10V
પરિપથ-2 માટે
i2 =
∴ V2 = Ri2 = = 10 × 1 = 10V
પ્રશ્ન 211.
અવરોધના ઋણ તાપમાન ગુણાંક ધરાવતા હોય તેવા ‘ઘન પદાર્થો’ છે. (NEET-2020)
(A) ધાતુઓ
(B) ફક્ત અવાહકો
(C) ફક્ત અર્ધવાહકો
(D) અવાહકો અને અર્ધવાહકો
જવાબ
(C) ફક્ત અર્ધવાહકો
જ્ઞાન આધારિત પ્રશ્ન
પ્રશ્ન 212.
નીચેમાંનો કયો આલેખ તાંબા માટે અવરોધકતા (ρ) નો તાપમાન (T) સાથેનો બદલાવ દર્શાવે છે ?(NEET-2020)

જવાબ

તાંબા માટે 0°C તાપમાન કરતાં નીચા તાપમાને આવો આલેખ મળે પણ ઓરડાના તાપમાને ρ → T નો આલેખ સુરેખ મળે તેથી પ્રશ્નમાં આ સ્પષ્ટતા નથી.
પ્રશ્ન 213.
એક મીટરબ્રીજના ડાબા ખાંચા (gap) માં એક અવરોધ તારને જોડતાં તે જમણા
ખાંચામાંના 10 Ω અવરોધને એવા બિંદુ પર સંતુલિત કરે છે કે જે આ બ્રીજના
તારને 3 : 2 ના ગુણોત્તરમાં વિભાજીત કરે છે. જો અવરોધ તારની લંબાઈ 1.5 m
છે, તો 1 Ω ના અવરોધ તારની લંબાઈ છે. (NEET-2020)
(A) 1.0 × 10-2 m
(B) 1.0 × 10-1 m
(C) 1.5 × 10-1 m
(D) 1.5 × 10-2 m
જવાબ
(B) 1.0 × 10-1m
∴ x = 15 Ω
હવે 15 Ω અવરોધને સમતોલવા 1.5m તારની લંબાઈ,
તો 1 Ω અવરોધને સમતોલવા 1.5m તારની લંબાઈ (?)
પ્રશ્ન 214.
એક અવરોધ માટે વર્ણસંકેત નીચે આપેલ છે.

આ અવરોધનું મૂલ્ય અને સાતા (tolerance) અનુક્રમે છે. (NEET-2020)
(A) 470 kΩ, 5 %
(B) 47 kΩ, 10 %
(C) 4.7 kΩ, 5 %
(D) 470 Ω, 5 %
જવાબ
(D) 470 Ω, 5 %
પીળા માટે = 40
જાંબલી માટે =
ભૂરા માટે = 101
∴ અવરોધ = 47 × 101
સોનેરી માટે = 470 ± 5 %
પ્રશ્ન 215.
એક કોષનું emf 2V અને આંતરિક અવરોધ 1Ω છે. જો તેને ૩.9Ω ના અવરોધ સાથે જોડીએ તો કોષની આસપાસના વોલ્ટેજ ……………………. . (1995)
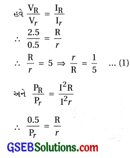
(A) 1.95 V
(B) 0.5 V
(C) 2 V
(D) 1.9 V
જવાબ
(A) 1.95 V
V = E – Ir પણ I =
V = E –
= 2 –
પ્રશ્ન 216.
10 સમાન અવરોધોને સમાંતરમાં જોડવામાં આવે તો આ સંયોજનનો સમતુલ્ય અવરોધ ………………. . (1995)
(A) 0.1 Ω
(B) 10 Ω
(C) 0.01 Ω
(D) 1 Ω
જવાબ
(A) 0.1 Ω
સમાંતર જોડાણનો સમતુલ્ય અવરોધ
∴ Rp =
પ્રશ્ન 217.
નીચેનામાંથી કયો સંબંધ પ્રવાહ ઘનતા દર્શાવ છે ? (1995)
(A)
(B)
(C)
(D)
જવાબ
(D)
પ્રવાહ ઘનતા J =
પ્રશ્ન 218.
દરેકના સમાન વિદ્યુતસ્થિતિમાન E અને આંતરિક અવરોધ r વાળા સમાન 10 કોષોને
શ્રેણીમાં જોડીને બંધગાળો રચેલ છે. જો આદર્શ વોલ્ટમીટરને 3 કોષોની આસપાસ
જોડવામાં આવે તો વોલ્ટમીટરનું અવલોકન ………………. .
(A) 10 E
(B) 3 E
(C) 13 E
(D) 7 E
જવાબ
(B) 3 E
10 કોષોનું કુલ વિજલાચક બળ E’ = 10 E જ્યાં દરેક કોષનું emf E છે અને 10 કોષોનો કુલ આંતરિક અવરોધ r’ = 10r
∴ પરિપથમાં વહેતો પ્રવાહ I =
∴ I =
ત્રણ કોષોની આસપાસનો Pd.
V = I × 3r =
પ્રશ્ન 219.
જો 10 V બૅટરી અને 3 Ω ના આંતરિક અવરોધવાળી બેટરી સાથે અવરોધ R જોડીએ ત્યારે પ્રવાહ 0.5 A મળતો હોય તો અવરોધ R = ………………… . (1997)
(A) 13 Ω
(B) 15 Ω
(C) 17 Ω
(D) 19 Ω
જવાબ
(C) 17 Ω

