GSEB Std 12 Chemistry MCQ Chapter 8 d અને f-વિભાગનાં તત્ત્વો in Gujarati Medium
પ્રશ્ન 1.
કયા સમૂહનાં તત્ત્વોને ઈ-વિભાગનાં તત્વો કહે છે ?
(A) સમૂહ 13થી 18
(B) સમૂહ 13થી 17
(C) સમૂહ 1થી 2
(D) સમૂહ 3થી 12
જવાબ
(D) સમૂહ 3થી 12
પ્રશ્ન 2.
નીચેનામાંથી કયા આયનનું જલીય દ્રાવણ લીલા રંગનું છે ?
(A) Zn3+
(B) Fe3+
(C) Co2+
(D) Ni2+
જવાબ
(D) Ni2+
પ્રશ્ન 3.
નીચેનામાંથી કયા આયનની ચુંબકીય ચામાત્રા 3.87 BM છે ?
(A) Zn2+
(B) Cr3+
(C) Fe2+
(D) Cu2+
જવાબ
(B) Cr3+
Cr3+ તે 3d3 છે, જેથી n = 3, માટે μ = 3.87 BM
પ્રશ્ન 4.
નીચેનામાંથી રેડિયોસક્રિય કયું છે ?
(A) Zn
(B) Gd
(C) Pm
(D) Pr
જવાબ
(C) Pm
પ્રશ્ન 5.
નીચેનામાંથી કયા વિભાગનાં તત્ત્વોને આંતરસંક્રાંતિ તત્ત્વો કહે છે ?
(A) s-વિભાગ
(B) p-વિભાગ
(C) d-વિભાગ
(D) f-વિભાગ
જવાબ
(D) f-વિભાગ
પ્રશ્ન 6.
Fe3+ આયનની સ્પિનમાત્ર ચુંબકીય ચાકમાત્રા કેટલા BM છે ?
(A) 5.92
(B) 4.90
(C) 2.84
(D) 0.0
જવાબ
(A) 5.92
Fe3+ (3d5) છે. તેમાં n = 5 જેથી
μ =
પ્રશ્ન 7.
MnO2 નું સંગલન KOHની સાથે ઑક્સિડેશનકર્તા KNO3 ની હાજરીમાં કરવાથી નીચેનામાંથી ક્યું સંયોજન બનશે ?
(A) K2MnO4
(B) KMnO4
(C) Mn2O3
(D) MnO
જવાબ
(A) K2MnO4

પ્રશ્ન 8.
ક્રોમાઇટ ખનિજનું સૂત્ર કયું છે ?
(A) Na2CrO4
(B) Na2Cr2O7
(C) FeCr2O4
(D) MnCr2O4
જવાબ
(C) FeCr2O4
પ્રશ્ન 9.
ગૅડોલિનિયમ (Z = 64)ની ઇલેક્ટ્રૉનીય રચના કઈ છે ?
(A) [Xe) 4f3 5d5 6s2
(B) [Xe] 4f75d16s2
(C) [Xe] 4f6 5d2 6s2
(D) [Xe] 4f8 5d0 6s2
જવાબ
(B) [Xe] 4f75d16s2
પ્રશ્ન 10.
K2Cr2O7 નું જલીય દ્રાવણ નારંગી રંગ ધરાવે છે. આ દ્વાવણમાં મંદ HCl ઉમેરવાથી દ્રાવણનો રંગ કેવો થશે ?
(A) પીળો
(B) નારંગી
(C) લીલુ
(D) રંગવિહીન
જવાબ
(B) નારંગી
ઍસિડિક માધ્યમમાં Cr2O72- હોય છે, જે નારંગી રંગ ધરાવે છે.
પ્રશ્ન 11.
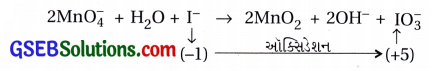
પોટેશિયમ પરમેંગેનેટ પ્રબળ ઑક્સિડેશનાં પ્રક્રિયક છે. તેના માટે નીચેનામાંથી કયું સાચું છે ?
(A) KMnO4 વડે C2O42- નું CO2 માં રિડક્શન થાય છે.
(B) KMnO4 વર્ડ I– નું IO3– માં ઑક્સિડેશન થાય છે.
(C) KMnO4 વર્લ્ડ I– નું I2 માં રિડક્શન થાય છે.
