GSEB Std 12 Physics MCQ Chapter 11 વિકિરણ અને દ્રવ્યની દ્વૈત પ્રકૃતિ in Gujarati Medium
પ્રશ્ન 1.
ઇલેક્ટ્રોનની શોધ …………………….. નામના વૈજ્ઞાનિકે કરી હતી.
(A) રોંટજન
(B) જે.જે.થોમસન
(C) મૅક્સ-પ્લાન્ક
(D) વિલિયમ ક્રુક્સ
જવાબ
(B) જે.જે.થોમસન
પ્રશ્ન 2.
કેથોડ કિરણોની શોધ ……………………….. નામના વૈજ્ઞાનિકે કરી હતી.
(A) મૅક્સવેલ
(B) હર્ટ્ઝ
(C) મૅક્સ-પ્લાન્ક
(D) વિલિયમ ક્રુક્સ
જવાબ
(D) વિલિયમ ક્રુક્સ
પ્રશ્ન 3.
વિધુતભાર ક્વૉન્ટાઇઝ્ડ હોય છે, તે …………………. નામના વૈજ્ઞાનિકે સ્થાપિત કર્યું હતું.
(A) આર.એ.મિલિકન
(B) જે.જે.થોમસન
(C) મૅક્સ-પ્લાન્ક
(D) મૅક્સવેલ
જવાબ
(A) આર.એ.મિલિકન
પ્રશ્ન 4.
સ્વચ્છ કરેલી ધાતુની સપાટી પર પૂરતી ઊંચી આવૃત્તિવાળો પ્રકાશ આપાત કરી ઇલેક્ટ્રોન્સનું ઉત્સર્જન મેળવવાની રીતને …………………… કહે છે.
(A) ઉષ્માજનિત ઉત્સર્જન
(B) ફિલ્ડ ઉત્સર્જન
(D) સંઘાત ઉત્સર્જન
(C) ફોટો-ઇલેક્ટ્રિક અસર
જવાબ
(C) ફોટો-ઇલેક્ટ્રિક અસર
પ્રશ્ન 5.
ધાતુના વર્ક ફંક્શનનો SI એકમ …………………….. છે.
(A) N
(B) J
(C) eV
(D) W
જવાબ
(C) eV
પ્રશ્ન 6.
વર્ક ફંક્શનનું મૂલ્ય …………………. પર આધાર રાખે છે.
(A) માત્ર ધાતુની જાત
(B) માત્ર ધાતુની સપાટીના પ્રકાર
(C) ધાતુની જાત અને ક્ષેત્રફળ
(D) ધાતુની જાત અને ધાતુની સપાટીનો પ્રકાર
જવાબ
(D) ધાતુની જાત અને ધાતુની સપાટીનો પ્રકાર
પ્રશ્ન 7.
ફોટો ઇલેક્ટ્રોનના ઉત્સર્જન માટે શ્રેષ્ઠ ધાતુ કઈ છે ?
(A) સોડિયમ
(B) પોટૅન્શિયમ
(C) સિઝિયમ
(D) લિથિયમ
જવાબ
(C) સિઝિયમ
કારણ કે, તેના વર્ક ફંક્શનનું મૂલ્ય સૌથી ઓછું (2.14 eV) છે.
પ્રશ્ન 8.
ફોટો-ઇલેક્ટ્રિક અસર અંગેના પ્રયોગો ……………………. નામના વૈજ્ઞાનિકે કર્યા.
(A) એકલા હૉલવાશ
(B) એકલા લૅનાર્ડ
(C) એકલા જે.જે.થોમસન
(D) (A) અને (B) બંને
જવાબ
(D) (A) અને (B) બંને
પ્રશ્ન 9.
જ્યારે ધાતુની પ્લેટ પર અમુક ……………………. મૂલ્યના આપાત પ્રકાશની આવૃત્તિને થ્રેશોલ્ડ આવૃત્તિ કહે છે.
(A) ગમે તે
(C) મહત્તમ
(B) લઘુતમ
(D) 10 kHz
જવાબ
(B) લઘુતમ
પ્રશ્ન 10.
મોટા ભાગની ધાતુઓ માટે થ્રેશોલ્ડ આવૃત્તિના મૂલ્યો વિદ્યુતચુંબકીય વર્ણપટના કયા વિભાગમાં મળે છે ?
(A) પારરક્ત
(B) દૃશ્ય
(C) પારજાંબલી
(D) X-rays
જવાબ
(C) પારજાંબલી
પ્રશ્ન 11.
આલ્કલી ધાતુઓ માટે થ્રેશોલ્ડ આવૃત્તિના મૂલ્યો વિદ્યુતચુંબકીય વર્ણપટ્ટના કયા વિભાગમાં મળે છે ?
(A) પારજાંબલી
(B) દૃશ્ય
(C) X-rays
(D) આમાંથી એકેય નહીં
જવાબ
(B) દૃશ્ય
પ્રશ્ન 12.
એક ફોટોસંવેદી સપાટી માટે થ્રેશોલ્ડ તરંગલંબાઈ 5200 Å છે. ……………………. 
ઉદ્ગમમાંથી ઉત્સર્જિત એકરંગી પ્રકાશ આ સપાટી પર આપાત કરતાં 
ફોટોઇલેક્ટ્રોન્સનું ઉત્સર્જન થાય.
(A) 1 વૉટ પાવરવાળો પારરક્ત બલ્બ
(B) 50 વૉટ પાવરવાળો પારરક્ત બલ્બ
(C) 1 વૉટ પાવરવાળો પારજાંબલી બલ્બ
(D) 50 વૉટ પાવરવાળો પારજાંબલી બલ્બ અને 1 વૉટ પાવરવાળો પારજાંબલી બલ્બ
જવાબ
(D) 50 વૉટ પાવરવાળો પારજાંબલી બલ્બ અને 1 વૉટ પાવરવાળો પારજાંબલી બલ્બ
ફોટોઇલેક્ટ્રિક અસર થવા માટેની શરત, આપાત પ્રકાશની તરંગલંબાઈ λ ≤ λ0 હોવી જોઈએ. અહીં, λ0 = 5200 Å છે, તેથી 5200 Å કરતાં ઓછી તરંગલંબાઈ કે જે પારજાંબલી વિભાગમાં આવે છે અને બલ્બનો પાવર ગમે તે હોઈ શકે.
પ્રશ્ન 13.
જે ઇલેક્ટ્રોન ફોટોસેલમાંથી 4 × 108 cm/s ના મહત્તમ વેગથી ઉત્સર્જિત થાય છે, તેમનો સ્ટોરિંગ-પોટેન્શિયલ (ઇલેક્ટ્રોનનું દળ 9 × 10-31 kg લો.)
(A) 30 V
(B) 45 V
(C) 59 V
(D) માહિતી અપૂરતી છે.
જવાબ
(B) 45 V
∴ 
∴ \(\frac{9 \times 10^{-31} \times 16 \times 10^{12}}{2 \times 1.6 \times 10^{-19}}[latex] = V0
V0 = 45 V
પ્રશ્ન 14.
4v0 આવૃત્તિ ધરાવતા પ્રકાશને v0 જેટલી થ્રેશોલ્ડ આવૃત્તિ ધરાવતી ધાતુ પર આપાત કરવામાં આવે છે, તો ઉત્સર્જાતા ફોટોઇલેક્ટ્રોનની મહત્તમ ગતિઊર્જા …………………..
(A) 3hv0
(B) 2hv0
(C) [latex]\frac{3 h v_0}{2}\)
(D) 
જવાબ
(A) 3hv0
= hv – hv0
= 4hv0 – hv0 = 3hv0
પ્રશ્ન 15.
જો ધાતુનું વર્કફંક્શન Φ હોય અને આપાત પ્રકાશની તરંગલંબાઈ λ હોય તો કઈ શરત પળાય ત્યારે ફોટોઇલેક્ટ્રોનનું ઉત્સર્જન થશે નહીં ?
(A) λ > 
(B) λ = 
(C) λ < 
(D) λ < 
ફોટોઇલેક્ટ્રિક ઉત્સર્જન ન થાય તે માટે,
hv < Φ
∴ 
પ્રશ્ન 16.
λ > λ0 તરંગલંબાઈના ચાર ફોટોન એક ધાતુ પર આપાત કરતાં …………………… ફોટો ઇલેક્ટ્રોન ઉત્સર્જાશે.
(A) શૂન્ય
(B) એક
(C) બે
(D)ચાર
જવાબ
(A) શૂન્ય
ફોટો ઇલેક્ટ્રૉનના ઉત્સર્જન માટેની શરત,
v > v0
∴ λ > λ0 [∵ λ = 
∴ ફોટો ઇલેક્ટ્રૉન ઉત્સર્જાશે નહીં.
પ્રશ્ન 17.
બે ધાતુઓની થ્રેશોલ્ડ આવૃત્તિઓ 1:3 છે, તો તેમના વર્ક ફંક્શનનો ગુણોત્તર ……………………. હોય.
(A) 1 : 3
(B) 3: 1
(C) 4 : 16
(D) 16 : 4
જવાબ
(A) 1 : 3

પ્રશ્ન 18.
સોડિયમ કે પોટેશિયમના ટુકડાને સૂર્યપ્રકાશમાં મૂકતાં …………………….. (ઑક્ટો.- 2013)
(A) ઋણ વિદ્યુતભારિત બનશે
(B) ધન વિદ્યુતભારિત બનશે
(C) તટસ્થ રહેશે
(D) તેમાંથી પ્રોટોનનું ઉત્સર્જન થશે
જવાબ
(B) ધન વિદ્યુતભારિત બનશે.
આપેલ ટુકડાને સૂર્યપ્રકાશમાં મૂકતાં ફોટોઇલેક્ટ્રિક અસરના લીધે ઇલેક્ટ્રૉન 
ઉત્સર્જાય અને તેથી આ ટુકડાઓ પર ધન વિદ્યુતભાર રહે, તેથી ધન વિદ્યુતભારિત 
બને.
પ્રશ્ન 19.
જો અલ્ટ્રાવાયોલેટ વિકિરણોથી ફોટો ઇલેક્ટ્રોન્સનું ઉત્સર્જન ન થતું હોય તો …………………… વડે ફોટો ઇલેક્ટ્રોન્સનું ઉત્સર્જન શક્ય હોય.
(A) ઇન્ફ્રારેડ તરંગો
(B) રેડિયો તરંગો
(C) X-rays
(D) દશ્યપ્રકાશ
જવાબ
(C) X-rays
ફોટોઇલેક્ટ્રિક અસર માટે પ્રકાશની આવૃત્તિ થ્રેશોલ્ડ આવૃત્તિ કે તેનાંથી 
મોટી હોવી જોઈએ. અહીં અલ્ટ્રાવાયૉલેટની આવૃત્તિ કરતાં આપેલા X-rays ની 
આવૃત્તિ મોટી હોવાથી (C) જવાબ સાચો છે.
પ્રશ્ન 20.
એક ધાતુની થ્રેશોલ્ડ તરંગલંબાઈ 30 Å છે. જો ધાતુ પર 2000 Å નું વિકિરણ આપાત થાય તો …………………….
(A) પૉઝિટ્રોનનું ઉત્સર્જન થાય છે.
(B) પ્રોટોનનું ઉત્સર્જન થાય છે.
(C) ઇલેક્ટ્રૉનનું ઉત્સર્જન થાય છે.
(D) ઇલેક્ટ્રૉનનું ઉત્સર્જન થતું નથી.
જવાબ
(D) ઇલેક્ટ્રૉનનું ઉત્સર્જન થતું નથી.
અહીં ધાતુની થ્રેશોલ્ડ તરંગલંબાઈ કરતાં વધારે તરંગલંબાઈનો પ્રકાશ આપાત થતો 
હોવાથી ફોટોઇલેક્ટ્રિક અસર જોવા મળે નહિ, તેથી (D) જવાબ સાચો છે.
પ્રશ્ન 21.
A, B અને C ધાતુના વર્ક-ફંક્શન અનુક્રમે 4.5 eV, 4.3 eV અને 3.8 eV છે. જો 
તેના પર 3000 Å તરંગલંબાઈનો પ્રકાશ આપાત કરવામાં આવે તો …………………….
(h = 6.62 × 10-34 Js, c = 3 × 108 m/s, 1 eV = 1.6 × 10-19 C)
(A) ધાતુ A માંથી ફોટોઇલેક્ટ્રૉનનું ઉત્સર્જન થશે.
(B) ધાતુ B માંથી ફોટોઇલેક્ટ્રૉનનું ઉત્સર્જન થશે.
(C) ધાતુ C માંથી ફોટોઇલેક્ટ્રૉનનું ઉત્સર્જન થશે.
(D) ધાતુ A, B, C ત્રણેમાંથી ફોટોઇલેક્ટ્રૉનનું ઉત્સર્જન થશે.
જવાબ
(C) ધાતુ C માંથી ફોટોઇલેકટ્રૉનનું ઉત્સર્જન થશે.
જે ધાતુનું વર્ક-ફંક્શન આપાત ઊર્જા કરતાં ઓછું હોય તે ધાતુમાંથી ફોટોઇલેક્ટ્રૉનનું ઉત્સર્જન થાય.
હવે, આપાત પ્રકાશની ઊર્જા,
E = 
= 
∴ E = 4.14 eV
આ ઊર્જા C ધાતુના વર્ક-ફંક્શન કરતાં વધુ પરંતુ A અને B ધાતુના વર્ક-ફંક્શન કરતાં ઓછી હોવાથી જવાબ (C) સાચો છે.
પ્રશ્ન 22.
3.2 eV વર્ક-ફંક્શન ધરાવતી ધાતુની સપાટી પર, જેના દ્વારા ફોટોઇલેક્ટ્રોનનું
 ઉત્સર્જન કરી શકાય તેવી મહત્તમ તરંગલંબાઈ નું મૂલ્ય …………………….
(h = 6.625 × 10-34 Js)
(A) 1988 Å
(B) 2466 Å
(C) 2953 Å
(D) 3882 Å
જવાબ
(D) 3882 Å
Φ0 = hv0 = 
∴ λ0 = 
∴ λ0 = 3.881835 × 10-7
∴ λ0 ≈ 3882 × 10-10m
∴ λ0 = 3882 Å
પ્રશ્ન 23.
એક ધાતુની સપાટી પર લીલો પ્રકાશ આપાત કરતા ફોટો-ઇલેક્ટ્રોન્સ ઉત્સર્જિત થાય
 છે પણ પીળો પ્રકાશ આપાત કરતા ફોટો-ઇલેક્ટ્રોન્સનું ઉત્સર્જન થતું નથી, તો 
………………. પ્રકાશ આપાત કરતાં ફોટો-ઇલેક્ટ્રોનનું ઉત્સર્જન થશે.
(A) વાદળી પ્રકાશ
(B) ઉષ્મા કિરણો
(C) પારરક્ત કિરણો
(D) રાતો પ્રકાશ
જવાબ
(A) વાદળી પ્રકાશ
vવાદળી > vલીલો > vપીળો  અને ફોટો-ઇલેક્ટ્રિક અસર માટે
v ≥ v0 હોવાં જોઈએ.
અહીં v લીલા માટે v0 છે.
તેથી vવાદળી થી ફોટો-ઇલેક્ટ્રૉનનું ઉત્સર્જન થશે.
∴ વાદળી પ્રકાશ
પ્રશ્ન 24.
આપેલ ધાતુ પર v1 અને v2 આવૃત્તિવાળા વિકિરણને આપાત કરતાં ઉત્સર્જિત થતા ફોટો-ઇલેકટ્રોનની ગતિ-ઊર્જા અનુક્રમે
1 : n હોય, તો આપેલ ધાતુની થ્રેશોલ્ડ-આવૃત્તિ v0 ……………….. .
(A) 
(B) 
(C) 
(D) 
જવાબ
(B) 
∴ K1 = h(v1 – Φ0) અને K2 = h(v2 – Φ0)
∴ 
∴ 
∴ nv1 – nv0 = v2 – v0
∴ nv1 – v2 = (n – 1)v0
∴ v0 = 
પ્રશ્ન 25.
ફોટો ઇલેક્ટ્રિક અસરમાં આપાત પ્રકાશની આવૃત્તિ (f) બમણી કરતાં ઉત્સર્જાતા 
ઇલેક્ટ્રોનની મહત્તમ ઝડપ પણ બમણી થાય છે તો ધાતુનું વર્ક-ફંકશન …………………. 
[BHU MED 2008]
(A) 
(B) 
(C) 
(D) 
જવાબ
(D) 
શરૂઆતમાં 
હવે જો આવૃત્તિ અને ઝડપ બમણી થાય તો
4(
4(hv – Φ) = hv – Φ [પરિણામ (1) પરથી]
∴ 4hv – 4Φ = 2hv – Φ
∴ 2hv = 3Φ
∴ Φ = 
પ્રશ્ન 26.
સિઝિયમ, પોટેશિયમ, સોડિયમ અને લિથિયમની ફોટો સંવેદી સપાટી માટે સ્ટૉપિંગ પોટેન્શિયલ (V0) વિરુદ્ધ આવૃત્તિ (f)નો આલેખ નીચે બતાવેલ છે. આ આલેખો સમાંતર છે. સૌથી મોટા વર્ક ફંકશનથી શરૂ કરીને ટાર્ગેટનો સાચો ક્રમ જણાવો.

(A) (i) > (ii) > (iii) > (iv)
(B) (i) > (iii) > (ii) > (iv)
(C) (iv) > (iii) > (ii) > (i)
(D) (i) = (iii) > (iii) = (iv)
જવાબ
(C) (iv) > (iii) > (ii) > (i)
V0 → v ના આલેખ v-અક્ષને થ્રેશોલ્ડ આવૃત્તિ v0 આગળ કાપે છે.
∴ આપેલા આલેખ પરથી
(V0)(iv) > (V0)(iii) > (V0)(ii) > (V0)(i)
અને વર્કફંકશન W = hV0 હોવાથી
(W0)(iv) > (W0)(iii) > (W0)(ii) > (W0)(i)
∴ વિકલ્પ (C) સાચો છે.
પ્રશ્ન 27.
ફોટોઇલેક્ટ્રિક અસરમાં ઉત્સર્જિત થતા ફોટોઇલેક્ટ્રોન મહત્તમ ગતિઊર્જા ……………………….. થી સ્વતંત્ર છે.
(A) આપાત વિકિરણની આવૃત્તિ
(B) આપાત વિકિરણની તીવ્રતા
(C) કૅથોડના પ્રકાર
(D) ઉપરના તમામ
જવાબ
(B) આપાત વિકિરણની તીવ્રતા
પ્રશ્ન 28.
બે જુદા જુદા પ્રયોગમાં સોડિયમ ધાતુ પર X-ray આપાત કરવામાં આવે છે અને 
ત્યારબાદ ફરીથી તાંબા પર X-ray આપાત કરવામાં આવે છે અને તેમના 
સ્ટૉપિંગ-પોટેન્શિયલ V0 માપવામાં આવે છે. આ સ્ટૉપિંગ-પોટેન્શિયલ ………………….
[(Φ0)Na < (Φ0)Cu]
(A) બંને કિસ્સામાં સમાન હશે.
(B) સોડિયમ ધાતુ માટે વધુ હશે.
(C) તાંબા માટે વધુ હશે.
(D) બંને ધાતુઓ માટે અનંત હશે.
જવાબ
(B) સોડિયમ ધાતુ માટે વધુ હશે.
eV0 = hf – Φ
ΦNa < ΦCu
∴ V0NaoNa > V0Cu
પ્રશ્ન 29.
સોડિયમ ધાતુ પર વારાફરતી પારજાંબલી વિકિરણ અને દૃશ્યપ્રકાશ આપાત કરવામાં 
આવે છે અને તેમના સ્ટૉપિંગ-પોટેન્શિયલ નક્કી કરવામાં આવે છે, તો આ સ્ટૉપિંગ
 પોટેન્શિયલ ………………….. .
(A) બંને ધાતુઓ માટે સમાન હશે.
(B) પારજાંબલી વિકિરણ વખતે વધુ હશે.
(C) દૃશ્યપ્રકાશ વખતે વધુ હશે.
(D) કંઈ કહી શકાય નહીં.
જવાબ
(B) પારજાંબલી વિકિરણ વખતે વધુ હશે.
eV0 = hv – Φ
પારજાંબલી પ્રકાશની ઊર્જા (hv) > દશ્યપ્રકાશની ઊર્જા
∴ (V0) પારજાંબલી > (V0) દૃશ્યપ્રકાશ
પ્રશ્ન 30.
એક ફોટોસેલથી 0.2 m દૂર એકરંગી બિંદુવત્ ઉદ્ગમસ્થાન રાખતા કટ્ ઑફ વોલ્ટેજ 
0.6V અને સંતૃપ્ત પ્રવાહ 18 mA મળે છે. જો આ ઉદ્ગમને ફોટોસેલથી 0.6 m દૂર 
રાખવામાં આવે તો ……………………. [IIT-JEE 1992, MPPMT 1999]
(A) સ્ટૉપિંગ પોર્ટેન્શિયલ 0.2 V હશે.
(B) સ્ટૉપિંગ પોર્ટેન્શિયલ 0.6 V હશે.
(C) સંતૃપ્ત પ્રવાહ 6 mA હશે.
(D) સંતૃપ્ત પ્રવાહ 18 mA હશે.
જવાબ
(B) સ્ટૉપિંગ પોટેન્શિયલ 0.6 V હશે.
સ્ટૉપિંગ પોટૅન્શિયલ એ પ્રકાશની તીવ્રતાથી સ્વતંત્ર છે તેથી 0.6 V હશે.
અંતર ૩ ગણુ થાય તો પ્રકાશની તીવ્રતા I ∝ 
નવી તીવ્રતા 
થાય અને વિદ્યુતપ્રવાહ i ∝ I હોવાથી
નવો પ્રવાહ,
i’ ∝ I’
∴ 
∴ i’ = i × 
∴ i’ = 