પ્રવાહ I =
∴ R + r =
∴ R + 3 = 20 Ω
∴ R = 17 Ω
પ્રશ્ન 220.
આકૃતિમાં બતાવેલ પરિપથમાં પ્રવાહ I નું મૂલ્ય કેટલું ? (1998)

(A) 1.2 A
(B) 0.5 A
(C) 1 A
(D) 2 A
જવાબ
(D) 2 A
R2, R3 અને R4 ના શ્રેણી જોડાણનો સમતુલ્ય અવરોધ
R5 = 2 + 2 + 2 = 6 Ω
હવે R5 અને R1 ના સમાંતર જોડાણનો સમતુલ્ય અવરોધ
R =
∴ પરિપથમાં પ્રવાહ I =
પ્રશ્ન 221.
આકૃતિમાં દર્શાવેલ પરિપથનો A અને B વચ્ચેનો સમતુલ્ય અવરોધ …………………… . (1998)

(A) 8 Ω
(B) 6 Ω
(C) 2 Ω
(D) 4 Ω
જવાબ
(B) 6 Ω
R2 અને R3 ના સમાંતર જોડાણનો સમતુલ્ય અવરોધ
R’ =
R’ =
∴ હવે R1, R’અને R4 ના શ્રેણી જોડાણનો સમતુલ્ય અવરોધ
RAB = R1 + R’ + R4 = 2 + 2 + 2 = 6 Ω
પ્રશ્ન 222.
આપેલા અનિયમિત આડછેદવાળો તાર માટે નીચેનામાંથી કર્યું સમગ્ર તાર પર અચળ છે? (2000)
(A) પ્રવાહ, વિદ્યુતક્ષેત્ર, ડ્રિફ્ટવેગ
(B) માત્ર ડ્રિફ્ટવેગ
(C), પ્રવાહ અને ડ્રિફ્ટવેગ
(D) માત્ર વિદ્યુતપ્રવાહ
જવાબ
(D) માત્ર વિદ્યુતપ્રવાહ
પ્રશ્ન 223.
જો તારને તેની ત્રિજ્યા અડધી થાય ત્યાં સુધી ખેંચીએ તો તેનો અવરોધ …………………… . (2001)
(A) 16 R
(B) 2 R
(C) 4 R
(D) R
જવાબ
(A) 16 R
ધારો કે મૂળ ત્રિજ્યા r1 = r
ખેંચ્યા બાદ ત્રિજ્યા r2 =
અહીં તારને ખેંચે તે દરમિયાન કદ અચળ રહેતું હોવાથી,
l1A1 = l2A2