(D) KMnO4વડે Fe3+ નું Fe2+માં રિડક્શન થાય છે.
જવાબ
(B) KMnO4 વર્ડ I– નું IO3– માં ઑક્સિડેશન થાય છે.

પ્રશ્ન 12.
E⊖Ce4+/Ce3+ = +1.74V છે. જેથી નીચેનામાંથી ખોટું વિધાન શોધો.
(A) Ce4+ પ્રબળ ઓક્સિડેશનાં છે.
(B) Ce4+ પાણીનું ઑક્સિડેશન કરી શકે છે.
(C) Ce2+ પ્રબળ રિડક્શનાં છે.
(D) Ce4+ વડે પાણીનું ઑક્સિડેશન અત્યંત ધીમું થાય છે.
જવાબ
(B) Ce4+ પાણીનું ઑક્સિડેશન કરી શકે છે.
Ce4+નું Ce2+માં રિડક્શન થાય, કારણ કે Ce4+ : 4f0 રચના ધરાવે છે, જે સ્થાયી છે.
Ce4+ :4f0 જે ઓછી સ્થાયી રચના છે, તેમ છતાં
Ce4+ + e– → Ce3+ (રિડક્શન) થાય છે. કારણ કે
E⊖Ce4+/Ce3+ નું ધન મૂલ્ય હોવાથી Ce4+ ઇલેક્ટ્રૉન મેળવી Ce3+માં ફેરવાય છે.
પ્રશ્ન 13.
Eu2+ બને છે, કારણ કે
(A) Eu બે ઈલેક્ટ્રૉન ગુમાવે છે,
(B) Eu2+ની ઇલેક્ટ્રૉનીય રચના સ્થાયી 4f7 છે.
(C) Eu2+ની રચના ઉમદા વાયુ જેવી છે.
(D) Eu2+ અસ્થાયી છે.
જવાબ
(B) Eu2+ની ઇલેક્ટ્રૉનીય રચના સ્થાયી 4f7 છે.
પ્રશ્ન 14.
મિશધાતુ માટે નીચેનામાંથી શું સાચું નથી ?
(A) તેમાં આશરે 95% લેન્થેનોઇડ ધાતુ અને 5% આયર્ન હોય છે.
(B) મિશધાતુનો મોટો જથ્થો Mg આધારિત મિશ્રધાતુ બનાવવામાં ઉપયોગી થાય છે.
(C) તેઓ પેટ્રોલિયમ મંજનમાં ઉદ્દીપક તરીકે વપરાય છે.
(D) મિશધાતુ અને Mgની મિશ્રધાતુ બંદૂકની ગોળી બનાવવા વપરાય છે.
જવાબ
(C) તેઓ પેટ્રોલિયમ ભંજનમાં ઉદ્દીપક તરીકે વપરાય છે.
પ્રશ્ન 15.
નીચેનામાંથી ખોટું વિધાન શોધો.
(A) લેન્થેનોઇડ શ્રેણીના સંકોચનની સ્થાયી અસરને લેન્થેનોઇડ સંકોચન કર્યુ છે.
(B) Z અને Hfની ત્રિજ્યા લગભગ સમાન છે.
(C) Pr, Nd,Th અને Dy +4 અવસ્થામાં ઘણાં સંયોજનો રચે છે.
(D) Yb2+ તેf14 ઇલેક્ટ્રૉનીય રચના ધરાવે છે.
જવાબ
(C) Pr, Nd,Th અને Dy +4 અવસ્થામાં ઘણાં સંયોજનો રચે છે.
પ્રશ્ન 16.
Zn, Cd, Hg અને Cn ની સામાન્ય ઇલેક્ટ્રૉનીય રચના કઈ છે ?
(A) (n- 2) d10 ns2
(B) (n – 1) d10 ns2
(C) (n – 1) d5 ns1
(D) (n – 2) d5 ns1
જવાબ
(B) (n – 1) d10 ns2
પ્રશ્ન 17.
નીચેનામાંથી કયું વિધાન સાચું નથી ?
(A) સંક્રાંતિ તત્ત્વોમાં ઐતિજ સામ્યતા છે.
(B) સંક્રાંતિ તત્ત્વોમાં કેટલીક સમૂહ સામ્યતા છે.