પ્રશ્ન 31.
ધાતુની સપાટી પરથી ઉત્સર્જિત થતા ફોટો-ઇલેક્ટ્રોનનો મહત્તમ વેગ 5 × 106 ms-1 છે. જો ઇલેક્ટ્રોનનો વિશિષ્ટ વિધુતભાર (Specific charge) 1.8 × 1011 Ckg-1 હોય, તો સ્ટૉપિંગ પોટેન્શિયલનું મૂલ્ય (લગભગ) ………………… .
(A) 2 V
(B) 3 V
(C) 7 V
(D) 4 V
જવાબ
(C) 7 V

પ્રશ્ન 32.
ઍલ્યુમિનિયમ ધાતુની સપાટી માટે વર્ક-ફંક્શન 4.2 eV છે. તો આ સપાટી પર આપાત 
પ્રકાશની કઈ તરંગલંબાઈ માટે સ્ટૉપિંગ પોટેન્શિયલનું મૂલ્ય શૂન્ય થશે ?
(h = 6.6 × V-34 Js, c = 3 × 108 ms-1)
(A) 2694 Å
(B) 2958 Å
(C) 1854 Å
(D) 4268 Å
જવાબ
(B) 2958 Å

λ0 = 2.95758 × 10-7 m
λ0 ≈ 2958 × 10-10 m
= 2958 Å
પ્રશ્ન 33.
4 × 1014 Hz જેટલી થ્રેશોલ્ડ આવૃત્તિ ધરાવતી ધાતુની સપાટી ‘પર 5 × 1014
 Hz આવૃત્તિ ધરાવતો પ્રકાશ આપાત કરતા ફોટો-ઇલેક્ટ્રિક પ્રવાહનું મૂલ્ય 1.8 
mA મળે છે. જો આપાત પ્રકાશની આવૃત્તિનું મૂલ્ય અડધું કરવામાં આવે અને 
તીવ્રતા ત્રણ ગણી કરવામાં આવે, તો ફોટો-ઇલેક્ટ્રિક પ્રવાહનું મૂલ્ય 
……………….. થશે.
(A) 0.9 mA
(B) 5.4 mA
(C) 3.6 mA
(D) શૂન્ય
જવાબ
(D) શૂન્ય
v0 = 4 × 1014 Hz અને આપાત પ્રકાશની આવૃત્તિ
v = 5 × 1014 Hz છે.
હવે આપાત પ્રકાશની આવૃત્તિ અડધી કરતાં તેની આવૃત્તિ
v’ = 
ફોટો-ઇલેક્ટ્રિક અસર માટે v’ > v0 હોવું જોઈએ પણ અહી v’ < v0 હોવાથી ફોટો-ઇલેક્ટ્રિક અસર થશે નહિ તેથી પ્રવાહ મળશે નહિ.
પ્રશ્ન 34.
એક ધાતુની સપાટી પર વારાફરતી અનુક્રમે 2000 Å અને 5000 Å તરંગલંબાઈ ધરાવતો 
પ્રકાશ આપાત કરતાં તેને અનુરૂપ ઉત્સર્જાતા ફોટો-ઇલેક્ટ્રૉન્સની મહત્તમ 
ગતિઊર્જાનો તફાવત …………………. . h = 6.6 × 10-34 Js.
(A) 3.71 eV
(B) 5.94 eV
(C) 7.42 eV
(D) 2.97 eV
જવાબ
(A) 3.71 eV

= 3.7125 eV
≈ 3.71 eV
પ્રશ્ન 35.
V0 → v ના આલેખનો ઢાળ …………………… દર્શાવે છે.
(A) h
(B) 
(C) eh
(D) eh
જવાબ
(B) 
ફોટો-ઈલેક્ટ્રિક અસ૨નું સમીકરણ,
eV0 = hv – hv0
∴ V0 = 
y = mx + c સાથે સરખાવતાં
ઢાળ m = 
પ્રશ્ન 36.
V0e → v ના આલેખનો ઢાળ …………………….. દર્શાવે છે.
(A) h
(B) 
(C) eh
(D) eh
જવાબ
(A) h
ફોટો-ઈલેક્ટ્રિક અસરનું સમીકરણ,
eV0 = hv – hv0 ને y = mx + c સાથે સરખાવતાં, ઢાળ m = h
પ્રશ્ન 37.
ઉત્સર્જકની સાપેક્ષે કલેક્ટર પરના જે ……………………….. વિભવે ફોટો-ઇલેક્ટ્રિક પ્રવાહ શૂન્ય બને તેને સ્ટૉપિંગ પોટેન્શિયલ કહે છે.
(A) લઘુતમ ઋણ
(B) લઘુતમ ધન
(C) મહત્તમ ઋણ
(D) મહત્તમ ધન
જવાબ
(A) લઘુતમ ઋણ
પ્રશ્ન 38.
સ્ટૉપિંગ પોટેન્શિયલની સ્થિતિમાં, ફોટો-ઇલેક્ટ્રિક પ્રવાહનું મૂલ્ય ………………………. થશે.
(A) શૂન્ય
(B) લઘુતમ
(C) મહત્તમ
(D) અનંત
જવાબ
(A) શૂન્ય
પ્રશ્ન 39.
સ્ટૉપિંગ પોટેન્શિયલના મૂલ્યનો આધાર ………………………. પર છે.
(A) આપાત પ્રકાશની આવૃત્તિ
(B) આપાત પ્રકાશની તીવ્રતા
(C) આપાત ફોટોનની સંખ્યા
(D) ઉત્સર્જિત ઇલેક્ટ્રૉનની સંખ્યા
જવાબ
(A) આપાત પ્રકાશની આવૃત્તિ
પ્રશ્ન 40.
2.1 eV વર્ક ફંક્શન ધરાવતી પોટેન્શિયલની સપાટી પર 6.0 eV ઊર્જા ધરાવતા 
ફોટોનને આપાત કરવામાં આવે, તો સ્ટૉપિંગ પોટેન્શિયલનું મૂલ્ય કેટલું ?
(A) +8.1 V
(B) -8.1V
(C) +3.9V
(D) -3.9V
જવાબ
(D) – 3.9 V
ઉત્સર્જાતા ઇલેક્ટ્રૉનની મહત્તમ ગતિઊર્જા,
∴ eV0 = hv – Φ0 [∵ 
∴ eV0 = (6.0 – 2.1)eV
∴ eV0 = 3.9 eV ∴ V0 = 3.9 V
પણ સ્ટૉપિંગ પોટેન્શિયલ માટે ઋણ વિભવ હોય.
પ્રશ્ન 41.
v થ્રેશોલ્ડ આવૃત્તિવાળો ફોટોન એક ફોટો સંવેદી v0 થ્રેશોલ્ડ આવૃત્તિવાળી સપાટી પર આપાત થાય છે, તો ઉત્સર્જિત ફોટો-ઇલેક્ટ્રોનની મહત્તમ ગતિઊર્જા ……………….
(A) hv – v0)
(B) h(v + v0)
(C) hv
(D) hv0
જવાબ
(A) hv – v0)
મહત્તમ ગતિઊર્જા = h(v – v0)
પ્રશ્ન 42.
…………………. ઘટના પ્રકાશના તરંગવાદથી સમજાવી શકાતી નથી.
(A) વ્યતિકરણ
(C) ધ્રુવીભવન
(B) વિવર્તન
(D) ફોટો-ઇલેક્ટ્રિક અસ૨
જવાબ
(D) ફોટો-ઇલેક્ટ્રિક અસર
પ્રશ્ન 43.
ફોટો-ઇલેક્ટ્રિક અસર એ વિકિરણનો …………………… સ્વભાવ દર્શાવે છે.
(A) તરંગ
(B) કણ
(C) તરંગ અને કણ
(D) તરંગ અથવા કણ
જવાબ
(B) કણ
પ્રશ્ન 44.
નીચે આપેલી કઈ ભૌતિકરાશિને પ્લાન્કના અચળાંકના પરિમાણ છે ?
(A) બળ
(B) ઊર્જા
(C) રેખીય વેગમાન
(D) કોણીય વેગમાન
જવાબ
(D) કોણીય વેગમાન
ઊર્જા E = hv
∴ h = 
∴ [h] = 
પ્રશ્ન 45.
ફોટો-ઇલેક્ટ્રિક અસરના પ્રયોગમાં આપાત પ્રકાશની આવૃત્તિ v વિરુદ્ધ સ્ટોપિંગ પોટેન્શિયલ V0 ફોટો-ઇલેક્ટ્રિક સપાટીનું વર્ક ફંકશન ………………… (e ઇલેક્ટ્રોનિક ચાર્જ છે.) [CPMT 1987]

(A) OB × e (eV માં)
(B) OB (volt માં)
(C) OA (eV માં)
(D) AB રેખાનો ઢાળ
જવાબ
(A) OB × e (eV માં)
આઇન્સ્ટાઇનના સમીકરણ પરથી,
V0 = (
V0 અક્ષનો આંતર છેદ = –
∴ OB = 
(-ચિહ્ન અવગણતાં)
પ્રશ્ન 46.
A અને B અસમાન ફોટોસબ્વેદી સપાટી માટે સ્ટૉપિંગ પોટેન્શિયલ વિરુદ્ધ 
આપાતપ્રકાશની આવૃત્તિ (v) નો આલેખ નીચે બતાવેલ છે, તો આ આલેખ પરથી A 
સપાટીનું વર્ક-ફંકશન ……………………… (DPMT 1992)

(A) B કરતાં વધુ
(B) B કરતાં ઓછું
(C) B જેટલું
(D) આલેખ પરથી વર્ક-ફંકશન વિશે કંઈ કહી શકાય નહીં.
જવાબ
(B) B કરતાં ઓછું

જો આપેલા આલેખોને લંબાવવામાં આવે તો આલેખ A ની
રેખા V અક્ષને v0 માં કાપે અને (v0)A < (v0)B ઓછું હોવાથી
(hv0)A < (hv0)B
∴ ΦA < ΦB
પ્રશ્ન 47.
નીચેના આલેખમાં જો V02 > V01 હોય, તો ………………………..

(A) λ1 = 
(B) λ1 < λ2
(C) λ1 = λ2
(D) λ1 > λ2
જવાબ
(D) λ1 > λ2
V0 = (
આલેખ પરથી (V0)2 > (V0)1

પ્રશ્ન 48.
નીચેનો આલેખ ફોટો-પ્રવાહ i વિરુદ્ધ આપાત વોલ્ટેજ (V)નો છે. ઉત્સર્જિત ફોટો-ઇલેક્ટ્રોન્સની મહત્તમ ઊર્જા ………………………

(A) 2 eV
(B) 4 eV
(C) 0 eV
(D) 4J
જવાબ
(B) 4 eV
આલેખ પરથી સ્ટૉપિંગ પોર્ટેન્શિયલ (V0) = 4V (મૂલ્ય)
∴ ઊર્જા Kmax = eV0
= 4 eV
પ્રશ્ન 49.
આઇન્સ્ટાઇનના ફોટો-ઇલેક્ટ્રિક સમીકરણ પ્રમાણે ઉત્સર્જિત ફોટો-ઇલેક્ટ્રોનની 
ગતિઊર્જા અને આપાત વિકિરણની આવૃત્તિનો ગ્રાફ નીચેનામાંથી કયો છે ? (CBSE 
PMT – 2004)

જવાબ

ગતિઊર્જા KE = hv – Φ
∴ KE → v નો ગ્રાફ સીધી રેખામાં મળે છે. તેનો + ઢાળ = h
અને K.E. > 0, જ્યારે hu > Φ હોય છે.
પ્રશ્ન 50.
ફોટોન માટે નીચેનામાંથી કયું વિધાન સાચું નથી ?
(A) ફોટોન દબાણ ઉત્પન્ન કરતાં નથી.
(B) ફોટોનની ઊર્જા hv છે.
(C) ફોટોનનું વેગમાન 
(D) ફોટોનનું સ્થિર દળ (Rest mass) શૂન્ય છે.
જવાબ
(A). ફોટોન દબાણ ઉત્પન્ન કરતાં નથી.
જ્યારે ફોટોન સપાટી ઉપર આપાત થાય ત્યારે સપાટી પર દબાણ ઉત્પન્ન કરે છે. તેથી (A) વિધાન સાચું નથી.
પ્રશ્ન 51.
ફોટોનનું સ્થિર દળ ………………………. હોય.
(A) શૂન્ય
(B) 
(C) 
(D) 
જવાબ
(A) શૂન્ય
પ્રશ્ન 52.
v વેગથી ગતિ કરતાં ફોટોનનું દળ ………………………. છે, જ્યાં m0 એ સ્થિર દળ છે.
(A) શૂન્ય
(B) 
(C) 
(D) અનંત
જવાબ
(C) 
પ્રશ્ન 53.
E ઊર્જા ધરાવતા ફોટોનની હવામાં તરંગલંબાઈ ……………….
(A) 
(B) 
(C) 
(D) h × cE
જવાબ
(A) 
હવામાં તરંગલંબાઈ,
λ = 
∴ λ = 
∴ λ = 
પ્રશ્ન 54.
n ફોટોન ધરાવતાં v આવૃત્તિવાળા પ્રકાશની ઊર્જા ………………
(A) nhv2
(B) 
(C) nhv
(D) 
જવાબ
(C) nhv
પ્રશ્ન 55.
નીચેનામાંથી કઈ ઊર્જાવાળો પ્રકાશ શક્ય નથી
(A) 6.625 × 10-34 J
(B) 13.25 × 10-34 J
(C) 3.3125 × 10-34 J
(D) 66.25 × 10-34 J
જવાબ
(C) 3.3125 × 10-34J
∴ En = nhv
અહીં ઊર્જા 6.625 × 10-34 J ના પૂર્ણાંક ગુણાંકના રૂપમાં જ હોવી જોઈએ.
પ્રશ્ન 56.
જો E અને P અનુક્રમે ફોટોનની ઊર્જા અને વેગમાન હોય, તો તરંગલંબાઈ ઘટાડતાં …………………..
(A) p અને E બન્ને ઘટે.
(B) D અને E બન્ને વધે.
(C) p વધે અને E ઘટે.
(D) D ઘટે અને E વધે.
જવાબ
(B) D અને E બન્ને વધે.
p = 
∴ p ∝ 
આમ, λ ઘટે તો E અને p બન્ને વધે.
પ્રશ્ન 57.
10 keV ઊર્જાના ઇલેક્ટ્રોનની તરંગલંબાઈ …………………… Å છે.
(A) 0.12
(B) 1.2
(C) 12
(D) 120
જવાબ
(A) 0.12
λ = 
= 
= 0.12 × 10-10 m
∴ λ = 0.12 Å
પ્રશ્ન 58.
જો ઇલેક્ટ્રોનનું વેગમાન 5200 Å તરંગલંબાઈને અનુરૂપ ફોટોનના વેગમાન જેટલું 
જોઈતું હોય, તો ઇલેક્ટ્રોનનો વેગ …………………….. m/s રાખવો પડે.
(A) 103
(B) 1.2 × 103
(C) 1.4 × 103
(D) 2.8 × 103
જવાબ
(C) 1.4 × 103
λ = 5200 Å = 52 × 10-8 m,
h = 6.62 × 10-34 Js
m = 9.1 × 10-31 kg
p = mv = 
∴ v = 
v = 
v = 1.4 × 103 m/s
પ્રશ્ન 59.
66 eV ની ઊર્જા ધરાવતા ફોટોનની આવૃત્તિ ……………………….. છે.
(h = 6.6 × 10-34 Js)
(A) 8 × 10-15 Hz
(B) 12 × 10-15 Hz
(C) 16 × 10-15 Hz
(D) 24 × 10-15 Hz
જવાબ
(C) 16 × 10-15 Hz
E = hv
∴ v = 
પ્રશ્ન 60.
2.5 × 1013 m તરંગલંબાઈવાળા γ કિરણોના એક ફોટોનની ઊર્જા 5000 Å તરંગલંબાઈવાળા વિકિરણના કેટલા ફોટોનની ઊર્જા જેટલી જ હશે ?
60)
(A) 2 × 106
(C) 8 × 106
(B) 4 × 106
(D) 0.5 × 106
જવાબ
(A) 2 × 106
ધારો કે λ1 = 2.5 × 10-13m તરંગલંબાઈવાળા એક ફોટોનની ઊર્જા એ λ2 = 5000 × 10-10m તરંગલંબાઈવાળા n ફોટોનની ઊર્જા જેટલી છે.
∴ 
∴ n = 
∴ n = 2 × 106
પ્રશ્ન 61.
સ્થિર દળ કરતાં બમણું દળ હોય તેવા કણનો વેગ કેટલો હોય ?
(A) 
(B) 
(C) 
(D) 
જવાબ
(C) 

પ્રશ્ન 62.
ઇલેક્ટ્રોનનું સ્થિત દળ m0 છે. તે 0.6 c જેટલા વેગથી ગતિ કરે છે, તો તેનું દળ m = ………………….. . જ્યાં c = શૂન્યાવકાશમાં પ્રકાશનો વેગ.
(A) m0
(B) 
(C) 
(D) 
જવાબ
(B) 
ગતિમાન ઇલેક્ટ્રૉનનું દળ

પ્રશ્ન 63.
જો પ્રોટોન અને ઇલેકટ્રોન બંને સમાન દ-બ્રોગ્લી તરંગલંબાઈ ધરાવતા હોય તો
(A) બંને સમાન ગતિ-ઊર્જા ધરાવતા હશે.
(B) પ્રોટોનની ગતિ-ઊર્જા ઇલેકટ્રૉનની ગતિ-ઊર્જા કરતાં વધુ હશે.
(C) ઇલેક્ટ્રૉનની ગતિ-ઊર્જા પ્રોટોનની ગતિ-ઊર્જા કરતાં વધુ હશે.
(D) બંને સમાન વેગ ધરાવશે.
જવાબ
(C) ઇલેક્ટ્રૉનની ગતિ-ઊર્જા પ્રોટોનની ગતિ-ઊર્જા કરતાં વધુ હશે.

પ્રશ્ન 64.
એક પ્રોટોન અને એક α-કણની દ-બ્રૉગ્લી તરંગલંબાઈઓ સમાન છે, તો …………………….. રાશિ તેમના માટે સમાન હશે.
(A) વેગ
(B) ઊર્જા
(C) આવૃત્તિ
(D) વેગમાન
જવાબ
(D) વેગમાન
λp = λα ⇒ 
∴ Pપ્રોટોન = Pઆલ્ફા
∴ પ્રોટોન અને આલ્ફા કણના વેગમાન સમાન હશે.
પ્રશ્ન 65.
ઇલેક્ટ્રૉનની દ-બ્રોગ્લી તરંગલંબાઈ 10-10m થી ઘટાડી 0.5 × 10-10 m કરવા માટે તેની ઊર્જા ………………………. કરવી પડે.
(A) પ્રારંભિક ઊર્જા કરતાં ચાર ગણી
(B) પ્રારંભિક ઊર્જા કરતાં બે ગણી
(C) પ્રારંભિક ‘ઊર્જા કરતાં અડધી
(D) પ્રારંભિક ઊર્જા કરતાં ચોથા ભાગની
જવાબ
(A) પ્રારંભિક ઊર્જા કરતાં ચાર ગણી

પ્રશ્ન 66.
એક ઇલેક્ટ્રૉનને સ્થિર સ્થિતિમાંથી બે બિંદુઓ જેમના p.d. અનુક્રમે 20 V અને
 40V હોય, તો તેમની વચ્ચે પ્રવેગિત કરવામાં આવે છે, તો ઇલેક્ટ્રૉનની 
દ-બ્રોગ્લી તરંગલંબાઈ ……………………..
(A) 0.75 Å
(C) 2.75 Å
(B) 7.5 Å
(D) 0.75 nm
જવાબ
(C) 2.75 Å
અહીં, V = V2 – V1 = 40 – 20 = 20 V
λ = 
= 
= 0.274 × 10-9 = 2.75 Å
પ્રશ્ન 67.
m0 જેટલું સ્થિર દળ ધરાવતા અને શૂન્યાવકાશમાં પ્રકાશની ઝડપ જેટલા વેગથી ગતિ કરતા કણ માટે દ-બ્રોગ્લી તરંગલંબાઈ ……………………. હશે.
(A) 
(B) 0
(C) ∞
(D) 
જવાબ
(B) 0

પ્રશ્ન 68.
કેટલા p.d. ના તફાવતથી ઇલેક્ટ્રોનને પ્રવેગિત કરવો પડે કે જેથી તેની દ-બ્રોગ્લી તરંગલંબાઈ 0.4 Å થાય ?
(A) 9410 V
(B) 94.10 V
(C) 9.140 V
(D) 941.0 V
જવાબ
(D) 941.0V

= 940.5 = 941 V
પ્રશ્ન 69.
એક ઇલેક્ટ્રોનની દ-બ્રોગ્લી તરંગલંબાઈમાં 1 % વધારો કરવામાં આવે તો તેના વેગમાનમાં ……………………..
(A) 1 % વધારો થાય.
(B) 1 % ઘટાડો થાય.
(C) 2 % વધારો થાય.
(D) 2 % ઘટાડો થાય.
જવાબ
(B) 1 % ઘટાડો થાય.
λ = 
dλ ∝ p-2dp ∴ dλ ∝ – 
∴ 
∴ 
∴ વેગમાનમાં 1 % ઘટાડો થાય.
પ્રશ્ન 70.
m0 સ્થિર દળ ધરાવતો કણ પ્રકાશની ઝડપથી ચોથાભાગની ઝડપે ગતિ કરતો હોય તો કણની દ-બ્રોગ્લી તરંગલંબાઈ …………………… હોય.
(A) 
(B) 
(C) 
(D) 
જવાબ
(A) 