પ્રશ્ન 224.
L લંબાઈના તારને એવી રીતે ખેંચવામાં આવે છે કે તેનો વ્યાસ મૂળ વ્યાસથી અડધો
થઈ જાય છે. 100 હોય તો તેનો નવો અવરોધ જો તેનો મૂળ અવરોધ ………………….. હશે.
(2003)
(A) 40 Ω
(B) 80 Ω
(C) 120 Ω
(D) 160 Ω
જવાબ
(D) 160 Ω
V1 = V2
ધારો કે શરૂઆતનો વ્યાસ D1 અને લંબાઈ l1 તથા તાર ખેંચાયા બાદ વ્યાસ D2 અને લંબાઈ l2 થાય.
∴
∴ 4 =
∴ નવો અવરોધ R’ = n2 × R = (4)2 × 10 = 160 Ω
પ્રશ્ન 225.
ઍલ્સ નામની માછલી ઇલેક્ટ્રોપ્લેક્સ તરીકે ઓળખાતા જૈવિક કોષોથી વિદ્યુત
ઉત્પન્ન કરી શકે છે. ઍલ્સની આ ઇલેક્ટ્રોપ્લેક્સને 100 હારમાં ગોઠવવામાં આવે
છે અને આ માછલીના શરીરને સમાંતર દરેક હાર સમક્ષિતિજ દિશામાં 5000
ઇલેક્ટ્રોપ્લેક્સ ધરાવે છે. આ ગોઠવણી સૂચન રૂપે આકૃતિમાં દર્શાવેલ છે. દરેક
ઇલેક્ટ્રોપ્લેક્સ 0.15 V emf અને 0.25 Ω આંતરિક અવરોધ ધરાવે છે. એલ્સની
આસપાસનું પાણી તેના માથાથી પૂંછડી સુધી પરિપથ પૂર્ણ કરે છે. જો તેની
આસપાસના પાણીનો અવરોધ 5000 હોય, તો અલ્સે પાણીમાં ઉત્પન્ન કરેલ પ્રવાહ
……………………….. હશે. (2004)

(A) 1.5 A
(B) 3 A
(C) 15 A
(D) 30 A
જવાબ
(A) 1.5 A
દરેક હારમાં 5000 જૈવિક (ઇલેક્ટ્રૉપ્લેક્સ) છે
દરેકનો emf 0.15 વોલ્ટ છે અને અવરોધ 0.25 ઓલ્ડ્સ છે
∴ સમતુલ્ય emf = (0.15 × 5000) વોલ્ટ = 750 વોલ્ટ અને
સમતુલ્ય અવરોધ 0.25 × 5000 = 12500 Ω
આવી 100 હાર છે તેથી તેનો
(1) સમતુલ્ય emf = 0.15 × 5000 = 750 વોલ્ટ
(દરેક 100 હાર સમાંતર જોડાયેલ હોવાથી)
(2) સમતુલ્ય અવરોધ
∴ R =

∴ 500 ઓમ અવરોધની આસપાસ પ્રવાહ =
=
= 1.46 Ω
∴ I = 1.5A
પ્રશ્ન 226.
આકૃતિમાં બતાવેલ પરિપથમાં R1, R2, R3 અવરોધોમાં સમાન ઊર્જાનો વ્યય થાય છે તો તેમના વચ્ચેનો સંબંધ ………………….. .(2005)

(A) R1 = R2 = R3
(B) R2 = R1 અને R1 = 4R2
(C) R2 = R3 અને R1 =
(D) R1 = R2 + R3
જવાબ
(C) R2 = R3 અને R1 =

પ્રશ્ન 227.
X અને Y વચ્ચે નીચે દર્શાવલ વિદ્યુત પરિપથમાં સમતુલ્ય અવરોધ ……………………. હશે. (2008)

(Α) 10 Ω
(Β) 5 Ω
(C) 7 Ω
(D) 3 Ω
જવાબ
(B) 5 Ω
X અને Y વચ્ચે સમતુલ્ય અવરોધ,

XT તથા TY નું શ્રેણીજોડાણ

પ્રશ્ન 228.
નીચે આપેલ પરિપથમાં A અને વચ્ચેનો વિદ્યુતસ્થિતિમાન ……………………… વોલ્ટ હશે. (2009)

(A) 0
(B) 5
(C) 10
(D) 15
જવાબ
(C) 10

p-n જંક્શન ફૉરવર્ડ બાયસમાં હોવાથી અવરોધ શૂન્ય થાય.
∴ બંને સમાંતર અવરોધો 10 k Ω ના બીજા અવરોધ સાથે શ્રેણીમાં છે.
પ્રરિપથનો કુલ અવરોધ = 10 k Ω + (
= 10k Ω + 5 Ω
∴ R = 15 k Ω
∴ 30V બૅટરીને કારણે પરિપથનો કુલ પ્રવાહ
I =
આમ, 10 k Ω ના બે સમાંતર અવરોધો પૈકી દરેકમાં વહેતો
પ્રવાહ I’ =
A અને B છેડા વચ્ચેનો p.d. = (I’) 10 k Ω
= 1 × 10-3 × 10 × 103
= 10 વોલ્ટ
પ્રશ્ન 229.
પરિપથમાં દર્શાવલ પરિપથમાં 25 V માંથી પસાર થતો પ્રવાહ …………………………. A હશે. (2010)