(C) સંક્રાંતિ તત્ત્વોમાં સમૂહ સામ્યતા નથી.
(D) સંક્રાંતિ તત્ત્વો વિવિધ ઓક્સિડેશન અવસ્થા દર્શાવે છે.
જવાબ
(C) સંક્રાંતિ તત્ત્વોમાં સમૂહ સામ્યતા નથી.
પ્રશ્ન 18.
Ni(CO)4 માં નિકલની અવસ્થા શું છે ?
(A) +1
(B) -1
(C) શૂન્ય
(D) +2
જવાબ
(C) શૂન્ય
પ્રશ્ન 19.
સંક્રાંતિ તત્ત્વોની એક લાક્ષણિકતા તેમની ઑક્સિડેશન અવસ્થાઓની
પરિવર્તનશીલતા છે. આ ઑક્સિડેશન અવસ્થાઓમાં ફેરફાર એકબીજાથી એક એકમ જેટલો
હોય છે, તે નીરોનામાંથી કયામાં નથી ?
(A) VII, VIII, VIV, VV
(B) MnII, MnIII, MnIV, MnV, MnVI, MnVIII
(C) CuI, CuII, CuIII
(D) CrI, CrII, CrIII, CrV, CVI
જવાબ
(C) CuI, CuII, CuIII
CuIII નથી બનતા.
પ્રશ્ન 20.
નીચેનામાંથી કયાની +2 અવસ્થા શક્ય નથી ?
(A) Sc
(B) Ti
(C) Cr
(D) NI
જવાબ
(A) Sc
પ્રશ્ન 21.
નીચેનામાંથી કયાની +1 અવસ્થા મળે છે ?
(A) Cu
(B) Fe
(C) Co
(D) Ni
જવાબ
(A) Co
પ્રશ્ન 22.
નીચેનામાંથી કયાની +3 અવસ્થા નથી મળતી ?
(A) Cu
(B) Fe
(C) Cr
(D) Mn
જવાબ
(A) Cu
પ્રશ્ન 23.
Fe+3 આયનની ચુંબકીય ચાકમાત્રા ગણો. (Fe = 26)
(A) 5.9 BM
(B) 0.59 BM
(C) 59 BM
(D) 590 BM
જવાબ
(A) 5.9 BM
Fe+3 ની ઇલેક્ટ્રૉનની રચના = [Ar] 3d54s0

પ્રશ્ન 24.
M+2(aq) આયન (Z = 26) માટે સ્પિન ચુંબકીય ચાકમાત્રા ગણો.
(A) 4.89 BM
(B) 0.189 BM
(C) 48.9 BM
(D) 489 BM
જવાબ
(A) 489 BM
અહીં પરમાણુક્રમાંક Z = 26 છે.
આથી, M આયન માટે = [Ar] 3d6 4s2
∴ M+2 આયન માટે = [Ar] 3d6 4s0

પ્રશ્ન 25.
M2+(aq) આયન (Z = 27) માટે સ્પિન ચુંબકીય ચાકમાત્રા ગણો.
(A) 3.80 BM
(B) 3.87 BM
(C) 0.387 BM
(D) 38.7 BM
જવાબ
(B) 3.87 BM
અહીં પરમાણુક્રમાંક Z = 27
ઇલેક્ટ્રૉન રચના M આયન માટે = [A] 3d7 4s2
M+2 આયન માટે = [Ar] 3d7

પ્રશ્ન 26.
નીચેનામાંથી ક્યું તત્વ લેન્થેનાઇડ છે ?
(A) Ta
(B) Tn
(C) Lu
(D) Rh
જવાબ
(C) Lu
પ્રશ્ન 27.
નીચેનામાંથી કયું તત્વ અલગ ઓક્સિડેશન અવસ્થા દર્શાવતું નથી ?
(A) લોખંડ
(B) કૉપર(તાંબુ)
(C) ઝિંક
(D) મેંગેનીઝ
જવાબ
(C) ઝિંક
પ્રશ્ન 28.
જ્યારે KOH દ્રાવણને પોટેશિયમ ડાયક્રોમેટના દ્રાવણમાં ઉમેરવામાં આવે છે ત્યારે દ્રાવણ પીળો રંગ ધારણ કરે છે, કારણ કે….
(A) ક્રોમેટ આયનનું રૂપાંતર ડાયક્રોમેટ આયનમાં થાય છે.