પ્રશ્ન 71.
એક ઇલેક્ટ્રૉન 0.5 × 10-4T ના સમાન ચુંબકીયક્ષેત્રને લંબરૂપે 
દાખલ થાય છે. જે 2 mm ત્રિજ્યાના વર્તુળાકાર માર્ગે ગતિ કરતો હોય તો તેની 
દ-બ્રોગ્લી તરંગલંબાઈ ………………………… Å.
(A) 3410
(B) 4140
(C) 2070
(D) 2785
જવાબ
(B) 4140
B = 0.5 × 10-4 T
r = 0.2 × 10-3 m
e = 1.6 × 10-19 C
ચુંબકીયક્ષેત્રમાં લંબરૂપે દાખલ થતાં ઇલેક્ટ્રૉન માટે
∴ mv= p = Ber
λ = 
= 
= 
= 4.14 × 10-7
∴ λ = 4140 Å
પ્રશ્ન 72.
એક પ્રોટોન 
(h = 6.63 × 10-34 Js, mp = 1.673 × 10-27 kg)
(A) 0.1321 Å
(B) 1.321 Å
(C) 0.1321 × 10-2 Å
(D) 1.321 × 10-4 Å
જવાબ
(D) 1.321 × 10-4 Å
p = 
∴ λ = 
પરંતુ v = 
mp = 1.0078 × 1.66 × 10-27 kg
= 1.673 × 10-27 kg
∴ λ = 
= 1.321 × 10-14 m
= 1.321 × 10-4 Å
પ્રશ્ન 73.
એક ઇલેક્ટ્રોન માઇક્રોસ્કોપમાં ઇલેક્ટ્રોનને 50 kV ની અસર હેઠળ પ્રવેગિત કરવામાં આવે છે, તો તેની દ-બ્રૉગ્લી તરંગલંબાઈ શોધો.
(A) 5.485 × 10-12 m
(B) 8.545 × 10-12 m
(C) 4.585 × 10-12 m
(D) 5.845 × 10-12 m
જવાબ
(A) 5.485 × 10-12 m
V = 50 kV = 50 × 103 V
λ = 
= 
= 
= 5.485 × 10-12 m
પ્રશ્ન 74.
એક ઇલેક્ટ્રોન 10 c જેટલા બિંદુવત્ વિધુતભારથી 10 m અંતરે છે. તેની કુલ ઊર્જા 15.6 × 10-10J છે. તો આ ઇલેક્ટ્રોનની આ સ્થાને દ-બ્રૉગ્લી તરંગલંબાઈ શોધો.
(h = 6.625 × 10-34 J. s, me = 9.1 × 10-31 kg, k = 9 × 109 SI)
(A) 9.87 Å
(B) 9.87 ફર્મી
(C) 8.97 Å
(D) 8.97 ફર્મી
જવાબ
(D) 8.97 ફર્મી
ઇલેક્ટ્રૉનની સ્થિતિઊર્જા U = –
∴ U = –
= -14.4 × 10-10 J
હવે E = k + U
∴ ગતિઊર્જા k = E – U
= 15.6 × 10-10 + 14.4 × 10-10
= 30 × 10-10 J
પરંતુ k = 
∴ p = 
∴ λ = 
∴ λ = 
= 8.97 × 10-15 m
= 8.97 ફર્મી (1 ફર્મી = 10-15 m)
પ્રશ્ન 75.
એક પરમાણુની 10° C તાપમાને દ-બ્રૉગ્લી તરંગલંબાઈ 0.4 Å છે. જો તાપમાનમાં 
30° C વધારો કરવામાં આવે તો પરમાણુની દ-બ્રોગ્લી તરંગલંબાઈમાં કેટલો ફેરફાર
 થાય ?
(A) 10-2 Å ઘટે.
(B) 2× 10-2 Å ઘટે.
(C) 10-2 A વધે.
(D) 2 × 10-2 Å વધે.
જવાબ
(B) 2 × 10-2 Å ઘટે.
T1 = 10 + 273 = 283 K
T2 = 40 + 273 = 313 K
λ1 = 0.4 Å
λ = 
પરંતુ E = 
∴ λ ∝ 
∴ 
∴ 
∴ 
∴ λ2 = 0.951 × 0.4 × 10-10
∴ λ2 = 0.38Å
∴ તરંગલંબાઈ = λ2 – λ1
= 0.38 Å – 0.4 Å = -0.02 Å
= 2 × 10-2 Å ઘટે.
પ્રશ્ન 76.
1 mg દ્રવ્યમાનવાળા કણનો વેગ 72 km/s છે, તો તેની ડી-બ્રૉગ્લી તરંગલંબાઈ ……………………… m છે.
(A) 3.3 × 10-29
(B) 3.3 × 10-10
(C) 3.3 × 10-32
(D) 3.3 × 10-6
જવાબ
(A) 3.3 × 10-29
m = 10-6 kg
v = 
= 20 m/s
કણની ડી-બ્રૉગ્લી તરંગલંબાઈ
λ = 
∴ λ = 
∴ λ = 3.3 × 10-29 m
પ્રશ્ન 77.
નીચેનામાંથી કયો આલેખ કણના વેગમાનમાં દ-બ્રૉગ્લી તરંગલંબાઈ સાથેનો ફેરફાર દર્શાવ છે ?

જવાબ

p = 
∴ p ∝ 
અહીં λ વધે તેમ p ઘટે છે, તેથી આલેખ (C) સાચો.
પ્રશ્ન 78.
બે વિધુતભારિત કણોના દળ અનુક્રમે 2m અને 3m છે તથા તેમના વિધુતભારો 
અનુક્રમે 34 અને 24 છે. આ બંને કણોને સમાન વિધુતસ્થિતિમાન તફાવત હેઠળ 
પ્રવેગિત કરવામાં આવે છે. તો તેમની દ-બ્રોગ્લી તરંગલંબાઈનો ગુણોત્તર 
………………… .
(A) 2 : 3
(B) 3 : 2
(C) 1 :
(D) 1 : 1
જવાબ
(D) 1 : 1

પ્રશ્ન 79.
અનિશ્ચિતતાના સિદ્ધાંતના આધારે કહી શકાય કે ………………………….
(A) ઇલેક્ટ્રૉન ન્યુક્લિયસમાં અસ્તિત્વ ધરાવે છે.
(B) ઇલેક્ટ્રૉન ન્યુક્લિયસમાં અસ્તિત્વ ધરાવતા નથી.
(C) ન્યુટ્રૉન ન્યુક્લિયસમાં અસ્તિત્વ ધરાવે છે.
(D) પ્રોટોન ન્યુક્લિયસમાં અસ્તિત્વ ધરાવે છે.
જવાબ
(B) ઇલેક્ટ્રૉન ન્યુક્લિયસમાં અસ્તિત્વ ધરાવતા નથી.
પ્રશ્ન 80.
વ્યવહારમાં અનિશ્ચિતતાનો સિદ્ધાંત ………………………. ને લગાડવામાં આવે છે.
(A) માત્ર સૂક્ષ્મ કણોને જ
(B) માત્ર સામાન્ય કણોને જ
(C) માત્ર માઇક્રોસ્કોપિક કણને
(D) ઉપરના કોઈ પણ કણને નહીં
જવાબ
(A) માત્ર સૂક્ષ્મ કણોને જ
પ્રશ્ન 81.
જો પ્રોટોન અને ઇલેક્ટ્રોનને સમાન વિસ્તારમાં કેદ કરવામાં આવે છે, તો વેગમાનની અનિશ્ચિતતા ……………………
(A) ઇલેક્ટ્રૉનના પ્રમાણમાં પ્રોટોનમાં વધુ જોવા મળે.
(B) પ્રોટોનના પ્રમાણમાં ઇલેક્ટ્રૉનમાં વધુ જોવા મળે.
(C) બંનેમાં સમાન જોવા મળે.
(D) તેમના દ્રવ્યમાનના સમપ્રમાણમાં જોવા મળે.
જવાબ
(C) બંનેમાં સમાન જોવા મળે.
હાઇઝનબર્ગના અનિશ્ચિતતાના સિદ્ધાંત પરથી,
Δx · Δp = 
∴ Δp = 
∴ Δp = અચળ
∴ બંને (પ્રોટોન અને ઇલેક્ટ્રૉન)માં વેગમાનની અનિશ્ચિતતા સમાન હશે.
પ્રશ્ન 82.
અનિશ્ચિતતાનો સિદ્ધાંત દર્શાવ છે કે ………………….
(A) કણના વેગમાન અને તરંગ ગુણધર્મ વચ્ચેનો સંબંધ દર્શાવે છે.
(B) કણનાં સ્થાન અને વેગમાનનાં ચોક્કસ મૂલ્યો મેળવવા અશક્ય છે.
(C) દ-બ્રૉગ્લી પરિકલ્પનાનું બીજું વિધાન છે.
(D) દ્રવ્યની ઝડપ અને આવૃત્તિ વચ્ચેનો સંબંધ.
જવાબ
(B) કણનાં સ્થાન અને વેગમાનનાં ચોક્કસ મૂલ્યો મેળવવા અશક્ય છે.
હાઇઝનબર્ગના અનિશ્ચિતતાના સિદ્ધાંત પરથી,
Δx · Δp = 
જ્યારે Δx → 0 ⇒ Δp → ∞ અને
Δp → 0 ⇒ Δx → ∞
∴ જો Δx અને Δp પૈકી કોઈ એકને વધારે ચોક્કસ કરતાં જઈએ તો બીજી રાશિ અનિશ્ચિત બનતી જાય છે.
આમ, એક સાથે કણનાં સ્થાન અને વેગમાનના ચોક્કસ મૂલ્યો મેળવવા અશક્ય છે.
પ્રશ્ન 83.
ઇલેક્ટ્રોનના સ્થાનની અનિશ્ચિતતા એ ડી-બ્રોગ્લી તરંગલંબાઈના ક્રમની છે. 
હાઇજીનબર્ગના અનિશ્ચિતતાના સિદ્ધાંતનો ઉપયોગ કરતાં માલૂમ પડે છે કે વેગમાં 
અનિશ્ચિતતાનો ક્રમ ……………………. છે.
(A) 1 v
(B) 2 v
(C) 
(D) 2πv
જવાબ
(C) 

પ્રશ્ન 84.
લેસર કિરણની આવૃત્તિની અનિશ્ચિતતા 2000 Hz છે, તો તેના પલ્સના આવર્તકાળની અનિશ્ચિતતા ………………………..
(A) 5 × 10-31 s
(B) 10-16 s
(C) 8 × 10-5 s
(D) 10-24 s
જવાબ
(C) 8 × 10-5 s
ΔE . ΔT = 
હવે, E = hv ∴ ΔE = hΔv
∴ hΔv = 
∴ ΔT = 
∴ ΔT = 
= 0.079 × 10-3
∴ ΔT ≈ 7.9 × 10-5 s = 8 × 10-5 s
પ્રશ્ન 85.
એક કણના સ્થાનની અનિશ્ચિતતા તેની દ-બ્રોગ્લી તરંગલંબાઈ જેટલી છે, તો તેના વેગમાનની અનિશ્ચિતતા ………………….
(A) 
(B) 
(C) 
(D) 
જવાબ
(A) 
હાઇઝનબર્ગના અનિશ્ચિતતાના સિદ્ધાંત અનુસાર,
Δx . Δp = 
Δx = λ હોવાથી,
∴ Δp = 
પ્રશ્ન 86.
એક પ્રોટોન અને એક ઇલેક્ટ્રૉનને એક અભેધ એક પારિમાણિક ડબ્બામાં પૂર્યાં છે, તો તેમના વેગની અનિશ્ચિતતાઓનો ગુણોત્તર …………………… છે. (me = ઇલેક્ટ્રોનનું દળ અને mp = પ્રોટોનનું દળ)
(A) 
(B) me·mp
(C) 
(D) 
જવાબ
(A) 
હાઇઝનબર્ગના અનિશ્ચિતતાના સિદ્ધાંત અનુસાર,
Δx · Δp = 
∴ Δx · Δ(mv) = 
∴ Δx · mΔv = 
∴ Δν = 
∴ Δν ∝ 
∴ 
પ્રશ્ન 87.
એક ઇલેક્ટ્રોનના સ્થાનની અનિશ્ચિતતા 0.1587 × 10-10 m છે, તો તેના વેગમાનની અનિશ્ચિતતા kg ms-1 માં
કેટલી હશે?
(A) 4 × 10-23
(B) 6.6 × 10-28
(C) 3.1 × 10-24
(D) 6.6 × 10-24
જવાબ
(D) 6.6 × 10-24
હાઇઝનબર્ગના સિદ્ધાંત પરથી,
Δx Δp = 
∴ Δp = 
= 
= 6.64736 × 10-24
≈ 6.6 × 10-24 kg ms-1
પ્રશ્ન 88.
50 ms-1 ની ઝડપથી ગતિ કરતા ઇલેક્ટ્રોન માટે ચોકસાઈ 0.005 % છે, તો તેના સ્થાનના માપનમાં મળતી ચોક્કસતા ………………. .
(A) 46 × 10-3 m
(B) 46 × 10-4 m
(C) 46 × 10-5 m
(D) 46 × 10-6 m
જવાબ
(A) 46 × 10-3 m ઇલેક્ટ્રૉનનું વેગમાન p = mu
∴ વેગમાનમાં અનિશ્ચિતતા = mv × 0.005 %
= 9.1 × 10-31 × 50 × 
= 2.275 × 10-33 kg ms-1
વેગમાનની અનિશ્ચિતતાને અનુરૂપ સ્થાનમાં ઉદ્દ્ભવતી
અનિશ્ચિતતા,
Δx = 
= 
= 0.4637 × 10-1
46 × 10-3 m
≈ 46 mm
પ્રશ્ન 89.
એક પ્રોટોનના સ્થાનની મહત્તમ અનિશ્ચિતતા 6 × 10-8m છે, તો તેના વેગના માપનમાં લઘુતમ અનિશ્ચિતતા ………………….. .
(h = 6.625 × 10-34 Js પ્રોટોનનું દળ = 1.67 × 10-27 kg)
(A) 1 mms-1
(C) 1 cms-1
(B) 1 ms-1
(D) 100 ms-1
જવાબ
(B) 1 ms-1
હાઇઝનબર્ગના અનિશ્ચિતતાના સિદ્ધાંત પરથી,
વેગમાનની અનિશ્ચિતતા Δp = 
∴ Δp = 
∴ Δp = 0.1758 × 10-26
∴ mΔv = 0.1758 × 10-26
∴ Δp = 
= 
વેગમાં અનિશ્ચિતતા ∴ ΔA ≈ 1.0 ms-1
પ્રશ્ન 90.
એક કણના વેગમાનની અનિશ્ચિતતા 10-30 kg ms-1 છે, તો તેના સ્થાનમાં લઘુતમ અનિશ્ચિતતા
(A) 10-8m
(B) 10-12m
(C) 10-16m
(D) 10-4m
જવાબ
(D) 10-4m
Δx . Δp = 
∴ Δx = 
= 
= 1.054 × 10-4m ≈ 10-4m
પ્રશ્ન 91.
ક્વૉન્ટમ યંત્રશાસ્ત્રમાં કણ …………………
(A) ને હાર્મોનિક તરંગોના સમૂહ તરીકે રજૂ કરી શકાય છે.
(B) ને કોઈ ચોક્કસ તરંગલંબાઈ ધરાવતા એક તરંગ તરીકે રજૂ કરી શકાય.
(C) ને ફકત જોડીમાં બે હાર્મોનિક તરંગો તરીકે રજૂ કરી શકાય.
(D) ને દળ ધરાવતા બિંદુવત્ પદાર્થ તરીકે ગણી શકાય.
જવાબ
(A) ને હાર્મોનિક તરંગોના સમૂહ તરીકે રજૂ કરી શકાય છે.
પ્રશ્ન 92.
ડેવિસન-ગર્મરના પ્રયોગમાં ઇલેક્ટ્રૉન ગનનાં ફિલામેન્ટ પર …………………… નું પડ ચઢાવેલું હોય છે .
(A) કાર્બન ઑક્સાઇડ
(B) બૅરિયમ ઑક્સાઇડ
(C) બૅરિલિયમ ઑક્સાઇડ
(D) રબર
જવાબ
(B) બૅરિયમ ઑક્સાઇડ
પ્રશ્ન 93.
ડેવિસન-ગર્મરના પ્રયોગમાં ઉષ્માજનિત ઇલેક્ટ્રોનને …………………. ના સ્ફટિક પર આપાત કરવામાં આવે છે.
(A) ટંગસ્ટન
(C) નિકલ
(B) લૅડ
(D) બૅરિલિયમ
જવાબ
(C) નિકલ
પ્રશ્ન 94.
ડેવિસન-ગર્મરના પ્રયોગમાં નિકલ પરથી પ્રકેરિત બીમની તીવ્રતા ………………… વડે માપવામાં આવે છે.
(A) ફોટોમીટર
(B) ઇલેક્ટ્રોસ્કોપ
(C) ડિટેક્ટર
(D) ગૅલ્વેનોમિટર
જવાબ
(C) ડિટેક્ટર
પ્રશ્ન 95.
ડેવિસન-ગર્મરના પ્રયોગમાં આપાત ઇલેક્ટ્રોનની દ-બ્રોગ્લી તરંગલંબાઈ પ્રવેગક વોલ્ટેજના ……………….. હોય છે.
(A) સમપ્રમાણમાં
(B) વ્યસ્ત પ્રમાણમાં
(C) વર્ગમૂળના સમપ્રમાણમાં
(D) વર્ગમૂળના વ્યસ્ત પ્રમાણમાં
જવાબ
(D) વર્ગમૂળના વ્યસ્ત પ્રમાણમાં
પ્રશ્ન 96.
ડેવિસન-ગર્મરના પ્રયોગમાં ગેલ્વેનોમિટરનું કોણાવર્તન, કલેક્ટરમાં દાખલ થતાં ઇલેક્ટ્રૉન બીમની તીવ્રતાના ……………………. પ્રમાણમાં હોય છે.
(A) સમ
(B) વ્યસ્ત
(C) વર્ગના સમ
(D) વર્ગમૂળના વ્યસ્ત
જવાબ
(A) સમ
પ્રશ્ન 97.
ડેવિસન-ગર્મરના પ્રયોગમાં ઇલેક્ટ્રોનની તરંગલંબાઈનું પ્રયોગિક મૂલ્ય ………………….. મળે છે.
(A) 0.165 nm
(B) 0.167nm
(C) 0.165 8
(D) 0.167 Å
જવાબ
(B) 0.167 nm
પ્રશ્ન 98.
ઇલેક્ટ્રોન માઇક્રોસ્કોપમાં ઇલેક્ટ્રૉનના ………………….. સ્વરૂપનો ઉપયોગ કરવામાં આવે છે.
(A) કણ
(B) તરંગ
(C) કણ અને તરંગ એમ બંને
(D) કંઈ કહી શકાય નહીં
જવાબ
(B) તરંગ
પ્રશ્ન 99.
100W નો એક બલ્બ તેને મળતી વિદ્યુતઊર્જામાંથી ૩% ઊર્જાનું પ્રકાશઊર્જામાં 
રૂપાંતર કરે છે. જો આ બલ્બ વડે ઉત્સર્જાતા પ્રકાશની તરંગલંબાઈ 6625 Å હોય 
તો 1 s માં તેમાંથી ઉત્સર્જાતા ફોટોનની સંખ્યા …………………
(h = 6.625 × 10-34J · s) (માર્ચ 2020)
(A) 1017
(B) 1019
(C) 1021
(D) 1015
જવાબ
(B) 1019
λ = 6625 Å
= 6.625 × 10-7 m
c = 3 × 108 m/s
100 W ના બલ્બમાંથી 1 s માં મળતી ઊર્જા = 100 J
3% નું પ્રકાશ ઊર્જામાં રૂપાંતર પામતી ઊર્જા 3J
હવ E = nhv
E = 
∴ n = 
∴ n = 1019
પ્રશ્ન 100.
લેસર વડે 6.0 × 1014 આવૃત્તિનો એકરંગી પ્રકાશ ઉત્પન થાય છે. ઉત્સર્જાયેલ પાવર 2.0 × 10-3 W છે. પ્રકાશની કિરણાવલિ (beam)માં રહેલા ફોટોનની ઊર્જા કેટલી હશે ? (માર્ચ 2020, ઑગષ્ટ 2020)
(A) 3.98 × 10-20 J
(B) 3.98 × 10-19J
(C) 3.98 × 10-48 J
(D) 3.98 × 1048 J
જવાબ
(D) 3.98 × 10-19 J
અહીં આવૃત્તિ v = 6.0 × 1014 Hz
પાવર P = 2.0 × 10-3W
h = 6.63 × 10-34 Js
દરેક ફોટોનની ઊર્જા,
E = hv
∴ E = 6.63 × 10-34 × 6.0 × 1014
= 39.78 × 10-20 J
= 3.98 × 10-19 J
લેસર વડે 5.0 × 1014 આવૃત્તિનો એકરંગી પ્રકાશ ઉત્પન્ન થાય છે. ઉત્સર્જાયેલ પાવર 66 W છે.
(a) પ્રકાશની કિરણાવલિ (bean)માં રહેલા ફોટોનની ઊર્જા કેટલી હશે ?
પ્રશ્ન 101.
લેસર વડે ઉત્સર્જાતા એકરંગી પ્રકાશનો પાવર 2.0 × 103 W છે અને પ્રકાશની કિરણાવલિમાં રહેલા ફોટોનની ઊર્જા 3.98 × 10-19J હોય, તો ઊર્જા સ્ત્રોત દ્વારા સરેરાશ રીતે એક સેકન્ડ દીઠ કેટલાં ફોટોન ઉત્સર્જાતા હશે ?
(A) 6 × 1014
(B) 5 × 1015
(C) 1.99 × 1016
(D) 5 × 1016
જવાબ
(B) 5 × 1015
અહીં આવૃત્તિ v = 6.0 × 1014 Hz
પાવર P = 2.0 × 10-3W
h = 6.63 × 10-34 Js
E = 3.98 × 10-19 J
જો ઉદ્ગમમાંથી એક સેકન્ડમાં N સંખ્યાના ફોટોન ઉત્સર્જિત થતા હોય, તો 
કિરણાવલિ (બીમ)માંથી પસાર થતો પાવર = ફોટોન દીઠ ઊર્જા Eના N ગણો જેથી,
P = NE
∴ N = 
∴ N = 0.5025 × 1016
∴ N ≈ 5.0 × 1015 ફોટોન સેકન્ડ
ઊર્જા સ્રોત દ્વારા સરેરાશ રીતે એક સેકન્ડ દીઠ કેટલા ફોટોન ઉત્સર્જાતા હશે ? (જવાબ : 2 × 1020 ફોર્ટોન/સેકન્ડ)
પ્રશ્ન 102.
સિઝિયમનું કાર્યવિધેય 2.14 eV છે.
(a) સિઝિયમની થ્રેશોલ્ડ આવૃત્તિ શોધો અને
(b) જો 0.60V ના સ્ટૉપિંગ પોટેન્શિયલ દ્વારા ફોટોઇલેક્ટ્રોન પ્રવાહ શૂન્ય થતો હોય તો આપાત પ્રકાશની તરંગલંબાઈ
શોધો.
(A) V0 = 4.54 × 1014 Hz, λ = 454 nm
(B) V0 = 5.16 × 1014 Hz, λ = 516 nm
(C) V0 = 5.16 × 1014 Hz, λ = 454 nm
(D) V0 = 5.16 × 1014 Hz, λ = 414 nm
જવાબ
(C) V0 = 5.16 × 1014 Hz, λ = 454 nm
અહીં કાર્યવિધેય,
Φ0 = 2.14 eV
= 2.14 × 1.6 × 10-19 J
= 3.424 × 10-19
h = 6.63 × 10-34 Js
1 eV = 1.6 × 10-19 J
c = 3.0 × 108 m/s
સ્ટૉપિંગ પોર્ટેન્શિયલ V0 = 0.60 V
∴ v0 = ?, λ = ?
(a) કાવિધેય Φ0 = hv0
∴ v0 = 
∴ v0 = 0.51644 × 1015
∴ v0 ≈ 5.16 × 1014 Hz
(b) ફોટોઇલેક્ટ્રિક સમીકરણ,
eV0 = hv – Φ0
∴ eV0 = 
∴ eV0 + Φ0 = 
∴ λ = 
= 
= 
= 
= 4.5369 × 10-7
∴ λ ≈ 454 × 10-9 m = 454 nm
પોટેશિયમનું કાર્યવિધેય 2.30 eV છે.
(a) પોટેન્શિયલ થ્રેશોલ્ડ આવૃત્તિ શોધો અને (b) જો 0.60 V ના ૉપિંગ 
પોટેન્શિયલ દ્વારા ફોટો ઇલેક્ટ્રોન પ્રવાહ શૂન્ય થતો હોય તો આપાત પ્રકાશની 
તરંગલંબાઈ શોધો.
(જવાબ (a) v0 = 5.55 × 1014 Hz, (b) λ = 429 nm)
પ્રશ્ન 103.
5.4 × 106 m/s ની ઝડપથી ગતિ કરતા ઇલેક્ટ્રોન સાથે સંકળાયેલ ડી-બૉગ્લી તરંગલંબાઈ કેટલી ?
નામના ગામ
(A) 0.135 Å
(B) 1.35 Å
(C) 0.0135 Å
(D) 4.92 Å
જવાબ
(B) 1.35 Å
ઇલેક્ટ્રૉન માટે :
ઇલેક્ટ્રૉનની ઝડપ v = 5.4 × 106 m/s
ઇલેક્ટ્રૉનનું દળ m = 9.11 × 10-31 kg
h = 6.63 × 10-34 JS
ઇલેક્ટ્રૉનનું વેગમાન,
p = mv
∴ p = 9.11 × 10-31 × 5.4 × 106
∴ p = 49.194 × 10-25
∴ p ≈ 4.92 × 10-24 kg m/s
⇒ હવે ડી-બ્રૉલ્લી તરંગલંબાઈ,
λ = 
∴ λ = 
∴ λ = 1.34756 × 10-10 m. ∴ λ ≈ 0.135 nm
4.5 ×106 m/sની ઝડપથી ગતિ કરતા ઇલેક્ટ્રૉન અને
(જવાબ : λ = 0.162 nm,)
પ્રશ્ન 104.
30.0 m/sની ઝડપથી ગતિ કરતા 150 g ના બૉલ, સાથે સંકળાયેલ ડી-બ્રોગ્લી તરંગલંબાઈ કેટલી હશે ? (ઑગષ્ટ 2020 જેવો)
(A) 1.47nm
(B) 1.47 Å
(C) 1.47 × 10-34 m
(D) 1.47 × 10-15 m
જવાબ
(C) 1.47 × 10-34 m
બૉલ માટે :
તેની ઝડપ v’ = 30.0 m/s
બૉલનું દળ m’ = 0.150 kg
h = 6.63 × 10-34 Js
∴ બૉલનું વેગમાન,
p’ = m’v’
∴ p’ = 0.15 × 30.0
∴ p’ = 4.50 kg m/s
∴ ડી-બૉગ્લી તરંગલંબાઈ,
∴ λ’ = 
∴ λ’ = 
∴ λ’ = 1.4733° × 10-34 m
∴ λ’ ≈ 1.47 × 10-34 m
નોંધઃ ઇલેક્ટ્રૉનની ડી-બ્રૉગ્લી તરંગલંબાઈ, ક્ષ-કિરણોની તરંગલંબાઈ સાથે 
સરખાવી શકાય તેવી છે. પણ બૉલની ડી-બૉગ્લી તરંગલંબાઈ પ્રોટોનની ડી-પ્રોગ્લી 
તરંગલંબાઈ કરતાં
10-19 ગણી નાની છે. આથી, આ તરંગલંબાઈ પ્રાયોગિક રીતે માપવી શક્ય નથી.
15.0 m/sની ઝડપથી ગતિ કરતા 30 gના બૉલ, સાથે સંકળાયેલ ડી-મૉગ્લી તરંગલંબાઈ કેટલી હશે ?
(જવાબ : λ’ = 1.4733 × 10-33 m)
પ્રશ્ન 105.
એક કણ, ઇલેક્ટ્રોનની ઝડપ કરતાં 3 ગણી ઝડપે ગતિ કરે છે. કણ અને ઇલેક્ટ્રોનની ડી-બ્રોગ્લી તરંગલંબાઈનો ગુણોત્તર 1.813 × 10-4 છે. કણનું દ્રવ્યમાન શોધો અને તે કયો કણ
હશે તે ઓળખો.
(A) 1.675 × 10-27 kg, ઇલેક્ટ્રૉન
(B) 1.675 × 10-27 kg, પ્રોટૉન
(C) 1.675 × 10-27 kg, ડ્યુટેરોન
(D) 1.675 × 10-27 kg, પૉઝિટ્રોન
જવાબ
(B) 1.675 × 10-27 kg, પ્રોટૉન
ધારો કે, ઇલેક્ટ્રૉનની ઝડપ ve અને કણની ઝડપ v છે. ઇલેક્ટ્રૉનનું દ્રવ્યમાન me અને કણનું દ્રવ્યમાન m છે તથા ઇલેક્ટ્રૉનની ડી-બ્રૉગ્લી તરંગલંબાઈ λe અને કણની ડી-બ્રૉગ્લી તરંગલંબાઈ λ છે.
હવે કણની ડી-બ્રૉગ્લી તરંગલંબાઈ,