(A) 7.2
(B) 10
(C) 12
(D) 14.2
જવાબ
(C) 12

ABCDA, ABFEA, ABGHA ABIJA લૂપોમાં
કિર્ચીફનો બીજો નિયમ લગાડતાં,
30 – I1 × 11 = – 25 ………….. (1)
20 + I2 × 5 = 25 ……………….. (2)
5 – I3 × 10 = – 25 ………….. (3)
10 + I4 × 5 = 25 …………… (4)
ઉપરનાં સમીકરણો ઉકેલતાં, I1 = 5 A, I2 = 1 A, I3 = 2 A
અને I4 = 3 A
આમ, 25 વોલ્ટની બૅટરીમાંથી પસાર થતો પ્રવાહ,
= I1 + I2 + I3 + I4
= (5 + 1 + 2 + 3) A = 12 A
પ્રશ્ન 230.

(A) 8 A
(B) 3 A
(C) 4 A
(D) 9 A
જવાબ
(A) 8 A
તારની લંબાઈ l = 2πr = 2π × 2 = 4π મીટર
હવે, કુલ અવરોધ R = ρl = 4π ×
લઘુચાપનો અવરોધ R1 =
ગુરુચાપનો અવરોધ R2 = 4 – 1 = 3 Ω
∴ A અને B વચ્ચેનો સમતુલ્ય અવરોધ

પ્રશ્ન 231.
એક કાર્બન અવરોધક પર ત્રણ નારંગી (orange) રંગના પટ્ટાઓ છે, તો તે અવરોધકના અવરોધનું મહત્તમ મૂલ્ય ………………………. હોઈ શકે. (2014)
(A) 49.6 k Ω
(B) 33 k Ω
(C) 39.6 k Ω
(D) 26.4 k Ω
જવાબ
(C) 39.6 Ω
મહત્તમ અવરોધ = R + R ના 20 %
= 33 × 103 +
= 33000+ 6600
= 39600 Ω = 39.6 × 103 Ω = 39.6 k Ω
પ્રશ્ન 232.
એક જ દ્રવ્યમાંથી બનાવેલા બે વાહકતારોની લંબાઈઓનો ગુણોત્તર 3 : 4 અને
ત્રિજ્યાઓનો ગુણોત્તર ૩ : 2 છે. તેમને 6V ની બેટરી સાથે સમાંતરમાં જોડેલ
છે, તો તેમનામાંથી વહેતો વિધુતપ્રવાહોનો ગુણોત્તર I1 : I2 = …………………. . (2014)
(A) 1 : 3
(B) 1 : 2
(C) 3 : 1
(D) 2 : 1
જવાબ
(C) 3 : 1

પ્રશ્ન 233.
સાચાં જોડકાં જોડો :
| કૉલમ – I | કૉલમ – II |
| (a) વિધુત અવરોધ | (p) ML3 T-3 A-2 |
| (b) વિદ્યુતસ્થિતિમાન | (q) ML2 T-3 A-2 |
| (c) વિશિષ્ટ અવરોધ | (r) ML2 T-3 A-1 |
| (d) વિશિષ્ટ વાહકતા | (s) એક પણ નહીં |
(A) (a – q), (b – s), (c – r), (d – p)
(B) (a – p), (b – q), (c – s), (d – r)
(C) (a – q), (b – r), (c – p), (d – s)
(D) (a – p), (b – r), (c – q), (d – s)
જવાબ
(C) (a – q), (b – r), (c – p), (d – s)

(d) વિશિષ્ટ વાહકતા : આમાંથી એક પણ નહીં. આવી કોઈ ભૌતિક રાશિ નથી.
પ્રશ્ન 234.
આકૃતિમાં દર્શાવ્યા પ્રમાણે વોલ્ટમીટરને પરિપથમાં જોડેલ છે. વોલ્ટમીટરનો
અવરોધ ખૂબ જ મોટો છે તો, આ વોલ્ટમીટર વડે દર્શાવાતા વોલ્ટેજ ……………………. હશે.
(2015)