(B) ડાયક્રોમેટ આયનનું રૂપાંતર ક્રોમેટ આયનમાં થાય છે.
(C) ક્રોમિયમનો ઑક્સિડેશન આંક +6 માંથી +4 થાય છે.
(D) ક્રોમિયમનો ઑક્સિડેશન આંક +4 માંથી +6 થાય છે.
જવાબ
(B) ડાયક્રોમેટ આયનનું રૂપાંતર ક્રોમેટ આયનમાં થાય છે.
પ્રશ્ન 29.
KMnO4 માં Mn નો ઑક્સિડેશન આંક જણાવો.
(A) +2
(B) +4
(C) +6
(D) +7
જવાબ
(D) +7
પ્રશ્ન 30.
નીચેનામાંથી કઈ જોડી રાસાયણિક જોડ (Chemical twin) નથી ?
(A) Mo – W
(B) Nb – Mo
(C) Nb – Ta
(D) Zr – Hf
જવાબ
(B) Nb – Mo
પ્રશ્ન 31.
નીચેનામાંથી કયા આયનને મહત્તમ અયુમ્મિત ઇલેક્ટ્રૉન છે ?
(A) Fe+2
(B) Cr+3
(C) Fe+3
(D) Co+2
જવાબ
(C) Fe+3
પ્રશ્ન 32.
નીચેનામાંથી કયા લેન્થેનોઇડને નાની આણ્વીય ત્રિજ્યા છે ?
(A) ગેડોલિનિયમ
(B) સ્કેન્ડિયમ
(C) લ્યુટેશિયમ
(D) સિરિયમ
જવાબ
(C) લ્યુટેશિયમ
પ્રશ્ન 33.
કોઈ એક તત્ત્વનો પરમાણુક્રમાંક 22 છે, તો તેની સૌથી મોટામાં મોટી ઑક્સિડેશન અવસ્થા કઈ ?
(A) 1
(B) 2
(C) 3
(D) 4
જવાબ
(D) 4
પ્રશ્ન 34.
નીચેનામાંથી ક્યું સંક્રાંતિ તત્ત્વ વિપુલ પ્રમાણમાં મળે છે ?
(A) Zn
(B) Fe
(C) Hg
(D) Au
જવાબ
(B) Fe
પ્રશ્ન 35.
કોઈ તત્ત્વની ઇલેક્ટ્રૉન રચના [Xe] 4f14 5d16s2 છે, તો તે તત્ત્વ ………. છે.
(A) ટ્રાન્સપુરેનિક તત્ત્વ
(B) સંક્રાંતિ તત્ત્વ
(C) લેન્થેનોઇડ
(D)ઍક્ટિનોઇડ
જવાબ
(C) લેન્થેનોઇડ
પ્રશ્ન 36.
જો 5d-કક્ષક એ તેનો એક ઇલેક્ટ્રૉન 5-પેટાકક્ષકમાં રાખે છે તો તે તા……
(A) La, Ga અને Lu
(B) Th, Nd અને Ho
(C) Ce, Pr અને Sm
(D)Tm, Yh અને Dy
જવાબ
(A) La, Ga અને Lu
પ્રશ્ન 37.
ક્રોમેટ આયનનું બંધારણ શું છે ?
(A) ટેટ્રામેડ્રલ
(B) ઑક્ટાહેડલ
(C) ટ્રાયગોનલ પ્લાનર
(D)રેખીય
જવાબ
(A) ટેટ્રાડેડલ
પ્રશ્ન 38.
નીચેનામાંથી ક્યા આયનની શ્રેષ્ઠ આયનિક ત્રિજ્યા છે ?
(A) Cr+3
(B) Mn+3
(C) Fe+3
(D) Co+3
જવાબ
(A) Cr+3
પ્રશ્ન 39.
નીચેનામાંથી કયો પ્રબળ બેઇઝ છે ?
(A) La(OH)3
(B) Ly(OH)3
(C) Ce(OH)3
(D)Yb(OH)3
જવાબ
(A) La(OH)3
પ્રશ્ન 40.
પાયરોલ્યુસાઇટની રાસાયણિક ફૉર્મ્યુલા જણાવો.
(A) Mn2O3
(B) MnO3
(C) MnO2
(D) Mn2O7
જવાબ
(C) MnO2
પ્રશ્ન 41.