∴ m = 1.675 × 10-27 kg
∴ આ દ્રવ્યમાનવાળો પ્ણ પ્રોટોન કે ન્યૂટ્રૉન હોઈ શકે.
એક કણ, ઇલેક્ટ્રૉનની ઝડપ કરતા 1.5 ગણી ઝડપે ગતિ કરે છે. કણ અને ઇલેક્ટ્રૉનની ડી-બ્રૉગ્લી તરંગલંબાઈનો ગુણોત્તર 1.813 × 10-4 છે. કણનું દ્રવ્યમાન શોધો અને તે કયો કણ હશે તે ઓળખો.
(જવાબ : m = 3.35 × 10-27 kg આ દ્રવ્યમાન વાળો કણ ક્યુટેરોન હોઈ શકે.)
પ્રશ્ન 106.
100 વોલ્ટના વિદ્યુત સ્થિતિમાનના તફાવત વડે પ્રવેગિત થયેલા ઇલેક્ટ્રૉન સાથે સંકળાયેલી ડી-બ્રૉગ્લી તરંગલંબાઈ કેટલી હશે ?
(A) 0.01227 nm
(B) 0.1227 nm
(C) 1.227 nm
(D) 12.27 nm
જવાબ
(B) 0.1227 nm
અહીં V = 100 V
λ = 
∴ λ = 
∴ λ = 
∴ λ = 0.1227 nm ≈ 0.123 Nm
આ કિસ્સામાં ઇલેક્ટ્રૉન સાથે સંકળાયેલી ડી-બ્રૉગ્લી તરંગલંબાઈ ક્ષ-કિરણોની તરંગલંબાઈના ક્રમની છે.
10 K વોલ્ટના વિદ્યુત સ્થિતિમાનના તફાવત વડે પ્રવેગિત થયેલા ઇલેક્ટ્રૉન સાથે સંકળાયેલી ડી-બ્રૉગ્લી તરંગલંબાઈ કેટલી હશે ?
(જવાબ : λ = 0.01227 nm અથવા = 0.1227 Å)
પ્રશ્ન 107.
30 kVના ઇલેક્ટ્રોન દ્વારા ઉત્પન્ન થતા ક્ષ-કિરણોની (a) મહત્તમ આવૃત્તિ અને
 (b) લઘુતમ તરંગલંબાઈ શોધો. 7.24 × 1018 Hz, Amin = 0.414 nm
(A) vmax = 7.24 × 1018 Hz, λmin = 0.414 nm
(B) vmax = 7.24 × 1018 Hz, λmin = 0.414 Å
(C) vmax = 4.14 × 1018 Hz, λmin = 0.724 nm
(D) vmax = 7.24 × 1018 Hz, λmin 0.0414 nm
જવાબ
(D) vmax = 7.24 × 1018 Hz, λmin 0.0414 nm
અહીં V = 30 kV = 3 × 104V, h = 6.63 × 10-34 Js
(a) {X-ray ના ફોટોનની મહત્તમ ઊર્જા} = {V વોલ્ટના દબાણે પ્રવેગિત ઇલેક્ટ્રૉનની મહત્તમ ઊર્જા}
∴ hVmax = eV
∴ Vmax = 
= 
= 0.72398 × 1019 Hz
∴ Vmax ≈ 7.24 × 1018 Hz
(b) હવે
c = vmax × λmin
∴ λmin = 
= 
= 0.41436 × 10-10 m ≈ 0.0414 nm
પ્રશ્ન 108.
એક પ્રયોગમાં ફોટોઇલેક્ટ્રિક કટ-ઑક્ વોલ્ટેજ 1.5 V છે. ઉત્સર્જાયેલા ફોટો 
ઇલેક્ટ્રોનની મહત્તમ ગતિઊર્જા કેટલી હશે ? (ઑગષ્ટ 2020 જેવો)
(A) 1.5 eV
(B) 1.5J
(C) 2.4 × 10-19 J
(D) 2.4 eV
જવાબ
(C) 2.4 × 10-19 J
અહીં, V0 = 1.5 V, e = 1.6 × 10-19 C
Kmax = eV0
= 1.6 × 10-19 × 1.5
= 2.4 × 10-19 J
અથવા
Kmax = eV0
= 1.5 eV
પ્રશ્ન 109.
ફોટોઇલેક્ટ્રિક અસરના એક પ્રયોગમાં, કટ ઑફ વોલ્ટેજ વિરુદ્ધ આપાત પ્રકાશની 
આવૃત્તિનો ઢાળ 4.12 × 10-15 Vs જેટલો મળે છે. પ્લાન્કના અચળાંકનું મૂલ્ય 
શોધો.
(A) 6.625 × 10-34 Js
(B) 6.63 × 10-34 Js
(C) 6.592 × 10-34 Js
(D) 6.692 × 10-34
જવાબ
(C) 6.592 × 10–34Js
અહીં, 
e = 1.6 × 10-19 J
⇒ hv = eV0
h અને e અચળ
∴ hΔv = eΔV0
∴ h = e
= 1.6 × 10-19 × 4.12 × 10-15
∴ h = 6.592 × 10-34 Js
પ્રશ્ન 110.
એક ધાતુની સપાટી પર 7.21 × 1014 Hz તરંગલંબાઈનો પ્રકાશ આપાત થાય છે. તેની સપાટીમાંથી 6.0 × 105 m/sની મહત્તમ ઝડપ ધરાવતા ઇલેક્ટ્રોન ઉત્સર્જિત થાય છે. ઇલેક્ટ્રૉનના ફોટો ઉત્સર્જન માટે થ્રેશોલ્ડ આવૃત્તિ કેટલી હશે ?
(A) 2.47 × 1014 Hz
(B) 9.68 × 1014 Hz
(C) 2.27 × 1014 Hz
(D) 4.74 × 1014 Hz
જવાબ
(D) 4.74 × 1014Hz
અહીં આવૃત્તિ v = 7.21 × 1014 Hz
vmax = 6.0 × 105 m/s
v0 = ? h = 6.63 × 10-34 Js
m = 9.1 × 10-31 kg
⇒ આઇન્સ્ટાઈનના ફોટોઇલેક્ટ્રિક સમીકરણ,
Kmax = hv – Φ0
∴ 
∴ hv0 = hv – 
∴ v0 = v – 
= 7.21 × 1014 – 
= 7.21 × 1014 – 2.47 × 1014
∴ v0 = 4.74 × 1014 Hz
પ્રશ્ન 111.
120 eV જેટલી ગતિઊર્જા ધરાવતા ઇલેક્ટ્રોનની ડી-બ્રોગ્લી તરંગલંબાઈ કેટલી હશે ?
(A) 1121 × 10-13 m
(B) 1121 × 10-12 m
(C) 0.1121 × 10-11 m
(D) 0.1121 × 10-10 m
જવાબ
(A) 1121 × 10-13m
ગતિઊર્જા K = 120 eV 120 × 1.6 × 10-19 J
= 1.92 × 10-17 J
h = 6.63 × 10-34 Js
m = 9.1 × 10-31 kg
ડી-બ્રૉગ્લી તરંગલંબાઈ,
λ = 
∴ λ = 
∴ λ = 1.121 × 10-10 m
∴ λ = 0.1121 nm
પ્રશ્ન 112.
એક ઇલેક્ટ્રોનની તરંગલંબાઈ 1.0 nm છે. તો તેની ગતિઊર્જા ઇલેક્ટ્રોન વોલ્ટમાં શોધો.
(A) 1.243 keV
(B) 2.41 × 10-19 eV
(C) 1.51 eV
(D) 1.51 keV
જવાબ
(C) 1.51 eV
અહીં λ = 1.00 nm = 1 × 10-9 m
ઇલેક્ટ્રૉનની ગતિઊર્જા,
K = 
∴ K = 2.4152 × 10-19 J
∴ K = 
= 1.509 eV ≈ 1.51 eV
પ્રશ્ન 113.
300 K તાપમાને દ્રવ્ય સાથે તાપીય સંતુલનમાં રહેલાં (
(A) 0.146 nm
(B) 0.461 nm
(C) 0.416nm
(D) 0.164 nm
જવાબ
(A) 0.146 nm
λ = 1.40 × 10-10 m,
h = 6.63 × 10-34 Js,
n = 1.67 × 10-27 kg
ન્યૂટ્રૉનની સરેરાશ ગતિઊર્જા,
અહીં kB = 1.38 × 10-23 J mol-1 K-1
T = 300 K
K = 
∴ K = 
∴ K = 621 × 10-23 J
∴ ડી-બ્રૉગ્લી તરંગલંબાઈ,
∴ λ = 
∴ λ = 
∴ λ = 
∴ λ = 0.14558 × 10-9 m
∴ λ ≈ 0.146 nm
પ્રશ્ન 114.
એક ક્ષ-કિરણની ટ્યૂબ સતત વર્ણપટના વિકિરણો ઉત્સર્જિત કરે છે જેમની સૌથી 
ટૂંકી તરંગલંબાઈ 0.45 A છે. આ વિકિરણમાં ફોટોનની મહત્તમ ઊર્જા કેટલી હશે ?
(A) 27.6 eV
(B) 27.6 keV
(C) 27.6 MeV
(D) 27.6 meV
જવાબ
(B) 27.6 keV
અહીં X-કિરણની તરંગલંબાઈ,
λ = 0.45 Å
0.45 × 10-10 m
h = 6.63 × 10-34 Js, c = 3 × 108 ms-1
(a) ફોટોનની મહત્તમ ઊર્જા,
E = hv
∴ E = 
∴ E = 44.2 × 10-16 J
∴ E = 
∴ E = 27.625 × 103 eV
∴ E ≈ 27.6 keV
પ્રશ્ન 115.
500 m તરંગલંબાઈના રેડિયો તરંગો ઉત્સર્જિત કરતાં 10 kW પાવરના મીડિયમ વેવ 
ટ્રાન્સમીટરમાંથી એક સેકન્ડ દીઠ ઉત્સર્જાતા ફોટોનની સંખ્યા કેટલી હશે ?
(A) 2.51 × 1031
(B) 2.51 × 1032
(C) 2.51 x 1030
(D) 2.51 × 1024
જવાબ
(A) 2.51 × 1031
અહીં λ = 500 m, P = 10 kW = 104 W
h = 6.63 × 10-34Js, c = 3 × 108 ms-1
(a) દરેક ફોટોનની ઊર્જા,
E = hv
∴ E = 
∴ E = 0.0398 × 10-26
∴ E ≈ 3.98 × 10-28 J

≈ 2.51 × 1031 ફોટોન/સેકન્ડ
≈ 3.0 × 1031 ફોટોન/સેકન્ડ
⇒ આપણે જોઈ શકીએ કે રેડિયો કિરણોના ફોટોનની ઊર્જા ઘણી જ ઓછી છે અને રેડિયો 
કિરણોના બીમમાં ફોટોન સેકન્ડની સંખ્યા અતિશય મોટી છે. આથી, ફોટોનની લઘુતમ 
ક્વૉન્ટમ ઊર્જા અવગણીએ તથા રેડિયો તરંગની કુલ ઊર્જાને સતત ધારીએ, તો અવગણ્ય
 ત્રુટિ ઉદ્ભવે છે.
પ્રશ્ન 116.
સોડિયમ અને તાંબા માટે વર્ક-ફંક્શન અનુક્રમે 2.3 eV અને 4.5 eV છે, તો થ્રેશોલ્ડ તરંગલંબાઈઓનો ગુણોત્તર લગભગ …………………… થાય. (2002)
(A) 1 : 2
(B) 2 : 1
(C) 4 : 1
(D) 1 : 4
જવાબ
(B) 2 : 1

પ્રશ્ન 117.
બે સમાન ફોટો સંવેદી સપાટીઓ પર v1 અને v2 આવૃત્તિઓવાળા પ્રકાશ આપાત થાય છે, તો m દળવાળા ફોટો-ઇલેક્ટ્રોન્સના મહત્તમ વેગ અનુક્રમે v1 અને v2 હોય તો …………………(2003)

જવાબ


પ્રશ્ન 118.
એક સંપૂર્ણ પરાવર્તક સપાટી પર E જેટલી વિકિરણ ઊર્જા આપાત થાય છે, તો આ સપાટીને મળતું વેગમાન ……………………… થાય. (2004)
(A) 
(B) 
(C) Ec
(D) 
જવાબ
(B) 
આપાત ફોટોનનું વેગમાન P1 = 
પરાવર્તિત ફોટોનનું વેગમાન P2 = 
ફોટોનના વેગમાનમાં થતો ફેરફાર = – સપાટીના વેગમાનમાં ફેરફાર
∴ સપાટીને મળતું કુલ વેગમાન = 
પ્રશ્ન 119.
આઇન્સ્ટાઇનના ફોટોઇલેક્ટ્રિક સમીકરણ અનુસાર ધાતુમાંથી ઉત્સર્જિત 
ફોટો-ઇલેક્ટ્રોનની ગતિઊર્જા વિરુદ્ધ આપાત વિકિરણની આવૃત્તિના ગ્રાફ સુરેખ 
મળે છે, જેનો ઢાળ ……………………
(2004)
(A) ઉપયોગમાં લેવાયેલી ધાતુના પ્રકાર પર આધારિત છે.
(B) વિકિરણની તીવ્રતા ઉપર આધાર રાખે છે.
(C) વિકિરણની તીવ્રતા અને ઉપયોગમાં લેવાયેલ ધાતુ બંને ઉપર આધાર રાખે છે.
(D) તે બધી ધાતુઓ માટે સરખું છે અને વિકિરણની તીવ્રતાથી મુક્ત છે.
જવાબ
(D) તે બધી ધાતુઓ માટે સરખું છે અને વિકિરણની તીવ્રતાથી મુક્ત છે.
(પ્લાન્ક અચળાંક) છે. જે ઉત્સર્જકની ધાતુના પ્રકાર અને વિકિરણની તીવ્રતાથી સ્વતંત્ર છે. તેથી જવાબ (D) સાચો છે.
પ્રશ્ન 120.
1m દૂર મૂકેલા નાના તેજસ્વી પ્રકાશ ઉદ્ગમ વડે ફોટોસેલ પ્રકાશિત કરે છે. જો આ જ પ્રકાશ ઉદ્ગમને 
(A) 2 ગણી વધે.
(B) 2 ગણી ઘટે.
(C) 4 ગણી વધે.
(D) 4 ગણી ઘટે.
જવાબ
(C) 4 ગણી વધે.