(A) 6 V
(B) 2.5 V
(C) 5 V
(D) 3 V
જવાબ
(A) 6 V
પરિપથનો કુલ અવરોધ R = 6 +
= 6 +
પરિપથમાં વહેતો પ્રવાહ I =
∴ 6 Ω ના બે છેડા વચ્ચેનો p.d. = 6 × I = 6 × 1 = 6V
પ્રશ્ન 235.
આકૃતિમાં દર્શાવ્યા પ્રમાણે r ત્રિજ્યાની અને સમાન આડછેદ ધરાવતી વર્તુળાકાર
રિંગ પર બે બિંદુઓ A અને B આવેલ છે. રિંગનો અવરોધ R છે. જો ∠AOB = θ હોય,
તો બિંદુઓ
A અને B વચ્ચેનો સમતુલ્ય અવરોધ …………………….. . (2015)

જવાબ

પ્રશ્ન 236.
સમાન વ્યાસ અને સમાન લંબાઈ ધરાવતા ρ1 અને ρ2 અવરોધકતા ધરાવતા બે તાર શ્રેણીમાં જોડવામાં આવે તો જોડાણની સમતુલ્ય અવરોધકતા ……………………. થાય. (2015)
(A) (ρ1 + ρ2)
(B)
(C)
(D)
જવાબ
(C)
R = R1 + R2
2ρ = ρ1 + ρ2
∴ ρ =
પ્રશ્ન 237.
આપેલ પરિપથને બૅટરીમાંથી મળતો કુલ વિદ્યુત પ્રવાહ કેટલો હશે ? (2016)

(A) 6 A
(B) 4 A
(C) 2 A
(D) 1.5 A
જવાબ
(A) 6 A
2 Ω અને 6 Ω ના સમાંતર જોડાણનો સમતુલ્ય અવરોધ
R1 =
=
=
હવે R1 મૈં‚ અને 1.5 Ω ના શ્રેણી જોડાણનો સમતુલ્ય અવરોધ
R2 = R1 + 1.5
= 1.5 + 1.5 = 3.0 Ω
હવે R2 અને 3 Ω ના સમાંતર જોડાણનો સમતુલ્ય અવરોધ
R =
=
=
પરિપથમાં પ્રવાહ I =
પ્રશ્ન 238.
એક વિધાર્થીને સમાન emf 1.5 V અને સમાન આંતરિક અવરોધ 0.1 Ω ધરાવતા ચાર
વિદ્યુતકોષો આપવામાં આવે છે. વિધાર્થીને આ વિદ્યુતકોષોને સહાયક સ્થિતિમાં
જોડવાનું કહેવામાં આવે છે. ભૂલથી તે એક વિદ્યુતકોષને ઊલટી રીતે જોડે છે. તો
આ જોડાણનો પરિણામી emf અને પરિણામી આંતરિક અવરોધ …………………….. છે. (2016)
(A) 3V, 0.2Ω
(B) 4.5V, 0.3Ω
(C) 3V, 0.4Ω
(D) 6.0V, 0.4Ω
જવાબ
(C) 3V, 0.4Ω

પરિણામી emf ε = 1.5 + 1.5 + 1.5 – 1.5 = 3.0 V
અને પરિણામી આંતરિક અવરોધ r = r1 + r2 + r3 + r4
= 0.1+ 0.1 + 0.1 + 0.1
= 0.4 Ω
પ્રશ્ન 239.
એક ઇલેક્ટ્રિક હીટર દ્વારા આપેલા જથ્થાનું પાણી 5 મિનિટમાં ઊકળવા લાગે છે.
જો આ હીટરને લાગુ પાડવામાં આવતો સપ્લાય વોલ્ટેજ અડધો કરવામાં આવે તો આટલા જ
જથ્થાનું પાણી ………………………… મિનિટમાં ઊકળશે. (હીટરનો અવરોધ અચળ રહે છે તેમ
લો.) (2016)
(A) 40
(B) 20
(C) 10
(D) 2.5
જવાબ
(B) 20
H = I2Rt

∴ t2 = t1 × 4 = 5 × 4 = 20 min
પ્રશ્ન 84.