મેંગેનીઝની કાઈ ઑક્સિડેશન અવસ્થા અસ્થાયી છે ?
(A) +2
(B) +4
(C) +5
(D) +7
જવાબ
(C) +5
પ્રશ્ન 42.
નીચેના ઇલેક્ટ્રૉન બંધારણને આધારે તત્વ X નક્કી કરો. X = [Ar]3d104s1[Kerala PMT-2000]
(A) Ni
(B) Cu
(C) Zn
(D) Co
જવાબ
(B) Cu
પ્રશ્ન 43.
28Ni માં અયુમ્મિત ઇલેક્ટ્રૉનની સંખ્યા જણાવો. [MP PMT-2000]
(A) 2
(B) 3
(C) 4
(D) 1
જવાબ
(A) 2
પ્રશ્ન 44.
સંક્રાંતિ તત્ત્વો મોટેભાગે ક્યો ગુણ ધરાવતા હોય છે ? [MP PMT-2000]
(A) અનુચુંબકીય
(B) પ્રતિચુંબકીય
(C) ભારણપ્રતિકારક
(D) એક પણ નહીં
જવાબ
(A) અનુચુંબકીય
પ્રશ્ન 45.
નીચેના પૈકી ક્યું તત્ત્વ એમાલ્બમ બનાવે છે ? [MP CEE-2000]
(A) Fe
(B) Mg
(C) Zn
(D) Ph
જવાબ
(C) Zn
પ્રશ્ન 46.
વધારે ઑક્સિડેશન આંવાળા સંક્રાંતિ તત્વો કયો ગુણધર્મ ધરાવે છે ? [DCE-2001]
(A) રિડક્શનમાં
(C) એસિડિક
(B) ઑક્સિડેશનકર્તા
(D) એક પણ નહીં
જવાબ
(B) ઑક્સિડેશનકર્તા
પ્રશ્ન 47.
KMnO4 ની બનાવટમાં પાયરોલ્યુસાઇટ (MnO2)માંથી પોટેશિયમ મેંગેનેટ (K2MnO4) બને છે ત્યારે ઑક્સિડેશન અવસ્થામાં કર્યો ફેરફાર થશે ? [Kerala CET-2001]
(A) +1 થી +3
(C) +3 થી +5
(B) +2 થી +4
(D) +4 થી +6
જવાબ
(D) +4 થી +6
પ્રશ્ન 48.
Ti ની ચુંબકીય ચામાત્રા 1.73 BM હોય તો તેનો ઑક્સિડેશન આંક કેટલો હોઈ શકે ? [DPMT-2002]
(A) +3
(B) +2
(C) +1
(D) +1
જવાબ
(A) +3
પ્રશ્ન 49.
કઈ ધાતુ એક કરતાં વધુ ઑક્સિડેશન અવસ્થાઓ ધરાવતી નથી ? [Bihar CEE-2002]
(A) CO
(B) Zn
(C) Ti
(D) Mn
જવાબ
(B) Zn
પ્રશ્ન 50.
સંક્રાંતિ ધાતુઓ તથા તેમના સંયોજનો ઉદ્દીપક તરીકેનો ગુણ ધરાવે છે. કારણ કે …………………. . [Kerala CET-2002]
(A) તેઓ ચુંબકીય ગુણ ધરાવે છે.
(B) તેઓ રાસાયણિક સક્રિયતા ધરાવે છે.
(C) તેમની તે- કક્ષકો અપૂર્ણ ભરાયેલ છે.
(D) તેઓ એક કરતાં વધારે ઑક્સિડેશન અવસ્થાઓ પ્રાપ્ત કરવાની ક્ષમતા ધરાવે છે.
જવાબ
(C) તેમની đ- કક્ષકો અપૂર્ણ ભરાયેલ છે.
પ્રશ્ન 51.
લેન્થેનોઇડ સંકોચન શેમાં જોવા મળે છે ? [Kerala CEE-2003]
(A) Gd
(B) Au
(C) Np
(D) At
જવાબ
(A) Gd
પ્રશ્ન 52.
સંક્રાંતિ તત્ત્વોના ધાતુ ઑક્સાઇડના મોનૉકસાઇડની બેઝિક્તાનો ક્રમ કયો થશે ? [CBSE Med.-2003]
(A) VO > CrO > TiO > FeO
(B) Cr0 > VO > FeO > TiO
(C) TiO > FeO < VO > CrO
(D) TiO > VO > CrO > FeO
જવાબ
(D) TiO > VO > Cr0 > FeO
પ્રશ્ન 53.