તેથી તીવ્રતા ચાર ગણી વધે છે.
પ્રશ્ન 121.
જો મુક્ત ઇલેક્ટ્રોનનો વેગ બમણો કરવામાં આવે તો તેની ડી-બ્રૉગ્લી તરંગલંબાઈમાં થતો ફેરફાર …………………… હશે. (2005)
(A) 
(B) 
(C) 2λ જેટલો વધારો
(D) 2λ જેટલો ઘટાડો
જવાબ
(B) 
v2 = 2v1

પ્રશ્ન 122.
ફોટોસેલના ઍનોડ પરના વોલ્ટેજ અચળ રાખીને કેથોડ પર આપાત થતા પ્રકાશની 
તરંગલંબાઈ λ ક્રમશઃ ફેરફાર કરવામાં આવે છે. ફોટોસેલનો પ્રવાહ I અને λ સાથે 
નીચેના પૈકી કેવી રીતે બદલાય છે ? (2006, JEE-2013)

જવાબ

થ્રેશોલ્ડ તરંગલંબાઈ λ0 હોય તો λ ≤ λ0 માટે ફોટો- ઇલેક્ટ્રૉનનું ઉત્સર્જન થવાથી ફોટો-ઇલેક્ટ્રિક પ્રવાહ મળે છે અને જેમ λ ઘટે તેમ પ્રવાહ વધે છે.
પ્રશ્ન 123.
ધાતુની થ્રેશોલ્ડ આવૃત્તિને અનુરૂપ ઊર્જા 6.2 eV છે. સપાટી પર આપાત 
વિકિરણને અનુરૂપ સ્ટૉપિંગ-પોટેન્શિયલ 5V હોય તો આપાત વિકિરણ ………………….. હશે.
 (2006)
(A) X-ray વિભાગમાં
(B) પારજાંબલી વિભાગમાં
(C) પારરક્ત વિભાગમાં
(D) દૃશ્ય વિભાગમાં
જવાબ
(B) પારજાંબલી વિભાગમાં
E = Km + Φ = eV0 + Φ = (5 + 6.2) eV = 11.2eV
∴ λ = 
= 1.108 × 10-7 m = 1108 Å
આ તરંગલંબાઈ પારજાંબલી વિભાગમાં આવેલ છે.
પ્રશ્ન 124.
ધાતુની સપાટી પર ફોટોન આપાત થયા બાદ ફોટો ઇલેક્ટ્રોન આશરે કેટલા સમય બાદ ઉત્સર્જિત થાય છે ? (2006)
(A) 10-1 s
(B) 10-4s
(C) 10-10 s
(D) 10-16 s
જવાબ
(C) 10-10 s
પ્રશ્ન 125.
f આવૃત્તિ ધરાવતા ફોટોનનું વેગમાન P = ……………… .
(જ્યાં c → પ્રકાશનો વેગ) (2007)
(A) 
(B) hfc
(C) 
(D) 
જવાબ
(D) 
ફોટોનનું વેગમાન p = 
પ્રશ્ન 126.
એક પ્રયોગમાં ઇલેક્ટ્રોનની ડી-બ્રોગ્લી તરંગલંબાઈ જેટલી જ d પહોળાઈની સ્લિટ
 પર ઇલેક્ટ્રોન્સની કિરણાવલિ સ્લિટના સમતલને લંબરૂપે આપાત કરવામાં આવે છે 
અને લિટથી D અંતરે રહેલા પડદા પર તેમની ઓળખ (પરખ) કરવામાં આવે છે. 
ઇલેક્ટ્રોનની સંખ્યા (N) વિરુદ્ધ ડિટેક્ટરના સ્થાન (y) ના નીચેના આલેખો 
પૈકી ક્યો આલેખ મળવાની શક્યતા છે ? (2008)

જવાબ

ગતિમાન ઇલેક્ટ્રૉન્સ તરંગ તરીકે વર્તે છે. તેથી વિવર્તન થવું જોઈએ. પરિણામે
 પડદા પર મધ્યસ્થ અધિકતમની પહોળાઈ, સ્વિટની પહોળાઈ કરતાં વધારે મળવી જોઈએ, 
જે વિકલ્પ (D)માં દર્શાવેલ છે.
પ્રશ્ન 127.
એક ફોટોસેલમાં ઉત્સર્જક પર 400 nm ના તરંગલંબાઈવાળો પ્રકાશ આપાત કરતાં 
ઉત્સર્જાતા ફોટો-ઇલેક્ટ્રોન્સની મહત્તમ ગતિઊર્જા 1.68 eV હોય તો આ ઉત્સર્જક
 માટે વર્ક-ફંક્શન ………………….. થાય. [hc = 1240 eVnm લો.] (2009)
(A) 3.09 eV
(B) 1.42 eV
(C) 1.51 eV
(D) 1.68 eV
જવાબ
(B) 1.42 eV
આઇન્સ્ટાઇનના ફોટોઇલેક્ટ્રિક સમીકરણ પરથી,
hf = hf0 + 
∴ Φ = 3.1 – 1.68
∴ Φ = 1.42 eV
પ્રશ્ન 128.
4 kW પાવરવાળા એક ઉદ્ગમમાંથી 1020 ફોટોન/સેકન્ડના દરથી વિકિરણ 
ઊર્જાનું ઉત્સર્જન થતું હોય તો અનુરૂપ વિદ્યુતચુંબકીય વર્ણપટના …………………….. 
વિસ્તારમાં હશે. (h = 6.6 × 10-34 Js લો.) (2010)
(A) ગેમા કિરણોના
(B) X-કિરણોના
(C) પારજાંબલી કિરણોના
(D) માઇક્રો તરંગોના
જવાબ
(B) X-કિરણોના

= 6.06 × 1016  Hz
આ આવૃત્તિ ધરાવતા વર્ણપટ્ટમાં વિસ્તાર X-તરંગોનો છે.
પ્રશ્ન 129.
M દળવાળું એક સ્થિર ન્યુક્લિયસ mN દળવાળા સ્થિર ન્યૂટ્રોનનું શોષણ કરે છે. ત્યારબાદ આ સંયોજિત ન્યુક્લિયસમાં m1 અને 5 m1, દળવાળા બે ન્યુક્લિયસોમાં વિભાજન પામે છે. જો m1 દળવાળા ન્યુક્લિયસ માટે ડી-બ્રોગ્લી તરંગલંબાઈ λ હોય તો બીજા ન્યુક્લિયસ માટે ડી-બ્રોગ્લી તરંગલંબાઈ ……………………. થાય. (2011-B)
(A) 25λ
(B) 5λ
(C) 
(D) λ
જવાબ
(D) λ
વેગમાનના સંરક્ષણના નિયમ પરથી,
∴ 
∴ 
∴ મૂલ્ય લેતાં p1 = p2
∴ 
∴ λ2 = λ1
∴ λ2 = λ [∵ λ1 = λ લીધેલ છે]
પ્રશ્ન 130.
હાઇડ્રોજન પરમાણુ માટે 3 → 2 સક્રાંતિને અનુરૂપ વિકિરણ ધાતુ સપાટી પર પડતા ફોટો-ઇલેક્ટ્રોન ઉત્પન્ન કરે છે. આ ઇલેક્ટ્રોનને 3 × 10-4
 T વાળા ચુંબકીયક્ષેત્રમાં દાખલ કરવામાં આવે છે. જો ઇલેક્ટ્રૉનના સૌથી મોટા
 વર્તુળાકાર માર્ગની ત્રિજ્યા 10.0 mm હોય તો ધાતુનું વર્ક-ફંક્શન ને 
…………………… નજીક થશે. (JEE-2014)
(A) 0.8 eV
(B) 1.6 eV
(C) 1.8 eV
(D) 1.1 eV
જવાબ
(D) 1.1 ev
ચુંબકીયક્ષેત્રમાં દાખલ થતા ઇલેક્ટ્રૉનના વર્તુળાકાર ગતિપથની ત્રિજ્યા,

∴ V ≈ 0.8 V
∴ hv ≈ 0.8 eV [∵ hv = eV]
હવે, n = 3 માંથી n = 2 માં થતી સક્રાંતિ માટે,
E = 13.6 [latex]\frac{1}{4}-\frac{1}{9}[/latex]eV
= 13.6 [latex]\frac{5}{36}[/latex] = 1.88 eV
∴ કાર્યવિધેય = E – hv = 1.88 – 0.8 = 1.08 eV
≈ 1.1 eV
પ્રશ્ન 131.
એક ફોટોસેલ પર તરંગલંબાઈ λ ધરાવતું વિકિરણ આપાત કરવામાં આવે છે. જેનાથી 
ઉત્સર્જિત થતા સૌથી ઝડપી ઇલેક્ટ્રૉનની ઝડપ v છે. જો તરંગલંબાઈ બદલીને 

જવાબ

બીજા કિસ્સા માટે,

પ્રશ્ન 132.
16 mW/m2 જેટલી વિકિરણની તીવ્રતાથી ધાતુની પ્લેટના 1 × 10-4m2
 ક્ષેત્રફળને પ્રકાશિત કરે છે. ધાતુનું વર્ક ફંક્શન 5 eV છે. આપાત ફોટોનની 
ઊર્જા 10 eV છે અને માત્ર 10 % ફોટો ઇલેક્ટ્રોન ઉત્સર્જિત થાય છે, તો દર 
સેકન્ડે ઉત્સર્જિત ફોટો ઇલેક્ટ્રોનની સંખ્યા અને તેની મહત્તમ ઊર્જા 
અનુક્રમે …………………….. [1 eV = 1.6 ×-19 J] (JEE (Main) Jan – 2019)
(A) 1010 અને 5 eV
(B) 1012 અને 5 eV
(C) 1011 અને 5 eV
(D) 1014 અને 10 eV
જવાબ
(C) 1011 અને 5 eV
E = IAt [∵ I = 
= 16 × 10-3 × 1 × 10-4 × 1
= 16 × 10-7 J
E’ = E ના 10% = 
∴ E’ = 16 × 10-8 J
જો ઉત્સર્જાતા ઇલેક્ટ્રૉનની સંખ્યા n હોય તો,
⇒ n = 
∴ n = 1011
મહત્તમ ઊર્જા
hv – hv0
= 10 eV – 5 eV
= 5 eV
પ્રશ્ન 133.
1 cm2 ક્ષેત્રફળ અને 2 eV ના વર્ક ફંક્શનવાળી ફોટોસંવેદી ધાતુ પર 6.4 × 10-5 W/cm2 ની પ્રકાશની તીવ્રતા અને 310 nm તરંગલંબાઈવાળો પ્રકાશ લંબરૂપે આપાત થાય છે. જો 103 ફોટોન દીઠ 1 ઇલેક્ટ્રોન ઉત્સર્જાય તો એક સેકન્ડમાં ઉત્સર્જાતા ફોટોઇલેક્ટ્રોનની સંખ્યા 10x છે તો x નું મૂલ્ય શોધો. (JEE Jan. – 2020)
[hc = 1240 eV/nm, 1 eV = 1.6 × 10–19 J]
(A) 14
(B) 12
(C) 11
(D) 10
જવાબ
(C) 11
P = IA
= 6.4 × 10-5 × 1
= 6.4 × 10-5 W
⇒ E = hv
= 
= 
= 4 eV > 2eV
∴ E > Φ0 હોવાથી ફોટો ઇલેક્ટ્રૉનનું ઉત્સર્જન થાય.
nE = P
∴ n = 
= 
∴ n = 1014
∴ દર સેકન્ડે ઉત્સર્જાતા ઇલેક્ટ્રૉન્સની સંખ્યા = 
10x = 1011
∴ x = 11
પ્રશ્ન 134.
એક ઇલેક્ટ્રોન અને એક ફોટોનની ઊર્જા એકસરખી છે. ઇલેક્ટ્રોન અને ફોટોનની 
ડી-બ્રોગ્લી તરંગલંબાઈનો ગુણોત્તર શોધો. ઇલેક્ટ્રોનનું દ્રવ્યમાન = m અને 
પ્રકાશની ઝડપ = c આપેલું છે. (JEE Jan.- 2020)

જવાબ


પ્રશ્ન 135.
A અને B ધાતુઓ પર આપાત ફોટોનની ઊર્જા અનુક્રમે 4eV અને 4.5 eV છે. તેમાંથી ઉત્સર્જિત ઇલેક્ટ્રોનની મહત્તમ ગતિ-ઊર્જા અનુક્રમે TA અને TB = TA – 1.5 eV છે તથા ઉત્સર્જિત ડી-બ્રોગ્લી તરંગલંબાઈનો સંબંધ λB = 2λA છે, તો ધાતુ B નું વર્કફંક્શન શોધો. (JEE Jan. – 2020)
(A) 1.5eV
(B) 3eV
(C) 4eV
(D) 4.5eV
જવાબ
(C) 4eV

TA = 2eV
∴ હવે TB = (TA – 1.5)eV
= (2 – 1.5)eV = 0.5 eV
હવે TB = hv – ΦB
∴ ΦB = hv – TB
= (4.5 – 0.5)eV
∴ ΦB = 4.0 eV
પ્રશ્ન 136.
ચોક્કસ ધાતુ માટે ફોટોઇલેક્ટ્રિક અસરના પ્રયોગ પરથી મેળવેલ આકૃતિમાં થોડા 
બિંદુઓ આપેલા છે. ધાતુની સપાટી પરથી ઇલેક્ટ્રોનને છટકવા માટે લઘુતમ ઊર્જા 
છે. (પ્લાન્ક 6.62 × 10-34 Js) JEE Main – 2020)

(A) 2.10 eV
(B) 2.59 eV
(C) 1.93 eV
(D) 2.27 eV
જવાબ
(D) 2.27 eV

થ્રેશોલ્ડ ઊર્જા = hf0
= 6.62 × 10-34 × 5.5 × 1014 J
∴ કાર્યવિધેય Φ = 
= 22.756 × 10-1 eV
∴ Φ ≈ 2.27 eV
પ્રશ્ન 137.
ફોટો-ઇલેક્ટ્રિક અસરના પ્રયોગમાં સ્ટૉપિંગ પૉટેન્શિયલ V વિરુદ્ધ 
તરંગલંબાઈના વ્યસ્તનો આલેખ આકૃતિમાં બતાવ્યા પ્રમાણેનો મળે છે, તો જેમ આપાત
 વિકિરણની તીવ્રતા વધારીએ તેમ ………………… (JEE Main – 2020)
(A) સુરેખાનો ઢાળ વધારે ચઢાણવાળો મળે છે
(B) આલેખમાં ફેરફાર થશે નહીં
(C) સુરેખા જમણી બાજુ ખસશે
(D) સુરેખા ડાબી બાજુ ખસશે
જવાબ
(B) આલેખમાં ફેરફાર થશે નહીં
eVs = hv – W
∴ Vs = 
પણ v = 
∴ Vs = 
∴ Vs 
તેથી, આલેખમાં ફેરફાર થશે નહીં કારણ કે, λ બદલાતો નથી.
પ્રશ્ન 138.
200 V ના વિદ્યુતસ્થિતિમાનની અસર હેઠળ એક -કણ અને પ્રોટોન પ્રવેગિત થાય છે, તો તેમની ડી-બ્રૉગ્લી તરંગલંબાઈનો ગુણોત્તર(
(A) 2
(B) 2√2
(C) 
(D) 
જવાબ
(B) 2√2
V વોલ્ટના વિદ્યુતસ્થિતિમાનની અસર હેઠળ q વિદ્યુતભારની ગતિઊર્જા = qV
ગતિઊર્જા K = 

પ્રશ્ન 139.
ફોટોઇલેક્ટ્રિક અસરમાં ધાતુનું વર્ક-ફંકશન 3.5 eV છે. -1.2V પોટેન્શિયલ 
આપતાં ફોટો-ઇલેક્ટ્રિક પ્રવાહ શૂન્ય બને છે. તેથી ………………….. (CBSE PMT – 
1994)
(A) આપાત ફોટોનની ઊર્જા 4.7 eV છે.
(B) આપાત ફોટોનની ઊર્જા 2.3 eV છે.
(C) જો ઊંચી આવૃત્તિના ફોટોનનો ઉપયોગ કરાય તો ફોટો- ઇલેક્ટ્રિક પ્રવાહ પેદા થાય.
(D) જ્યારે ફોટોનની ઊર્જા 2.3 eV હોય ત્યારે ફોટો-ઇલેક્ટ્રિક પ્રવાહ મહત્તમ હોય.
જવાબ
(A) આપાત ફોટોનની ઊર્જા 4.7 V છે.
આપાત ફોટોનની ઊર્જા EK = hv – Φ હોવાથી,
hv = Φ + EK [EK = Ve = 1.2 eV]
= 3.5 + 1.2
= 4.7 eV ગતિઊર્જા ધન જ હોય.
પ્રશ્ન 140.
m દળ ધરાવતા ઇલેક્ટ્રૉનને V વૉલ્ટેજે પ્રવેગિત કરવામાં આવે ત્યારે તેની 
સાથે λ જેટલી ડી-બ્રોગ્લી તરંગલંબાઈ સંકળાય છે, તો M દળવાળા પ્રોટોનને 
તેટલા જ વૉલ્ટેજે
પ્રવેગિત કરતાં તેની સાથે ………………. ડી-બ્રોગ્લી તરંગલંબાઈ સંકળાશે. (CBSE PMT – 1995)
(A) λ(
(B) λ(
(C) λ(
(D) λ(
જવાબ
(C) λ(
ડી-બ્રૉગ્લી તરંગલંબાઈ λ = 
∴ λ ∝ 
∴ 
∴ λp = λ(
પ્રશ્ન 141.
પ્રોટોન સાથે સંકળાયેલ તરંગ માટે ડી-બ્રૉગ્લી તરંગલંબાઈમાં 0.25 % ફેરફાર થાય છે. જો તેના વેગમાનમાં p0 જેટલો ફેરફાર થતો હોય તો તેનું પ્રારંભિક વેગમાન = …………………. (CPMT – 2002)
(A) 100 P0
(B) 
(C) 401 P0
(D) 
જવાબ
(C) 401 P0

પ્રશ્ન 142.
1 m દૂર રાખેલ પ્રકાશના બિંદુવત્ ઉદ્ગમ દ્વારા એક ફોટો-સેલને પ્રકાશિત 
કરવામાં આવે છે. હવે ઉદ્ગમને 2m દૂર ખસેડવામાં આવે તો ……………. (2003)
(A) ઉત્સર્જિત ઇલેક્ટ્રૉનની સંખ્યા મૂળ સંખ્યાના 
(B) દરેક ઉત્સર્જિત ઇલેક્ટ્રૉનની ઊર્જા મૂળ ઊર્જાથી 
(C) ઉત્સર્જિત ઇલેક્ટ્રૉનની સંખ્યા મૂળ ઇલેક્ટ્રૉનની સંખ્યા કરતાં અડધી હોય છે.
(D) દરેક ઉત્સર્જિત ઇલેક્ટ્રૉનની ઊર્જા મૂળ ઊર્જાથી અડધી હોય છે.
જવાબ
(A) ઉત્સર્જિત ઇલેક્ટ્રૉનની સંખ્યા મૂળ સંખ્યાના 
પાવર ∝ ઉત્સર્જિત ઇલેક્ટ્રૉનની સંખ્યા N.
પાવર ∝ 
પ્રશ્ન 143.
એક ફોટો-સંવેદી ધાતુની સપાટીનું વર્ક-ફંકશન hv0 છે. જો તેની પર 2hv0 ઊર્જા ધરાવતા ફોટોન પડે તો તેમાંથી નીકળતાં ઇલેક્ટ્રોનનો મહત્તમ વેગ 4× 106 m/s છે. જો ફોટોનની ઊર્જા 5v0 જેટલી વધારવામાં આવે તો ફોટો- ઇલેક્ટ્રોનનો મહત્તમ વેગ ……………… થશે. (2005)
(A) 2 × 107 m/s
(B) 2 × 106 m/s
(C) 8 × 106 m/s
(D) 8 × 105 m/s
જવાબ
(C) 8 × 106 m/s
આપણે જાણીએ છીએ કે

∴ v2 = 2v1 = 2 × 4 × 106 = 8 × 106 m/s
પ્રશ્ન 144.
a, b અને c ધાતુઓના વર્ક-ફંકશન અનુક્રમે 1.92 eV, 2.0 eV અને 5 eV છે. 
આઇન્સ્ટાઇનના સમીકરણ મુજબ 4100 Å તરંગલંબાઈવાળું વિકિરણ કઈ ધાતુ કે 
ધાતુઓમાંથી ફોટો ઇલેક્ટ્રૉનનું ઉત્સર્જન કરશે ? (AIIMS 2005)
(A) એકપણ નહીં
(B) ફક્ત A
(C) ફક્ત (A) અને (B)
(D) બધી જ ધાતુઓ
જવાબ
(C) ફક્ત (A) અને (B)