ઉપર દર્શાવેલ વિદ્યુત પરિપથમાં 10Ω ના અવરોધમાંથી વહેતો વિદ્યુત પ્રવાહ 2.5 A છે. તો અવરોધ R નું મૂલ્ય ………………….. છે. (2017)
(Α) 40 Ω
(Β) 10 Ω
(C) 8 Ω
(D) 50 Ω
જવાબ
(C) 8 Ω
ધારો કે R1 = 10Ω, R2 = 40Ω

પ્રશ્ન 240.
એક કાર્બન અવરોધ પર અનુક્રમે બ્રાઉન, રેડ, ઓરેન્જ અને સિલ્વર કલરના પટ્ટા છે. તો તે અવરોધનું મૂલ્ય …………………… છે. (2017)
(A) 12 kΩ ± 5 %
(B) 12 kΩ ± 10 %
(C) 320 Ω ± 10 %
(D) 320 Ω ± 5 %
જવાબ
(B) 12 kΩ ± 10 %
બ્રાઉન અને રેડ પરથી અવરોધ = 12
ઓરેન્જ માટે 103 અને સિલ્વર કલર માટે ±10%
∴ અવરોધનું મૂલ્ય = (12 × 103 ± 10%)Ω
પ્રશ્ન 241.
આપેલ પરિપથમાં જ્યારે સ્વિચ S1 ઓપન (Open) હોય અને સ્વિચ S2 ક્લોઝ્ડ (Closed) હોય ત્યારે 4Ω ના અવરોધમાંથી વહેતો વિધુત પ્રવાહ કેટલો હશે ? (2017)

(A) 0.8 A
(B) 1.2 A
(C) 1.5 A
(D) 3.0 A
જવાબ
(B) 1.2 A
સ્વિચ S2 ક્લોઝ કરતાં પરિપથના સ્વિચ S2 ની જમણી બાજુનો ભાગ શોર્ટ થાય તેથી અવગણતાં,

∴ પરિપથમાંથી વહેતો પ્રવાહ I =
હવે 4Ω અને 6Ω શ્રેણીમાં હોવાથી 4Ω અને 6Ω માં સમાન પ્રવાહ વહે
∴ 4Ω માંથી વહેતો પ્રવાહ 1.2 A
પ્રશ્ન 242.
એક વાહક તારનું તાપમાન વધારવામાં આવે તો તેની વાહકતા અને અવરોધકતાનો ગુણોત્તર ……………….. (2018)
(A) અચળ રહે
(B) વધે
(C) ઘટે
(D) વધે અથવા ઘટે
જવાબ
(C) ઘટે
પ્રશ્ન 243.
તમને 10 અવરોધો આપેલા છે દરેકનો અવરોધ 2Ω છે પ્રથમ તેમને શક્ય લઘુતમ અવરોધ
મેળવવા માટે જોડવામાં આવે છે અને ત્યારબાદ તેમને શક્ય મહત્તમ અવરોધ મેળવવા
માટે
જોડવામાં આવે છે આ રીતે મેળવેલ મહત્તમ અને લઘુતમ અવરોધોનો ગુણોત્તર …………………… છે. (2018)
(A) 100
(B) 10
(C) 2.5
(D) 25
જવાબ
(A) 100
મહત્તમ અવરોધ શ્રેણી જોડાણમાં મળે
∴ Rmax nR = 10 × 2 = 20 Ω
લઘુતમ અવરોધ શ્રેણી જોડાણમાં મળે
∴ Rmin =
∴
પ્રશ્ન 244.
મોબિલિટીનું પારિમાણિક સૂત્ર
(A) M-1L1T2A1
(B) M1L0T-2A-1
(C) M1L-1T-2A-1
(D) M-1L0T2A1
જવાબ
(D) M-1L0T2A1