⇒ E ≈ 3 eV
તેથી જો ધાતુનું વર્ક-ફંકશન 3 eV ઓછું હોય તો 4100 Å તરંગલંબાઈ ધરાવતા આપાત વિકિરણ દ્વારા ફોટો-ઈલેક્ટ્રૉનનું ઉત્સર્જન થાય છે.
પ્રશ્ન 145.
hv ઊર્જાના ફોટોન એક ઍલ્યુમિનિયમની પ્લેટ (વર્ક- ફંકશન) પર પાડતાં K 
ગતિઊર્જાવાળા ફોટો-ઇલેક્ટ્રોનનું ઉત્સર્જન થાય છે. જો વિકિરણની આવૃત્તિ બે 
ગણી કરવામાં આવે તો ઉત્સર્જિત ફોટો-ઇલેક્ટ્રોનની ગતિઊર્જા …………………. થશે. 
(2006)
(A) 2K
(B) K
(C) K + hv
(D) K + E0
જવાબ
(C) K+ hv
ફોટો ઇલેક્ટ્રિસિટી માટે આઇન્સ્ટાઇનનું સૂત્ર લાગુ પાડતાં,
hv = Φ + = 
∴ Φ = hv – K ………….. (1)
જો 2v આવૃત્તિવાળા વિકિરણનો ઉપયોગ કરીએ તો ધારો કે ગતિઊર્જા K’ બને છે.
તેથી h · 2v = Φ + K’ …………… (2)
∴ 2hv = hv – K + K’ [સમી.(2)માં (1)ની કિંમત મૂકતાં]
∴ K’ = hv + K
પ્રશ્ન 146.
એક ડિસ્ચાર્જ ટ્યૂબમાં થતું આયનીકરણ ઘેરાયેલ વાયુના ………………… ની અથડામણોને કારણે થાય છે. (2006)
(A) ઇલેક્ટ્રૉન અને તટસ્થ પરમાણુઓ/અણુઓ
(B) ફોટોન અને તટસ્થ પરમાણુઓ/અણુઓ
(C) વાયુના તટસ્થ પરમાણુઓ/અણુઓ
(D) ધન આયનો અને તટસ્થ પરમાણુઓ/અણુઓ
જવાબ
(A) ઇલેક્ટ્રૉન અને તટસ્થ પરમાણુઓ/અણુઓ
જ્યારે કૅથોડમાંથી ઉત્સર્જિત થતાં ઇલેક્ટ્રૉન વાયુના અણુ અથવા પરમાણુઓ સાથે
 અથડાય છે ત્યારે પરમાણુમાંથી ઇલેક્ટ્રૉનને દૂર કરે છે અને ધન આયનો ઉત્પન્ન
 કરે છે.
પ્રશ્ન 147.
ફોટોસેલમાં થતી ફોટોઇલેક્ટ્રિક અસર ……………….. માં રૂપાંતર કરે છે. (2006)
(A) પ્રકાશની તીવ્રતાના ફેરફારનું ફોટો પ્રવાહના ફેરફારમાં
(B) પ્રકાશની તીવ્રતાના ફેરફારનું ટ્યૂબમાં રહેલ કૅથોડના વર્ક- ફંકશનના ફેરફારમાં
(C) પ્રકાશની આવૃત્તિના ફેરફારનું વિદ્યુતપ્રવાહના ફેરફારમાં
(D) પ્રકાશની આવૃત્તિના ફેરફારનું વિદ્યુત વોલ્ટેજના ફેરફારમાં
જવાબ
(A) પ્રકાશની તીવ્રતાના ફેરફારનું ફોટો પ્રવાહના ફેરફારમાં
ફોટો-સેલમાં થતી ફોટોઇલેક્ટ્રિક અસર, પ્રકાશ-ઊર્જાનું ફોટો- પ્રવાહમાં રૂપાંતર કરે છે.
પ્રશ્ન 148.
1 MeV ઊર્જા ધરાવતા ફોટોનનું વેગમાન ……………………… kgm/s થશે. (2006)
(A) 7 × 10-24
(B) 10-22
(C) 5 × 10-22
(D) 0.33 × 106
જવાબ
(C) 5 × 10-22
1 MeV = 106 × 1.6 × 10-19 J
ફોટોનનું વેગમાન = 
= 
≈ 5 × 10-22 kgm/s
પ્રશ્ન 149.
એક લેસર 6.0 × 1014Hz આવૃત્તિવાળો એકરંગી પ્રકાશ ઉત્પન્ન કરે છે અને 2 × 10-3W પાવરનું ઉત્સર્જન કરે છે, તો એક સેકન્ડમાં ઉદ્ગમમાંથી ઉત્પન્ન થતાં સરેરાશ ફોટોનનું ઉત્સર્જન …………………… જેટલું થશે. (2007)
(A) 5 × 1016
(B) 5 × 1017
(C) 5 × 1014
(D) 5 × 1015
જવાબ
(D) 5 × 1015
પાવર P = nhv
⇒ n = 
પ્રશ્ન 150.
5 વોટનું ઉદ્ગમ 5000 Å તરંગલંબાઈવાળા એકરંગી પ્રકાશનું ઉત્સર્જન કરે છે. જો
 તેને ફોટો-સંવેદી ધાતુની સપાટીથી 0.5 m દૂર ખસેડવામાં આવે તો સપાટીમાંથી 
ફોટો-ઇલેક્ટ્રોન છૂટા પડે છે. હવે જો આ ઉદ્ગમને તેનાથી 0.5 m દૂર ખસેડવામાં
 આવે તો છૂટા પડતાં (liberated) ફોટો-ઇલેક્ટ્રોન ……………………. ગણા ઓછા મળે છે.
 (2007)
(A) 8
(B) 16
(C) 2
(D) 4
જવાબ
(D) 4
ઉત્સર્જિત થયેલ ઇલેક્ટ્રૉન NE ∝ તીવ્રતા ∝ 
∴ અંતર બે ગણું કરતાં NE 
પ્રશ્ન 151.
એક ફોટો-સંવેદી ધાતુની સપાટીનું વર્ક-ફંકશન 6.2 eV છે. જો તેનો સ્ટૉપિંગ 
પોટેન્શિયલ 5V હોય તો આપાત વિકિરણની તરંગલંબાઈ …………………….. માં હોય છે. 
(2008)
(A) અલ્ટ્રાવાયૉલેટ વિસ્તાર
(B) દ્રશ્યમાન વિસ્તાર
(C) ઇન્ફ્રારેડ વિસ્તાર
(D) X-ray વિસ્તાર
જવાબ
(A) અલ્ટ્રાવાયૉલેટ વિસ્તાર
વર્લ્ડ-ફંકશન Φ0 = 6.2 eV, સ્ટૉપિંગ પોર્ટેન્શિયલ V0 = 5V
હવે eV0 = hv – Φ0

આથી કહી શકાય કે આપાત વિકિરણની તરંગલંબાઈ અલ્ટ્રાવાયૉલેટ વિસ્તારમાં રહેલી છે.
પ્રશ્ન 152.
નીચા દબાણે વાયુનું વિધુત ડિસ્ચાર્જ થતાં ટ્યૂબમાં રંગીન પ્રકાશ દેખાવાનું કારણ ………………….. (2008)
(A) પરમાણુમાં થતાં ઇલેક્ટ્રૉનનું ઉત્તેજન છે.
(B) વાયુના પરમાણુ વચ્ચે થતી અથડામણ છે.
(C) કૅથોડમાંથી ઉત્સર્જિત થતાં વિદ્યુતભારિત કણો અને વાયુના પરમાણુની અથડામણ છે.
(D) વાયુમાં રહેલા પરમાણુના જુદા જુદા ઇલેક્ટ્રૉન વચ્ચે થતી અથડામણ છે.
જવાબ
(A) પરમાણુમાં થતાં ઇલેક્ટ્રૉનનું ઉત્તેજન છે.
પરમાણુમાં ઉત્તેજિત થયેલા ઇલેક્ટ્રૉનને પરિણામે ટ્યૂબમાં રંગીન પ્રકાશ જોવા મળે છે.
પ્રશ્ન 153.
3 × 106 m/s ના વેગથી ગતિ કરતાં ઇલેક્ટ્રોનની તરંગલંબાઈ જેટલી જ તરંગલંબાઈ ધરાવતા 1 mg દળવાળા કણનો વેગ (ઇલેક્ટ્રોનનું દળ = 9.1 × 10-31 kg) (2008)
(A) 2.7 × 10-18 ms-1
(B) 9 x 10-2 ms-1
(C) 3 × 10-31 ms-1
(D) 2.7 × 10-21 ms-1
જવાબ
(D) 2.7 × 10-21 ms-1

પ્રશ્ન 154.
v આવૃત્તિવાળા પ્રકાશ દ્વારા ઉત્સર્જિત ફોટો-ઈલેક્ટ્રોનની સંખ્યા …………………….. ના સમપ્રમાણમાં હોય છે.
(આવૃત્તિ v > થ્રેશોલ્ડ આવૃત્તિ v0) (2009)
(A) થ્રેશોલ્ડ આવૃત્તિ
(B) પ્રકાશની તીવ્રતા
(C) પ્રકાશની આવૃત્તિ
(D) v – v0
જવાબ
(B) પ્રકાશની તીવ્રતા
ઉત્સર્જિત પામેલા ઇલેક્ટ્રૉનની સંખ્યા આપાત પ્રકાશની તીવ્રતા પર આધારિત હોય છે. સંતૃપ્ત પ્રવાહ જ તીવ્રતા
પ્રશ્ન 155.
હિલિયમ નિયોન લેસર દ્વારા 667 nm તરંગલંબાઈવાળો એકરંગી પ્રકાશ ઉત્પન્ન થાય 
છે. 9kW નો પાવર ઉત્સર્જિત થાય છે. આ બીમ દ્વારા ટાર્ગેટ પર દર સેકન્ડે 
સરેરાશ પહોંચતા ફોટોનની સંખ્યા ………………………. જેટલી હોય છે. (2009)
(A) 3 × 1016
(B) 9 × 1015
(C) 3 × 1019
(D) 3 × 1017
જવાબ
(A) 3 × 1016
λ = 667 × 10-9 m, P = 9 × 10-3 W
P = 
N = 
= 
પ્રશ્ન 156.
એકબીજાને લંબ એવા વિધુતક્ષેત્ર (E) અને ચુંબકીયક્ષેત્ર (B) માં કેથોડ 
કિરણનું બીમ રહેલ છે. આ ક્ષેત્રોને એ રીતે ગોઠવવામાં આવે છે કે બીમનું 
વિચલન થતું નથી, તો કેથોડ પર ……………….. જેટલો વિધુતભાર હશે. (2010)
(જ્યાં, V કેથોડ અને ઍનોડ વચ્ચેનો વિદ્યુતસ્થિતિમાન તફાવત છે.)
(A) 
(B) 
(C) 
(D) 
જવાબ
(D) 
બીમનું વિચલન થતું ન હોય ત્યારે eE = evB
⇒ v = 
∴ 
પ્રશ્ન 157.
એક ઉદ્ભવસ્થાન S1 દર સેકન્ડે 5000 Å તરંગલંબાઈવાળા 1015 ફોટોન ઉત્પન્ન કરે છે. બીજું ઉદ્ભવસ્થાન S2 દર સેકન્ડે 5100 Å તરંગલંબાઈવાળા 1.02 × 1015 ફોટોન ઉત્પન્ન કરે તો (S2 નો પાવર) × (S1 નો પાવર) = ………………. (2010)
(A) 1.00
(B) 1.02
(C) 1.04
(D) 0.98
જવાબ
(A) 1.00
S1 માંથી દર સેકન્ડે ઉત્સર્જિત ઊર્જા (પાવર)
P1 = n1
S2 માંથી દર સેકન્ડે ઉત્સર્જિત ઊર્જા (પાવર)

પ્રશ્ન 158.
5.01 eV વર્ક ફંકશનવાળા નિકલની સપાટી પર 200 nm તરંગલંબાઈવાળો 
અલ્ટ્રાવાયોલેટ પ્રકાશ પડે તો સપાટી પરથી ઉત્પન્ન થયેલ મહત્તમ ઝડપી 
ફોટો-ઇલેક્ટ્રોનને રોકવા માટે લાગુ પાડવામાં આવેલ વીજસ્થિતિમાન તફાવત 
…………………. જેટલો હશે.
(A) 2.4 V
(B) -1.2V
(C) -2.4V
(D) 1.2 V
જવાબ
(D) 1.2V

= 6.1875 – 5.01
= 1.177 ≈ 1.2V
પ્રશ્ન 159.
ડેવિસન-ગર્મરના પ્રયોગમાં ઇલેક્ટ્રોનગનમાંથી ઉત્સર્જિત ઇલેક્ટ્રૉનનો વેગ વધારવા માટે …………………….. (2011)
(A) ફિલામેન્ટ અને ઍનોડ વચ્ચેનો વીજસ્થિતિમાન તફાવત વધારવો જોઈએ.
(B) ફિલામેન્ટનો વીજપ્રવાહ વધારવો જોઈએ.
(C) ફિલામેન્ટનો વીજપ્રવાહ ઘટાડવો જોઈએ.
(D) ફિલામેન્ટ અને ઍનોડ વચ્ચેનો વીજસ્થિતિમાન તફાવત ઘટાડવો જોઈએ.
જવાબ
(A) ફિલામેન્ટ અને ઍનોડ વચ્ચેનો વીજસ્થિતિમાન તફાવત વધારવો જોઈએ.
ડેવિસન અને ગર્મરના પ્રયોગમાં ઇલેક્ટ્રૉનગનમાંથી ઉત્પન્ન થયેલ ઇલેક્ટ્રૉન 
વેગ, ઍનોડ અને ફિલામેન્ટ વચ્ચેનો વોલ્ટેજ તફાવત વધારવાથી વધે છે.
પ્રશ્ન 160.
એક ઇલેક્ટ્રૉન માઇક્રોસ્કોપમાં ઇલેક્ટ્રોનોને પ્રવેગિત કરવા માટે 25 kV 
વોલ્ટેજ વાપરવામાં આવે છે. જો વોલ્ટેજ 100 kV કરવામાં આવે તો ઇલેક્ટ્રૉનોની
 ડી-બ્રૉગ્લી તરંગલંબાઈ ………………………(2011)
(A) બે ગણી વધે છે.
(B) બે ગણી ઘટે છે.
(C) ચાર ગણી ઘટે છે.
(D) ચાર ગણી વધે છે.
જવાબ
(B) બે ગણી ઘટે છે.

પ્રશ્ન 161.
એક ફોટો સંવેદનશીલ ધાતુની થ્રેશોલ્ડ આવૃત્તિ 3.3 × 1014 Hz છે. જો આ ધાતુ પર 8.2 × 1014 Hz આવૃત્તિવાળો પ્રકાશ આપાત થાય તો ફોટોઇલેક્ટ્રિક ઉત્સર્જન માટે કટ-ઑફ વોલ્ટેજ લગભગ …………………….. થશે.(2011)
(A) 2 V
(B) 3 V
(C) 5 V
(D) 1 V
જવાબ
(A) 2 V
KE = hf – hf0 = eV0 (જ્યાં, V0 કટ ઑફ વોલ્ટેજ)
⇒ V0= 
= 
પ્રશ્ન 162.
કોઈ ચોક્કસ ધાતુમાંથી ફોટો-ઇલેક્ટ્રોન ઉત્સર્જન માટેની કટ-ઑફ આવૃત્તિ v છે.
 2v આવૃત્તિ વિકિરણને આ ધાતુની તકતી પર આપાત કરતાં ઉત્સર્જન પામતા 
ઇલેક્ટ્રોનની સંભવિત મહત્તમ ગતિ ……………………. હશે. (m ઇલેક્ટ્રોનનું દળ છે.) 
(NEET-2013)
(A) 
(B) 
(C) 
(D) 
જવાબ
(C) 
= hv
∴ vmvx = 
પ્રશ્ન 163.
સમાન ઊર્જા E વાળા ઇલેક્ટ્રોનની તરંગલંબાઈ λe અને પ્રોટોનની તરંગલંબાઈ λp વચ્ચેનો સંબંધ …………………. છે. (NEET-2013)
(A) λp ∝ 
(B) λp ∝ λe
(C) λp ∝
(D) λp ∝ 
જવાબ
(A) λp ∝ 

પ્રશ્ન 164.
ધાતુની કોઈ સપાટી પર આપાત વિકિરણની ઊર્જામાં 20 % વધારો કરતાં ઉત્સર્જિત 
ફોટો-ઇલેક્ટ્રોન્સની ગતિઊર્જા 0.5 eV થી વધીને 0.8 eV થાય છે, તો આ ધાતુનું
 વર્ક- …………………… ફંક્શન છે. (NEET-2014)
(A) 0.65 eV
(B) 1.0 eV
(C) 1.3 eV
(D) 1.5 eV
જવાબ
(B) 1.0 eV
મહત્તમ ગતિઊર્જા 
∴ પ્રથમ સ્થિતિમાં 0.5 eV = = hf – Φ ………… (1) અને
ઊર્જા વધારતાં 0.8 eV = 1.2 hf – Φ ………….. (2)
સમીકરણ (1) ને 1.2 વડે ગુણીને બંને સમીકરણને ઉકેલતાં,

∴ Φ = 1.0 eV
પ્રશ્ન 165.
ચોક્કસ ધાતુની સપાટી પર λ તરંગલંબાઈ ધરાવતો એકરંગી પ્રકાશ આપાત કરતાં સ્ટૉપિંગ પોટેન્શિયલ 3V0 મળે છે. જો આ જ સપાટી પર 2λ તરંગલંબાઈવાળો પ્રકાશ આપાત કરીએ તો સ્ટૉપિંગ પોટેન્શિયલ V0 મળે છે. તો આ સપાટી માટે ફોટોઇલેક્ટ્રિક અસર માટે થ્રેશોલ્ડ તરંગલંબાઈ ……………….. . (AIPMT MAY – 2015)
(A) 6λ
(B) 4λ
(C) 
(D) 
જવાબ
(B) 4λ
આઇન્સ્ટાઇનનું સમીકરણ
eVs = E – Φ

પ્રશ્ન 166.
એક ધાતુનું કાર્યવિધેય 2.28 eV છે. તેના પર 500nm તરંગલંબાઈ ધરાવતો પ્રકાશ 
આપાત થાય તો ઉત્સર્જાતા ઈલેક્ટ્રૉનની ડી-બ્રોગ્લી તરંગલંબાઈ કેટલી હશે ? [h
 = 6.6 × 10-34Js અને c = 3 × 108m/s] (AIPMT JULY – 2015)
(A) ≤ 2.8 × 10-12 m
(B) < 2.8 × 10-10 m
(C) ≤ 2.8 × 10-9 m
(D) ≥ 2.8 × 10-9 m
જવાબ
(D) > 2.8 × 10-9 m
આપાત પ્રકાશની ઊર્જા E = hf = 
∴ E = 
= 
= 2.475 ≈ 2.48 ev
કાર્યવિધેય Φ0 = 2.28 eV
∴ આઇન્સ્ટાઇનના સમીકરણ પરથી
Kmax = E – Φ0 = (2.48 – 2.28) eV = 0.20 eV હવે, ઇલેક્ટ્રૉનની ડી-બ્રૉગ્લી તંરગલંબાઈ

∴ λ = 2.788 × 10-9 m
∴ λ ≈ 28 × 10-10 m = 28 Å
λ ≥ 2.8 × 10-9 m
પ્રશ્ન 167.
કોઈ પ્રકાશ સંવેદી સપાટીને વારાફરતી λ તથા 
(A) 
(B) 
(C) 
(D) 
જવાબ
(B) 

પ્રશ્ન 168.
જ્યારે કોઈ ધાતુની સપાટી પર λ તરંગલંબાઈના વિકિરણથી પ્રકાશિત કરવામાં આવે 
છે ત્યારે સ્ટૉપિંગ પોટેન્શિયલ V મળે છે. પણ જો સપાટીને 2λ તરંગલંબાઈવાળા 
વિકિરણથી પ્રકાશિત કરવામાં આવે તો સ્ટૉપિંગ પોટેન્શિયલ 
(A) 5λ
(B) 
(C) 3λ
(D) 4λ
જવાબ
(C) 3λ

પ્રશ્ન 169.
m દળના ઇલેક્ટ્રોન અને એક ફોટોનની ઊર્જા E સમાન છે. તેમની સાથે સંકળાયેલ ડી-બ્રોગ્લી તરંગલંબાઈનો ગુણોત્તર …………………..

અહીં c પ્રકાશનો વેગ છે. (AIPMT MAY – 2016)
જવાબ

પ્રશ્ન 170.
કોઈ ફોટો-સેલના કેથોડ C પર 5 eV ઊર્જાવાળા ફોટોન આપાત કરવામાં આવે છે. 
ત્યારે ઉત્સર્જિત ફોટો-ઇલેક્ટ્રોન્સની મહત્તમ ઊર્જા 2 eV છે. જો કેથોડ Cની 
સાપેક્ષે A પરનો સ્ટૉપિંગ પોટેન્શિયલ કેટલો હોય તો 6 eV ની ઊર્જાવાળા 
ફોટોનને C પર આપાત કરવાથી કોઈ ફોટો-ઇલેક્ટ્રોન્સ એનોડ A પર નહીં પહોંચે ? 
(AIPMT JULY – 2016)
(A) -1 V
(B) -3V
(C) +3V
(D) +4V
જવાબ
(B) -3V
2 = 5 – Φ0
∴ Φ0 = 3 eV
ફરીથી eV0 = hf – Φ0
= 6 – 3
= 3 eV
∴ V0 = 3 V
∴ VC – VA = 3V
∴ 0 – VA = 3V
∴ VA = -3 V
પ્રશ્ન 171.
જો ન્યૂટ્રોનનું દળ 1.7 × 10-27 kg હોય, તો 3 eV ઊર્જા ધરાવતા ન્યૂટ્રોનની ડી-બ્રોગ્લી તરંગલંબાઈ છે :
(h = 6.6 × 10-34 Js) (NEET – 2017)
(A) 1.4 × 10-11 m
(B) 1.6 × 10-10 m
(C) 1.65 × 10-11 m
(D) 1.4 × 10-10 m
જવાબ
(C) 1.65 × 10-11 m
λ = 
= 
= 
= 1.63 × 10-11 m
≈ 1.65 × 10-11 m નજીકનું મૂલ્ય
પ્રશ્ન 172.
ફોટોઇલેક્ટ્રિક ઇફેક્ટના એક પ્રયોગમાં λ અને 
(A) V2 > 2V1
(B) V2 < V 1
(C) V1 < V2 < 2V1
(D) V2 = 2V1
જવાબ
(A) V2 > 2V1

∴ V2 > 2V1
પ્રશ્ન 173.
જ્યારે 2 આવૃત્તિનો પ્રકાશ (જ્યાં v0 થ્રેસોલ આવૃત્તિ છે) ધાતુની એક પ્લેટ પર આપાત થાય છે, તો ઉત્સર્જાતા ઈલેક્ટ્રોન્સનો મહત્તમ વેગ v1 છે. જ્યારે આપાત વિકિરણોની આવૃત્તિ વધારીને 5v0 કરવામાં આવે, તો આ પ્લેટ વડે ઉત્સર્જાતા ઈલેક્ટ્રોન્સનો મહત્તમ વેગ v2 છે. v1 થી v2 નો ગુણોત્તર છે, (NEET – 2018)
(A) 2 : 1
(B) 1 : 2
(C) 4 : 1
(D) 1 : 4
જવાબ
(B) 1 : 2
આઇન્સ્ટાઇનના સમીકરણ,
અને 
∴ સમી. (1) અને (2) નો ગુણોત્તર લેતાં,
∴ v1 થી. v2 નો ગુણોત્તર 1 : 2 છે.
પ્રશ્ન 174.
(A) λ0
(B) 
(C) λ0t
(D) 
જવાબ
(B) 

પ્રશ્ન 175.
10,000 V ના સ્થિતિમાન તફાવત વડે એક ઇલેક્ટ્રોનને પ્રવેગિત કરવામાં આવે છે. તેની ડી-બ્રોગ્લી તરંગલંબાઇ (ની નજીકની) છે : (me = 9 × 10-31 kg) (NEET-2019)
(A) 12.2 nm
(B) 12.2 × 10-13m
(C) 12.2 × 10-12m
(D) 12.2 × 10-14m
જવાબ
(C) 12.2 × 10-12m

= 1.229 9 × 10-11
∴ λ ≈ 12.2 × 10-12m
પ્રશ્ન 176.
એક સ્થિર ઇલેક્ટ્રોનને V volt ના વીજસ્થિતિમાનના તફાવતથી પ્રવેગિત કરવામાં 
આવે છે. જો આ ઇલેક્ટ્રોનની ડી-બ્રૉગ્લી તરંગલંબાઈ 1.227 × 10-2nm છે, તો વીજસ્થિતિમાનનો તફાવત છે. (NEET-2020)
(A) 10 V
(B) 102 V
(C) 103 V
(D) 104 V
જવાબ
(D) 104 V

પ્રશ્ન 177.
થ્રેશોલ્ડ આવૃત્તિથી 1.5 ગણી આવૃત્તિનો પ્રકાશ એક પ્રકાશસંવેદી દ્રવ્ય પર 
આપાત થાય છે. જો આવૃત્તિ અડધી અને તીવ્રતા બમણી કરવામાં આવે તો 
ફોટો-ઇલેક્ટ્રિક પ્રવાહ શું હશે ? (NEET – 2020)
(A) બમણો
(B) ચાર ગણો
(C) ચોથા ભાગનો
(D) શૂન્ય
જવાબ
(D) શૂન્ય
v = 1.5 v0
અને 
પણ 0.75 v0 < v0
∴ ફોટો-ઇલેક્ટ્રિક અસર થશે નહીં તેથી પ્રવાહ શૂન્ય.
પ્રશ્ન 178.
વિદ્યુતચુંબકીય તરંગો અને ઇલેક્ટ્રૉનનો કણ સ્વભાવ તથા તરંગ સ્વભાવ કોણ બતાવે છે ? (2000)
(A) ધાતુની પ્લેટ પરથી પરાવર્તિત થતા ઓછા દળના ઇલેક્ટ્રૉન.
(B) પાતળી ધાતુની પ્લેટથી વિવર્તન અને પરાવર્તન.
(C) પ્રકાશનું પ્રકીર્ણન અને વિવર્તન.
(D) ફોટોઇલેક્ટ્રિસિટી અને ઇલેક્ટ્રૉન માઇક્રોસ્કોપી.
જવાબ
(D) ફોટોઇલેક્ટ્રિસિટી અને ઇલેક્ટ્રૉન માઇક્રોસ્કોપી.
પ્રશ્ન 179.
કુલીજ ટ્યૂબમાંથી ઉત્સર્જિત X-ray ની તીવ્રતા (I) વિરુદ્ધ તરંગલંબાઈ (λ) નો
 આલેખ આકૃતિમાં બતાવ્યા પ્રમાણેનો મળે છે. જો લઘુતમ તરંગલંબાઈ λµ અને K∝ રેખાની તરંગલંબાઈ λK છે તો પ્રવેગિત કરતાં વોલ્ટેજને વધારતાં ………………….(2000)

(A) λK – λµ વધે
(B) λK – λµ ઘટે
(C) λK વધે
(D) λK ઘટે
જવાબ
(A) λK – λµ વધે
λµ = 
∴ λµ ∝ 
હવે, V વધારતાં λµ ઘટે તેથી λK અને λµ વચ્ચેનું અંતર વધે.
પ્રશ્ન 180.
E વિધુતક્ષેત્રમાં m દળ અને e વિધુતભારવાળો ઇલેક્ટ્રોન ગતિ કરે તો તેનો પ્રવેગ ………………….. થશે. (2002)
(A) 
(B) 
(C) 
(D) 
જવાબ
(C) 
વિદ્યુતક્ષેત્રમાં ઇલેક્ટ્રૉન પર લાગતું બળ F = ma
∴ a = 
∴ a = 
પ્રશ્ન 181.
10-10m તરંગલંબાઈવાળા ઇલેક્ટ્રૉનની ઝડપ …………………. (2002)
(A) 7.25 × 106 ms-1
(B) 6.26 × 106 ms-1
(C) 5.25 × 106 ms-1
(D) 4.24 × 106 ms-1
જવાબ
(A) 7.25 × 106 ms-1
ઇલેક્ટ્રૉનની ડી-બ્રૉગ્લી તરંગલંબાઈ,
λ = 
∴ v = 
∴ v = 0.72527 × 107
∴ v ≈ 7.25 × 106ms-1
પ્રશ્ન 182.
2 × 10-28 kg ms-1 જેટલું વેગમાન ધરાવતાં કણની તરંગલંબાઈ = ………………. (2002)
(A) 3.3 × 10-6 m
(B) 3.3 × 105 m
(C) 3.3 × 10-4m
(D) 1.30 m
જવાબ
(A) 3.3 × 10-6m
કણની ડી-બ્રૉગ્લી તરંગલંબાઈ λ = 
∴ λ = 
∴ λ = 3.3 × 10-6 m
પ્રશ્ન 183.
આપણે પરમાણુની અંદર જોવા માગીએ છીએ પરમાણુનો વ્યાસ 100 pm ધારી લેતાં તેનો 
અર્થ એ કે 10pm ના વિસ્તાર સુધી પણ નક્કી કરી શકાય છે. આ માટે જો 
ઇલેક્ટ્રોન માઇક્રોસ્કોપનો ઉપયોગ કરવામાં આવે તો ઇલેક્ટ્રોનની જરૂરી 
ન્યૂનત્તમ ઊર્જા આશરે …………………….. હોવી જોઈએ. (2004)
(A) 1.5 keV
(B) 15 keV
(C) 150 keV
(D) 1.5 MeV
જવાબ
(B) 15 keV
- ઇલેક્ટ્રૉન માઇક્રોસ્કોપમાં ઇલેક્ટ્રૉનનો ઉપયોગ પ્રકાશના સ્ત્રોત તરીકે કરવામાં આવે છે.
- માઇક્રોસ્કોપનો રિઝોલ્ડિંગ પાવર તેમાં વપરાયેલ પ્રકાશની તરંગલંબાઈ 
(આશરે) જેટલો હોય છે. તરંગલંબાઈ λ ધરાવતાં કણની ડી-બ્રૉગ્લી તરંગલંબાઈ
 λ =hP=hmv 
 ઇલેક્ટ્રૉનની જરૂરી ઝડપ = v =hmλ=6.63×10−349.11×10−11 
 = 7.28 × 107ms 
 તેને અનુરૂપ ગતિઊર્જા E =12 mv2
 =12 × 9.11 × 10-31 × (7.28 × 107)2 ×1eV1.6×10−19 J 
 = 15.1 keV
પ્રશ્ન 184.
ફોટો ઇલેક્ટ્રોન અસરમાં ધાતુની સપાટી પરથી ઇલેક્ટ્રોનનું ઉત્સર્જન થવા માટે આપાતપ્રકાશ …………………….. (2004)
(A) ની લઘુતમ તરંગલંબાઈ હોવી જોઈએ.
(B) ની લઘુતમ આવૃત્તિ હોવી જોઈએ.
(C) નો લઘુતમ કંપવિસ્તાર હોવો જોઈએ.
(D) નો લઘુતમ આપાતકોણ હોવો જોઈએ.
જવાબ
(B) ની લઘુતમ આવૃત્તિ હોવી જોઈએ.
લઘુતમ ઊર્જા એટલે કે લઘુતમ આવૃત્તિની જરૂર પડશે.
પ્રશ્ન 185.
ફોટોઇલેક્ટ્રિક અસર માટે ધાતુમાંથી ઇલેક્ટ્રૉનની ઉત્સર્જાવા માટે આપાત પ્રકાશની ………………….. લઘુતમ હોવી જોઈએ. (2006)
(A) તરંગલંબાઈ
(B) આવૃત્તિ
(C) કંપવિસ્તાર
(D) આપાતકોણ
જવાબ
(A) તરંગલંબાઈ
પ્રશ્ન 186.
જો આલ્ફા, બીટા અને ગેમા કિરણોને એકસરખું વેગમાન હોય તો કોની તરંગલંબાઈ સૌથી મોટી છે ?
(A) આલ્ફા કિરણો
(B) બીટા કિરણો
(C) ગેમા કિરણો
(D) એકપણ નહીં, બધાની તરંગલંબાઈ સરખી હોય છે.
જવાબ
(D) એકપણ નહીં, બધાની તરંગલંબાઈ સરખી હોય છે.
જો α અને β કણોના વેગમાન p હોય તો p = 
ફોટોન માટે λ = 
જો p સરખું હોય તો તરંગલંબાઈ સરખી હોય છે. α અને β કણો ડી-બ્રૉગ્લી તરંગો 
છે અને ફોટોન (γ – કિરણો) માટે તેની તરંગલંબાઈ, વિદ્યુતચુંબકીય તરંગોની જ 
તરંગલંબાઈ ગણી શકાય.
પ્રશ્ન 187.
6840 Å તરંગલંબાઈવાળા ફોટોનની ઊર્જા કેટલી ?(2007)
(hc = 12400 eV Å લો.)
(A) 1.81 eV
(B) 3.6 eV
(C) -13.6 eV
(D) 12.1 eV
જવાબ
(A) 1.81 eV
λ = 6840 Å

પ્રશ્ન 188.
ન્યૂટ્રોનની ડી-બ્રૉગ્લી તરંગલંબાઈ λ અને નિરપેક્ષ તાપમાન T સાથેનો સંબંધ ………………….
(A) λ ∝ T
(B) λ ∝ 
(C) λ ∝ 
(D) λ ∝ T2
જવાબ
(C) λ ∝ 

પ્રશ્ન 189.
એક કણની ગતિઊર્જા સોળ ગણી કરવામાં આવે, તો તેની ડી-બ્રોગ્લી તરંગલંબાઈમાં થતો ફેરફાર …………………….. % હશે. (2009, NEET – 2014)
(A) 25
(B) 50
(C) 60
(D) 75
જવાબ
(D) 75
ડી-બ્રૉગ્લી તરંગલંબાઈ,

= -0.75 %
∴ તરંગલંબાઈમાં 75% ઘટાડો થાય છે.
પ્રશ્ન 190.
એક ધાતુની સપાટી પર આપાત થતા ફોટો-ઇલેક્ટ્રોન્સની મહત્તમ ગતિઊર્જા K1 અને K2 છે. તેને અનુરૂપ તરંગલંબાઈઓ અનુક્રમે λ1 અને λ2 છે. જો λ1 = 3λ2 હોય તો ……………………. (2010)
(A) K1 > 
(B) K1 < 
(C) K1 = 2K2
(D) K2 = 2K1
જવાબ
(B) K1 < 

પ્રશ્ન 191.
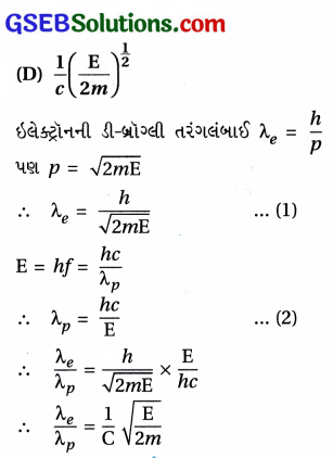
જ્યારે પ્રોટોનની ગતિઊર્જા, ફોટોનની ઊર્જા જેટલી હોય તો પ્રોટોન અને 
ફોટોનની ડી-બ્રૉગ્લી તરંગલંબાઈઓનો ગુણોત્તર ………………….. ના સમપ્રમાણમાં હોય 
છે.
(A) E
(B) 
(C) 
(D) 
જવાબ
(C) 
ફોટોન માટે λp = 
અહીં E ફોટોનની ઊર્જા છે.
પ્રોટૉન માટે λp = 
અહીં m અને K પ્રોટૉનના અનુક્રમે દળ અને ગતિઊર્જા છે.
∴ 
નીચેના પ્રશ્નો બે વાક્યો ધરાવે છે, તેમાંનું એક વિધાન અને બીજું કારણ છે. આ પ્રશ્નોના નીચે આપેલ યોગ્ય કોડ મુજબ જવાબ લખો. સૂચના :
(a) વિધાન અને કારણ બંને સત્ય છે, તથા કારણ એ વિધાનની સાચી રજૂઆત છે.
(b) વિધાન અને કારણ બંને સત્ય છે પરંતુ કારણ એ વિધાનની સાચી રજૂઆત નથી.
(c) વિધાન સત્ય છે પરંતુ કારણ ખોટું છે.
(d) વિધાન અને કારણ બંને ખોટાં છે.
પ્રશ્ન 192.
વિધાન : ફોટોનની ઊર્જા (E) અને વેગમાન (P) નો સંબંધ P = 
કારણ : ફોટોન કણ જેવું વર્તન કરે છે. (2005)
(A) a
(B) b
(C) c
(D) d
જવાબ
(A)
- વિધાન અને કારણ બંને સત્ય છે તથા કારણ એ વિધાનની સાચી રજૂઆત છે.
- ફોટોનનું વેગમાન p = hλ=hfc ………….. (1) [∵ λ =cf ]
 તેમજ ફોટોન એ ઊર્જાના બંડલ છે જે કણની જેમ વર્તે છે અને કણની ઊર્જા E = nhfછે, જો n = 1 અને f =cλ લઈએ તો
 E =hcλ …………. (2)
 પરિણામ (i) અને (ii) પરથી
 p =Ec અથવાhfc થાય.
પ્રશ્ન 193.
વિધાન : ધાતુની સપાટી પર એકરંગી પ્રકાશનું બીમ આપાત થતાં ઉત્પન્ન થતાં ફોટોઇલેક્ટ્રોન તેની ગતિઊર્જાઓમાં ફેલાઈ (spread) જતાં હોય છે.
કારણ : ધાતુનું વર્કફંકશન ધાતુની સપાટીની ઊંડાઇ (depth) ના સંદર્ભમાં હોય છે. (2006)
(A) a
(B) b
(C) c
(D) d
જવાબ
(C)
- વિધાન સત્ય છે પરંતુ કારણવાળું વિધાન ખોટું છે.
- ધાતુનું વર્ક ફંકશન, ફક્ત ધાતુની જાત પર આધારિત હોય છે.
પ્રશ્ન 194.
વિધાન : સ્ટૉપિંગ પોટેન્શિયલ આપાત પ્રકાશની આવૃત્તિ પર આધાર રાખે છે તે પ્રકાશની તીવ્રતાથી સ્વતંત્ર છે.
કારણ : ફોટોઇલેક્ટ્રોન્સની મહત્તમ ગતિઊર્જા સ્ટૉપિંગ પોટેન્શિયલના સમપ્રમાણમાં હોય છે. (2008)
(A) a
(B) b
(C) c
(D) d
જવાબ
(B)
- વિધાન અને કારણ બંને સત્ય છે, પણ કારણ એ વિધાનની સાચી સમજૂતી આપતું નથી.
- સ્ટૉપિંગ પોટૅન્શિયલ એ ફોટોઇલેક્ટ્રૉનની મહત્તમ ગતિઊર્જાનું માપ દર્શાવે છે.
પ્રશ્ન 195.
વિધાન : ફોટોનને દળ ન હોવા છતાં વેગમાન હોય છે.
કારણ : ફોટોનનું વેગમાન ઊર્જાને કારણે હોય છે અને ઊર્જા દળને સમતુલ્ય હોય છે. (2009)
(A) a
(B) b
(C) c
(D) d
જવાબ
(A)
- વિધાન સત્ય છે અને કારણ એ વિધાનની સાચી સમજૂતી આપે છે.
- આઇન્સ્ટાઇનાં નિયમ અનુસાર દળ અને ઊર્જા અકેબીજાના સમપ્રમાણમાં છે.
 E ∝ m
 ∴ E = mc2 જ્યાં c = શૂન્યાવકાશમાં પ્રકાશનો વેગ
 પણ E = hv છે.
 ∴ hv = mc2
 ∴ m =hvc2 ∴ mc =hvc2 
 ∴ વેગમાન p =hvc2 [∵ mc = p]
પ્રશ્ન 196.
વિધાન : સૂક્ષ્મકણો અથવા ગૌણ સૂક્ષ્મકણો માટે ડી-બ્રોન્લી તરંગલંબાઇનું સૂત્ર મહત્ત્વનું છે.
કારણ : જો વેગ અચળ હોય તો ડી-બ્રોગ્લી તરંગલંબાઇ પદાર્થ (કણ) ના દળના વ્યસ્ત પ્રમાણમાં હોય છે. (2010)
(A) a
(B) b
(C) c
(D) d
જવાબ
(A)
- વિધાન અને કારણ સત્ય છે.
- ડી-બ્રૉગ્લી તરંગલંબાઈ
 λ =hp=hmv માં જો v અચળ હોય તો
 λ ∝1m [∵ h અચળ જ છે.]
પ્રશ્ન 197.
ગતિમાન ફોટોનનું દળ ………………………. છે. (MOCK 2006)
(A) 
(B) 
(C) hv
(D) 
જવાબ
(D) 
E = hv
mc2 = hv [E = mc2]
∴ m = 
પ્રશ્ન 198.
એક પદાર્થનું વર્ક-ફંક્શન 4.0 eV છે. પદાર્થમાંથી ફોટો- ઇલેક્ટ્રોનનું 
ઉત્સર્જન થઈ શકે તે માટે પ્રકાશની મહત્તમ તરંગલંબાઈ ……………………. (2006, AIEEE
 – 2004)
(A) 540 nm
(B) 400 nm
(C) 310 nm
(D) 220 nm
જવાબ
(C) 310 nm
Φ = 4 eV = 4 × 1.6 × 10-19 J
∴ Φ = 
મહત્તમ તરંગલંબાઈ λ = ?
∴ λ0 = 
= 3.103 × 10-7 m
= 310.3 × 10-9 m ≈ 310 nm
પ્રશ્ન 199.
100V વિધુત સ્થિતિમાનના તફાવત દ્વારા પ્રવેગિત પ્રોટોનની ડી-બ્રોગ્લી તરંગલંબાઈ λ0 છે. આથી તેટલા જ વિધુત સ્થિતિમાનના તફાવત દ્વારા α-કણને પ્રવેગિત કરવામાં આવે તો તેની ડી-બ્રોગ્લી તરંગલંબાઈ ………………… (2006)
(A) 2
(B) 
(C) 
(D) 
જવાબ
(B) 

પ્રશ્ન 200.
v1 આવૃત્તિવાળા એકરંગી પ્રકાશને ફોટોસંવેદી ધાતુ પર આપાત કરતાં તેનો સ્ટૉપિંગ-પોટેન્શિયલ V1 મળે છે. આ જ ધાતુ પર v2 આવૃત્તિવાળા બીજા એકરંગી પ્રકાશને આપાત કરતાં મળતો સ્ટૉપિંગ-પોટેન્શિયલ …………………. થશે. (2006)
(A) V1 + 
(B) V1 – 
(C) V1 + 
(D) V1 – 
જવાબ
(A) V1 + 
eV1 = hv1 – Φ અને eV2 = hv2 – Φ0
e(V2 – V1) = h (v2 – v1)
∴ V2 – V1 = 
∴ V2 = V1 + 
પ્રશ્ન 201.
એક ધાતુની થ્રેશોલ્ડ તરંગલંબાઈ λ0 છે અને તેનું વર્ક-ફંક્શન W0 છે. જે ધાતુનું વર્ક-ફંક્શન 
થ્રેશોલ્ડ તરંગલંબાઈ કેટલી થશે ? (2007)
(A) 
(B) 
(C) 2λ0
(D) 4λ0
જવાબ
(C) 2λ0