પ્રશ્ન 245.
આપેલા તાપમાને અવરોધમાં સ્થિર વિદ્યુતપ્રવાહ વહેતા, તેમાં એકમ સમયમાં
ઉદ્ભવતી ઉષ્માઊર્જા પસાર થતા ……………………….. સમપ્રમાણમાં હોય છે. (2019)
(A) વિદ્યુતપ્રવાહ
(C) વિદ્યુતપ્રવાહના વર્ગના
(B) વિદ્યુતપ્રવાહના વ્યસ્તના
(D) વિદ્યુતપ્રવાહના વર્ગના વ્યસ્તના
જવાબ
(C) વિદ્યુતપ્રવાહના વર્ગના
W = VIt
P = VI
∴ P = IR × I = I2R
∴ ઉત્પન્ન થતી ઉષ્મા P = H = I2R માં અચળ
∴ H ∝ I2
પ્રશ્ન 246.
એક કાર્બન અવરોધ પરના ત્રણ પટ્ટાઓના રંગો અનુક્રમે કથ્થાઈ (Brown), કાળો
(Black) અને લીલો (Green) હોય, તો આપેલ અવરોધના મૂલ્યનો વિસ્તાર કેટલો થશે ?
(2019)
(A) 7 × 105 Ω – 13 × 105 Ω
(B) 9 × 105 Ω – 11 × 105 Ω
(C) 8 × 105 Ω – 12 × 105 Ω
(D) આમાંથી એક પણ નહીં.
જવાબ
(C) 8 × 105 Ω – 12 × 105 Ω
અવરોધ R = 10 × 105 ± 20%
∴ 1000000 ના 20 % = 200000 Ω
∴ અવરોધ = (1000000 ± 200000)Ω
= 8 × 105 Q અથવા 12 × 105 Ω
પ્રશ્ન 247.
આકૃતિમાં દર્શાવલ નેટવર્કમાં X અને Y બિંદુઓ વચ્ચેનો સમતુલ્ય અવરોધ ……………………. Ω છે. દરેક અવરોધનું મૂલ્ય 2 Ω છે. (2019)

(A) 2
(B) 4
(C) 1
(D)
જવાબ
(C) 1
સમતુલ્ય પરિપથ દોરતાં,

પ્રશ્ન 248.
શંટનો તાર કેવો હોવો જોઈએ ? (2019)
(A) જાડો અને લાંબો
(B) જાડો અને ટૂંકો
(C) પાતળો અને લાંબો
(D) પાતળો અને ટૂંકો
જવાબ
(B) જાડો અને ટૂંકો
R =
તથા ગંટ માટે અવરોધ ઓછો હોવો જોઈએ. તેથી લંબાઈ ઓછી અને આડછેદ મોટો હોવો જોઈએ.
પ્રશ્ન 249.
કારની એક સંગ્રાહક બૅટરીનું emf 12 V છે. જો બૅટરીનો આંતરિક અવરોધ 0.4 Ω
હોય તો બેટરીમાંથી ……………………. W મહત્તમ પાવર ખેંચી શકાય. (GUJCET – 2020)
(A) 30
(B) 360
(C) 4.8
(D) શૂન્ય
જવાબ
(B) 360
પાવર P =
પ્રશ્ન 250.
પ્લેટિનમ અવરોધ ધરાવતાં થરમોમીટરમાં રહેલાં પ્લેટિનમ તારનો અવરોધ બરફના
તાપમાને 5Ω અને વરાળનાં તાપમાને 5.23Ω છે. જ્યારે થરમૉમીટરને (hot bath)માં
ડુબાડવામાં આવે છે. ત્યારે પ્લેટિનમ તારનો અવરોધ 5.795Ω મળે છે તો
(bath)નું તાપમાન ગણો.(GUJCET – 2020)
(A) 354.56°C
(B) 365.65%C
(C) 345.65°C
(D) 245.65°C
જવાબ
(C) 345.65°C
પ્રશ્ન 251.
એક વિદ્યુતકોષ (2V જેટલું emf અને 0.1 Ω આંતરિક અવરોધ) બીજો વિદ્યુતકોષ (4V
જેટલું emf અને 0.2Ω આંતરિક અવરોધ) બંને કોષ એકબીજા સાથે સમાંતરમાં જોડતાં
મળતાં સંયોજનનું સમતુલ્ય emf …………………… V મળે. (GUJCET – 2020)
(A) 2.67
(B) 2.57
(C) 1.33
(D) 0.38
જવાબ
(A) 2.67
બે કોષોના સમાંતર જોડાણનું સમતુલ્ય emf,