પ્રશ્ન 202.
પ્રકાશનું બિંદુવત્ ઉદ્ગમસ્થાન, ફોટો-સેલથી 20 cm દૂર હોય ત્યારે સ્ટૉપિંગ-વૉલ્ટેજ V0 મળે છે. જો આ જ ઉદ્ગમ 1 m દૂર રાખવામાં આવે ત્યારે સ્ટોપિંગ-વોલ્ટેજ ……………… (2007)
(A) 
(B) 
(C) V0
(D) 2V0
જવાબ
(C) V0
સ્ટૉપિંગ-વૉલ્ટેજના મૂલ્યનો આધાર, પ્રકાશ ઉદ્ગમના અંતર પર નથી પણ આવૃત્તિ પર છે.
પ્રશ્ન 203.
દ્રવ્ય તરંગોની તરંગલંબાઈ કઈ ભૌતિક રાશિથી સ્વતંત્ર છે ? (2007)
(A) દળ જવાબ
(B) વેગ
(C) વેગમાન
(D) વિદ્યુતભાર
જવાબ
(D)વિદ્યુતભાર
દ્રવ્ય તરંગોની તરંગલંબાઈ λ = 
પ્રશ્ન 204.
60W ના એક વિદ્યુત બલ્બમાંથી દર સેકન્ડે ઉત્સર્જિત થતાં ફોટોનની સંખ્યા ……………………. છે. (2008)
(A) 3 × 1020
(B) 1.5 × 1020
(C) 2 × 10-20
(D) 2 × 1020
જવાબ
(D) 2 × 1020
P = 
∴ n = 
પ્રશ્ન 205.
1.6 × 1015 Hz ની થ્રેશોલ્ડ આવૃત્તિ અને 8eV ઊર્જા ધરાવતું 
ફોટોન, ધાતુની સપાટી પર આપાત થાય ત્યારે ઉત્સર્જિત ફોટો-ઇલેક્ટ્રોન્સની 
મહત્તમ ગતિઊર્જા …………………….. છે. (2008).
h = 6.6 × 10-34 JS, c = 3 × 108 m/s,
1 eV = 1.6 × 10-19 JS
(A) 1.4 eV
(B) 0.4 eV
(C) 4.2 eV
(D) 2.8 eV
જવાબ
(A) 1.4 eV

= (8 – 6.6) eV = 1.4 ev
પ્રશ્ન 206.
200 nm ની તરંગલંબાઈ ધરાવતો અલ્ટ્રાવાયોલેટ પ્રકાશ Fe ની તાજી પૉલિશ કરેલ 
સપાટી પર આપાત થાય છે. સપાટીનું વર્ક-ફંક્શન 4.71 eV છે, તો 
સ્ટૉપિંગ-પોટેન્શિયલ sagi εa ?[h= 6.626 × 10-34 JS, c = 3 × 108 m/s, 1 eV = 1.6 × 10-19 J] (2008)
(A) 0.5 V
(B) 1.5 V
(C) 2.5 V
(D) એક પણ નહીં
જવાબ
(B) 1.5 V
eV0 = hv – Φ
V0 = 
= 
= 6.21 – 4.71 = 1.5 V
પ્રશ્ન 207.
એક આલ્ફા કણ અને એક ડ્યુટેરોન અનુક્રમે v અને 2v વેગથી ગતિ કરે છે. તેમની 
ડી-બ્રોગ્લી તરંગલંબાઈઓનો ગુણોત્તર કેટલો થશે ? (2008, 2015)
(A) 1 : 1
(B) √2 : 1
(C) 1 : √2
(D) 2 : 1
જવાબ
(A) 1 : 1

પ્રશ્ન 208.
એક કણનું રેખીય વેગમાન 2.2 × 104 kgms-1 હોય, તો તેની ડી-બ્રૉગ્લી તરંગલંબાઈ કેટલી ? [h= 6.6 × 10-34 Js] (2009)
(A) 3 × 10-29nm
(B) 6 × 10-29nm
(C) 3 × 1029nm
(D) 6 × 1029nm
જવાબ
(A) 3 × 10-29nm
λ = 
∴ λ = 
પ્રશ્ન 209.
ફોટો-ઇલેક્ટ્રિક અસરમાં સોડિયમની થ્રેશોલ્ડ તરંગલંબાઈ 5000 Å હોય, તો તેનું વર્ક-ફંક્શન શોધો. (2009)
[h = 6.6 × 10-34 Js, c = 3 × 108 m/s,
1 eV 1.6× 10-19 Is]
(A) 2.5 eV
(B) 5.0 eV
(C) 7.5 eV
(D) 10 eV
જવાબ
(A) 2.5 eV
Φ = 
= 2.475 eV ≈ 2.5 eV
પ્રશ્ન 210.
ફોટો-ઇલેક્ટ્રિક અસર દર્શાવે છે કે …………………. (2010)
(A) ઇલેક્ટ્રૉન તરંગ સ્વરૂપ ધરાવે છે.
(B) પ્રકાશ કણ સ્વરૂપ ધરાવે છે.
(C) (A) અને (B) બન્ને
(D) એક પણ નહીં.
જવાબ
(B) પ્રકાશ કણ સ્વરૂપ ધરાવે છે.
ફોટો-ઇલેક્ટ્રિક અસર તરંગવાદ અનુસાર સમજાવી શકાતી નથી, પરંતુ તે 
ક્વૉન્ટમવાદ અનુસાર સમજાવી શકાતી હોવાથી ઇલેક્ટ્રૉન કણ સ્વરૂપ ધરાવે છે. 
તેથી (B) જવાબ સાચો છે.
પ્રશ્ન 211.
100 eV ઊર્જાવાળા ફોટોનની આવૃત્તિ …………….. Hz છે. (2011)
[h = 6.62 × 10-34 Js, 1 eV = 1.6× 10-19 Js]
(A) 2.417 × 10-16
(B) 2.417 × 1016
(C) 2.417 × 1017
(D) 10.54 × 1017
જવાબ
(B) 2.417 × 1016
E = hv
∴ v = 
= 0.24169 × 1017
≈ 2.417 × 1016 Hz
પ્રશ્ન 212.
એક ઇલેક્ટ્રૉન અને એક પ્રોટોન એક જ દિશામાં સમાન ઊર્જાથી ગતિ કરે છે, તો આ કણોની ડી-બ્રોગ્લી તરંગલંબાઈઓનો ગુણોત્તર ……………………. (2011)
(A) 
(B) 
(C) 
(D) mp.me
જવાબ
(C) 

પ્રશ્ન 213.
એક ફોટોસંવેદી ધાતુની સપાટીનું કાર્યવિધેય Φ છે. જ્યારે 3Φ ઊર્જાવાળો ફોટોન તે સપાટી પર આપાત થાય ત્યારે મહત્તમ વેગ 6 × 106
 m/s ધરાવતો ઇલેક્ટ્રોન તેના પરથી બહાર આવે છે. હવે જો ફોટોનની ઊર્જા 
વધારીને 9Φ કરવામાં આવે, તો ફોટો-ઇલેક્ટ્રોનનો મહત્તમ વેગ ……………….. થશે. 
(2011)
(A) 12 × 106 m/s
(B) 6 × 106 m/s
(C) 3 × 106 m/s
(D) 24 × 106 m/s
જવાબ
(A) 12 × 106 m/s

પ્રશ્ન 214.
નીચેનામાંથી કોની ડી-બ્રોગ્લી તરંગલંબાઈ સૌથી વધુ હશે, જો તેઓ સમાન વેગથી ગતિ કરતાં હોય ? (2012)
(A) ન્યૂટ્રૉન
(B) પ્રોટૉન
(C) β – કણ
(D) α – કણ
જવાબ
(C) β – કણ
ડી-બ્રૉગ્લી તરંગલંબાઈ = λ = 
λ ∝
આમ, જે કણનું દળ સૌથી ઓછું હશે તેની તરંગલંબાઈ વધુ હશે.
પ્રશ્ન 215.
એક ધાતુનું કાર્યવિધેય 1.6 eV છે. તો આ ધાતુમાંથી કઈ મહત્તમ તરંગલંબાઈના પ્રકાશ માટે ફોટોઇલેક્ટ્રિક ઉત્સર્જન મેળવી શકાય ? (2012)
[h 6.6 × 10-34 JS, c = 3 × 108 m/s, 1 eV = 1.6 × 10-19 J]
(A) 5800 Å
(B) 3867 Å
(C) 29000 Å
(D) 7734 Å
જવાબ
(D) 7734 Å
Φ = hv = 
∴ λ = = 
∴ λ = 7.734375 × 10-7 m
∴ λ ≈ 7734 × 10-10 m ∴ λ ≈ 7734 Å
પ્રશ્ન 216.
આપેલ ધાતુ પર λ1 અને λ2 તરંગલંબાઈવાળા વિકિરણને આપાત કરતાં ઉત્સર્જિત થતા ફોટો-ઇલેકટ્રોનની અનુક્રમે ગતિઊર્જા K1 અને K2મળે છે, તો આ ધાતુનું વર્ક-ફંક્શન …………….. (2013)

જવાબ

પ્રશ્ન 217.
m kg દળ અને ૧ કુલંબ વિધુતભાર ધરાવતા એક કણને V વૉલ્ટથી પ્રવેગિત કરવામાં 
આવે છે, તો આ કણ સાથે સંકળાયેલ ડી-બ્રોગ્લી તરંગલંબાઈ λ = ………………….. (2013,
 17)
(Α) λ = 
(Β) λ = 
(C) λ = 
(D) λ = 
જવાબ
(Β) λ = 
ડી-બ્રૉગ્લી તરંગલંબાઈ λ = 
સમી. (1) માં સમી. (2) ની કિંમત મૂકતાં
∴ λ = 
પ્રશ્ન 218.
જ્યારે ધાતુ પર આશરે ………………… V/cm ના ક્રમનું પ્રબળ વિધુતક્ષેત્ર લગાડવામાં
 આવે તો આ ક્ષેત્રની અસર હેઠળ ઇલેકટ્રૉન ધાતુમાંથી બહાર ખેંચાઈ આવે છે. 
(2013, માર્ચ 2020)
(A) 103
(B) 108
(C) 106
(D) 1010
જવાબ
(B) 108
પ્રશ્ન 219.
જો મુક્ત ઇલેક્ટ્રૉનની ગતિઊર્જા બમણી કરવામાં આવે તો તેની અંતિમ 
ડી-બ્રોગ્લી તરંગલંબાઈ પ્રારંભિક ડી-બ્રોગ્લી તરંગલંબાઈ કરતાં …………………… ગણી
 થાય. (JEE – 2005, GUJCET-2014)
(A) √2
(B) 2
(C) 
(D) 
જવાબ
(C) 
ડી-બ્રૉગ્લી તરંગલંબાઈ λ = 

પ્રશ્ન 220.
લિથિયમ ધાતુની થ્રેશોલ્ડ તરંગલંબાઈ 6250Å છે, તો ફોટો-ઇલેક્ટ્રોનનું 
ઉત્સર્જન કરવા આપાત વિકિરણની તરંગલંબાઈ …………………….. હોવી જરૂરી છે. (JEE – 
2005, GUJCET- 2014)
(A) 6250 Å કરતાં વધુ
(B) 6250 Å જેટલી અથવા વધુ
(C) 6250 Å જેટલી
(D) 6250 Å જેટલી અથવા ઓછી
જવાબ
(D) 6250 Å જેટલી અથવા ઓછી
ફોટો-ઇલેક્ટ્રૉનનું ઉત્સર્જન થવા માટેની શરત,
v ≥ v0 ∴ 
પ્રશ્ન 221.
100 g દળનો એક પદાર્થ 36 km/hr ની ઝડપે ગતિ કરે છે, તો તેની સાથે સંકળાયેલ 
ડી-બ્રોગ્લી તરંગલંબાઈ …………………. m ક્રમની હોય. (h = 6.626 × 10-34 Js) (2014)
(A) 10-14
(B) 10-34
(C) 10-24
(D) 10-44
જવાબ
(B) 10-34
v = 36 km/hr
ડી-બ્રૉગ્લી તરંગલંબાઈ λ = 
λ = 6.626 × 10-34m
∴ 10-34m ના ક્રમની
પ્રશ્ન 222.
નિરપેક્ષ શૂન્ય તાપમાન T અને m દળવાળા ન્યૂટ્રોન સાથે સંકળાયેલ ડી-બ્રૉગ્લી તરંગલંબાઈ ………………………. થશે. (2015)
જ્યાં k = બોલ્ટ્સમેન અચળાંક
(A) 
(B) 
(C) 
(D) 
જવાબ
(C) 
∴ m2v2 = 3mkT ∴ mv = 
∴ ડી-બ્રૉગ્લી તરંગલંબાઈ λ = 
પ્રશ્ન 223.
એક ધાતુ પર 1eV અને 2.5 eV ગતિ-ઊર્જા ધરાવતા ફોટોન્સને અનુક્રમે આપાત 
કરવામાં આવે છે. ધાતુનું વર્કફંક્શન 0.5eV હોય તો, આ ધાતુમાંથી ઉત્સર્જિત 
થતાં ઇલેક્ટ્રોનની મહત્તમ ઝડપનો ગુણોત્તર …………………… થશે. (2015, 2017, 2019)
(A) 1 : 2
(B) 3 : 1
(C) 2 : 1
(D) 1 : 3
જવાબ
(A) 1 : 2
(
(
∴ (ગુણોત્તર)2 = 
પ્રશ્ન 224.
ઇલેક્ટ્રૉનની ડી-બ્રૉગ્લી તરંગલંબાઈ 0.5 × 1010m થી વધારી 1 × 10-10m કરવા માટે તેની ઊર્જા ……………… કરવી પડે. (2016, 2019)
(A) પ્રારંભિક ઊર્જા કરતાં અડધી
(B) પ્રારંભિક ઊર્જા કરતાં બમણી
(C) પ્રારંભિક ઊર્જા કરતાં ચાર ગણી
(D) પ્રારંભિક ઊર્જા કરતાં ચોથા ભાગની
જવાબ
(D) પ્રારંભિક ઊર્જા કરતાં ચોથા ભાગની

પ્રશ્ન 225.
સોડિયમ ધાતુની થ્રેશોલ્ડ તરંગલંબાઈ (λ0) 6800Å છે. તો તેનું વર્ક-ફંક્શન Φ = ………………. × 10-19 J.
(h = 6.625 × 10-14 Js, C = 3 × 108 ms-1) (2016)
(A) 2.9
(B) 2.7
(C) 2.8
(D) 3.0
જવાબ
(A) 2.9
Φ = hv0 = 
Φ = 
= 0.2922 × 10-18 = 2.922 × 10-19 J
પ્રશ્ન 226.
ડિસ્ચાર્જ ટ્યૂબમાં પરમાણુની ઘનતા વધતા વર્ણપટ રેખાઓની તીવ્રતા ……………………… (2017)
(A) ઘટતી જાય છે
(B) વધતી જાય છે
(C) અચળ રહે છે
(D) આમાંથી એકપણ નહીં
જવાબ
(B) વધતી જાય છે.
પ્રશ્ન 227.
35 keV ઉર્જા ધરાવતા ફોટોનની તરંગલંબાઈ ………………….. હશે.
(h = 6.625 × 10-34 J-s, c = 3 × 108 ms-1, 1 eV = 1.6 × 10-19 J). (2018)
(A) 35 × 10-12 m
(B) 35 Å
(C) 3.5 nm
(D) 3.5 Å
જવાબ
(A) 35 × 10-12 m
E = hv = 
∴ λ = 
= 0.3549 × 10-10 m = 35.49 × 10-12 m
પ્રશ્ન 228.
ઇલેક્ટ્રોનના સ્થાનની અનિશ્ચિતતા 10-10 m જેટલી મળે છે તો વેગમાનની અનિશ્ચિતતા …………………. kgms-1 થશે.
(h = 6.62 × 10-34 J-s) (2018)
(A) 1.05 × 10-24
(B) 1.03 × 10-24
(C) 1.06 × 10-24
(D) 1.08 × 10-24
જવાબ
(B) 1.03 × 10-24
હાઇઝનબર્ગના અનિશ્ચિતતાના સિદ્ધાંત પરથી,
Δx.Δp = 
Δp = 
∴ Δp = 1.05 × 10-24 kg ms-1
પ્રશ્ન 229.
જો 6000 Å તરંગલંબાઈવાળા ફોટોનની ઉર્જા 3.2 × 10-19 J હોય તો 4000 Å તરંગ લંબાઈવાળા ફોટોનની ઉર્જા = …………………. (2018)
(A) 4.44 × 10-19 J
(B) 2.22 × 10-19 J
(C) 1.11 × 10-19 J
(D) 4.80 × 10-19 J
જવાબ
(D) 4.80 × 10-19 J
E = hv = 
∴ E ∝ 
∴ E2 = E1 × 
∴ E2 = 4.80 × 10-19 J
પ્રશ્ન 230.
100 વોલ્ટના વિદ્યુતસ્થિતિમાનના તફાવત વડે પ્રવેગિત થયેલાં ઇલેક્ટ્રોન સાથે સંકળાયેલી ડી-બ્રોગ્લી તરંગલંબાઈ કેટલી હશે ? (2020)
(A) 0.123 nm
(B) 123 nm
(C) 12.3 nm
(D) 0.123 cm
જવાબ
(A) 0.123 nm
અહીં V = 100 V
λ = 
∴ λ = 
∴ λ = 
∴ λ = 0.1227 nm ≈ 0.123 Nm
આ કિસ્સામાં ઇલેક્ટ્રૉન સાથે સંકળાયેલી ડી-બ્રૉગ્લી તરંગલંબાઈ ક્ષ-કિરણોની તરંગલંબાઈના ક્રમની છે.
10 K વોલ્ટના વિદ્યુત સ્થિતિમાનના તફાવત વડે પ્રવેગિત થયેલા ઇલેક્ટ્રૉન સાથે સંકળાયેલી ડી-બ્રૉગ્લી તરંગલંબાઈ કેટલી હશે ?
(જવાબ : λ = 0.01227 nm અથવા = 0.1227 Å)
પ્રશ્ન 231.
સિઝિયમની થ્રેશોલ્ડ આવૃત્તિ 5.16 × 1014 Hz છે તો તેનું કાર્ય વિધેય ……………………….. eV છે. (2020)
(A) 1.14
(B) 2.14
(C) 1.12
(D) 4.12
જવાબ
(B) 2.14
Φ0s = hv0 (જૂલમાં)
Φ0 = 
= 
= 21.3656 × 10-1 ≈ 2.14 eV
પ્રશ્ન 232.
કાર્ય વિધેયનું મૂલ્ય ……………….. માટે લઘુતમ છે. (માર્ચ 2020)
(A) પ્લેટિનમ
(B) નિકલ
(C) સિઝિયમ
(D) કૉપર
જવાબ
(C) સિઝિયમ
પ્રશ્ન 233.
ધાતુ પર ………………… Vm-1 ના ક્રમનું વિધુતક્ષેત્ર લગાડતાં, ઇલેક્ટ્રૉનને ધાતુની સપાટીમાંથી બહાર કાઢી શકાય. (માર્ચ 2020)
(A) 106
(B) 108
(C) 105
(D) 102
જવાબ
(B) 108
પ્રશ્ન 234.
લેસર વડે 6.0 × 108MHz આવૃત્તિનો એકરંગી પ્રકાશ ઉત્પન્ન થાય છે. ઉત્સર્જાયેલ પાવર 2 × 10-3W છે. તો પ્રકાશની કિરણાવલીમાં રહેલા ફોટોનની ઊર્જા કેટલી હશે ? (ઓગષ્ટ 2020)
(A) 3.98 eV
(B) 3.98 × 10-19 J
(C) 3.98 × 10-19 eV
(D) 3.98 × 10-19 kJ
જવાબ
(B) 3.98 × 10-19J
અહીં આવૃત્તિ v = 6.0 × 1014 Hz
પાવર P = 2.0 × 10-3W
h = 6.63 × 10-34 Js
દરેક ફોટોનની ઊર્જા,
E = hv
∴ E = 6.63 × 10-34 × 6.0 × 1014
= 39.78 × 10-20 J
= 3.98 × 10-19 J
લેસર વડે 5.0 × 1014 આવૃત્તિનો એકરંગી પ્રકાશ ઉત્પન્ન થાય છે. ઉત્સર્જાયેલ પાવર 66 W છે.
(a) પ્રકાશની કિરણાવલિ (bean)માં રહેલા ફોટોનની ઊર્જા કેટલી હશે ?
પ્રશ્ન 235.
એક પ્રયોગમાં ફોટો-ઇલેક્ટ્રિક ક-ઓફ વોલ્ટેજ 1.6V છે. ઉત્સર્જાયેલા ફોટો-ઇલેક્ટ્રોનની મહત્તમ ગતિઊર્જા ………………………. હશે. (ઑગષ્ટ 2020)
(A) 2.56 × 10-19 J
(B) 1.6 keV
(C) 2.56 eV
(D) 1.6 × 10-19 J
જવાબ
(A) 2.56 × 10-19 J
મહત્તમ ગતિઊર્જા Kmax = eV0 (જ્યાં V0 = 1.6V અને
e = 1.6 × 10-19 C)
= 1.6 × 10-19 × 1.6
= 2.56 × 10-19 J
પ્રશ્ન 236.
120 ગ્રામ દ્રવ્યમાન અને 20 ms-1 ઝડપ ધરાવતા બોલ માટે ડી-બ્રૉગ્લી તરંગલંબાઈ ………………… થશે. (ઑગષ્ટ 2020)
(A) 2.76 × 10-24 m
(B) 2.76 × 10-34 Å
(C) 2.76 × 10-34 m
(D) 2.76 × 1024 Å
જવાબ
(C) 2.76 × 10-34 m
બૉલનું વેગમાન p = mv
અને ડી-બ્રૉગ્લી તરંગલંબાઈ,
λ = 
= 
= 2.7604 × 10-34 m v = 20 ms-1
≈ 2.76 × 10-34 m


0 Comments