પ્રશ્ન 252.
ઓહ્મના નિયમ (R =
(A) વધે છે.
(B) અચળ રહે છે.
(C) ઘટે છે.
(D) કશું કહી ન શકાય.
જવાબ
(B) અચળ રહે છે.
ઓમના નિયમ મુજબ,
R =
આથી, જો I વધે તો V પણ વધ્યો હોય અને આમ R અચળ રહે.
પ્રશ્ન 253.
બે અવરોધોને શ્રેણીમાં જોડતાં સમતુલ્ય અવરોધ 5Ω મળે છે અને સમાંતર જોડતાં
સમતુલ્ય અવરોધ 1.2Ω મળે છે, તો તે બે અવરોધ કયા હોઈ શકે ? (માર્ચ 2020)
(A) 1 Ω, 4 Ω
(B) 0.6 Ω, 0.6 Ω
(C) 2 Ω, 3 Ω
(D) 1 Ω, 0.2 Ω
જવાબ
(C) 2 Ω, 3 Ω
શ્રેણી જોડાણ R1 + R2 = 5 Ω ……….. (1).
સમાંતર જોડાણ
સમીકરણ (1) ની કિંમત સમીકરણ (2) માં મૂકતાં,
∴ R1R2 = 6 ………….. (3)
આપેલા વિકલ્પો પૈકી (C) 2 Ω, 3 Ω સમીકરણ (1) અને (3) પ્રમાણે સાચો છે.
પ્રશ્ન 254.
કારની એક સંગ્રાહક બૅટરીનું emf 12V છે. જો બૅટરીનો આંતરિક અવરોધ 0.4 Ω હોય
તો બૅટરીમાંથી કેટલો મહત્તમ પ્રવાહ ખેંચી શકાય ? (ઑગષ્ટ 2020)
(A) 3A
(B) 0.3A
(C) 30A
(D) 0.03A
જવાબ
(C) 30A

I =
∴ Imax =
પ્રશ્ન 255.
વ્હીસ્ટન બ્રિજની ચાર ભૂજાઓમાં રહેલ અવરોધ R1 = 100Ω, R2 = 10Ω, R3 = 500Ω અને R4 છે. જો બ્રિજ સમતોલન સ્થિતિમાં હોય તો, R4 નું મૂલ્ય ……………………… હશે. (ઓગષ્ટ 2020)
(A) 2 KΩ
(B) 5 KΩ
(C) 2 Ω
(D) 50 Ω
જવાબ
(D) 50 Ω
બ્રિજની સમતોલન સ્થિતિ માટે
∴ R4 = R3 ×
= 500 ×
= 50 Ω
પ્રશ્ન 256.
(2200 Ω) ± 5 % મૂલ્યના કાર્બન અવરોધનો વર્ણસંકેત નીચેનામાંથી કયો છે ? (ઓગષ્ટ 2020)
(A) લાલ, લાલ, લાલ, સિલ્વર
(B) કથ્થાઈ, લાલ, લાલ, ગોલ્ડ
(C) લાલ, લાલ, લાલ, રંગહીન
(D) લાલ, લાલ, લાલ, ગોલ્ડ
જવાબ
(D) લાલ, લાલ, લાલ, ગોલ્ડ
2200 Ω નો કલર કોડ લાલ, લાલ, કલર કોડ ગોલ્ડ લાલ અને ± 5 % નો કલર કોડ ગોલ્ડ.
પ્રશ્ન 257.
પ્લેટિનમ અવરોધ ધરાવતાં થરમોમીટરમાં રહેલા પ્લેટિનમ તારનો અવરોધ બરફના
તાપમાને 5 Ω અને વરાળના તાપમાને 5.23 Ω છે. જ્યારે થરમોમીટરને (hot bath)
માં ડુબાડવામાં આવે છે ત્યારે પ્લેટિનમ તારનો અવરોધ 5.46 Ω મળે છે. તો bath
નું તાપમાન શોધો. (ઑગષ્ટ 2020)
(A) 200 K
(B) 345.65 °C
(C) 200 °C
(D) 345.65 K
જવાબ
(C) 200 °C
∴
∴
∴
∴ t = 200°C
પ્રશ્ન 258.
4 Ω, 8 Ω અને 10 Ω ના ત્રણ અવરોધોને સમાંતરે જોડેલા છે. આ સંયોજનનો સમતુલ્ય અવરોધ કેટલો હશે ? (ઑગષ્ટ 2020)
(A) 1.05 Ω
(B) 2.10 Ω
(C)
(D) 22 Ω
જવાબ
(B) 2.10 Ω
સમાંતર જોડેલા અવરોધકોનો સમતુલ્ય અવરોધ R હોય, તો
=
R =
∴ R = 2.10 Ω

0 Comments