જ્યારે MnO2 ની KOH સાથેની પ્રક્રિયાથી રંગીન સંયોજન મળે છે તો તે સંયોજન કર્યું હશે અને તેનો રંગ ક્યો હશે ? [IIT-2003]
(A) K2MnO4, લીલો
(B) KMnO4, જાંબલી
(C) Mn2O3, બ્રાઉન
(D) Mn2O4, કાર્બો
જવાબ
(A) K2MnO4, લીલો
પ્રશ્ન 54.
સૌથી ઓછો અનુચુંબકીય ગુણ કોણ દર્શાવશે ? [DCE-2003]
(A) Fe
(B) Co
(C) Cu
(D) Mn
જવાબ
(C) Cu
પ્રશ્ન 55.
આયોનિક ત્રિજ્યાનો યોગ્ય ક્રમ જણાવો. [CBSE-2003]
(A) Lu3+ < Yb3+ < Eu3+ < La3+
(B) La3+ < Eu3+ < Yb3+ < Lu3+
(C) La3+ < Eu3+ < Lu3+ < Yb3+
(D) Lu3+ < Eu3+ < La3+ < Yb3+
જવાબ
(A) Lu3+ < Yb3+ < Eu3+ < La3+
એક જ આવર્તમાં આવેલા તત્ત્વોમાં ડાબી બાજુથી જમણી બાજુ જતાં પરમાણુક્રમાંક
વધવા સાથે પરમાણુ ત્રિજ્યા ઘટે છે. આથી આર્યનિક ત્રિજયા પણ ઘટે છે.
71Lu < 70Yb < 63Eu <57La
પ્રશ્ન 56.
આલ્કલાઇન દ્રાવણમાં I– ની MnO4– સાથેની ઑક્સિડેશન પ્રક્રિયા દ્વારા શું મળશે ? [IIT-2004]
(A) IO–4
(B) IO–3
(C) I2
(D) IO–2
જવાબ
(B) IO–3
પ્રશ્ન 57.
નીચેનામાંથી કયા આયનનું જલીય દ્રાવણ રંગવિહીન હશે ? [CBSE Med.-2005]
(A) Sc3+
(B) Fe2+
(C) Ti+3
(D) Mn2+
જવાબ
(A) Sc3+
પ્રશ્ન 58.
KMnO4 નો જાંબલી રંગ કોને આભારી છે ? [Wardha CET-2006]
(A) વીજભાર બદલાવાથી
(B) d – d સંક્રાંતિ
(C) f – f સંક્રાંતિ
(D) d – f સંક્રાંતિ
જવાબ
(B) d – d સંક્રાંતિ
પ્રશ્ન 59.
ઍસિડિક પોટેશિયમ ડાયક્રોમેટના દ્રાવણમાં હાઇડ્રોજન પેરોક્સાઇડ (H2O2,) ઉમેરવાથી ભૂરો રંગ કોને લીધે મળે છે ? [Kerala CET-2007]
(A) CrO3
(B) Cr2O3
(C) CrO5
(D) CrO2-4
જવાબ
(C) CrO5
પ્રશ્ન 60.
નીચેનામાંથી કયા આયનની ચુંબકીય ચાકમાત્રા 5.93 BM હશે ? [Kerala CET-2007]
(A) Mn2+
(B) Fe2+
(C) Cr2+
(D) V3+
જવાબ
(A) Mn2+
Mn2+ માટે 3d5 4s0 થશે.
∴ µ =
પ્રશ્ન 61.
મર્ક્યુરી પ્રવાહી સ્વરૂપની ધાતુ છે. કારણ કે ……………………….. [Karnataka CET-2008]
(A) તેની d-dકક્ષક સંપૂર્ણ ભરાયેલી હોવાથી તેમાં તે-તે સંક્રાંતિ શક્ય નથી.
(B) તેની d-dકક્ષક સંપૂર્ણ ભરાયેલી હોવાથી તેમાં đd સંક્રાંતિ થાય છે.
(C) તેની s-કક્ષક સંપૂર્ણ ભરાયેલી છે.
(D) તે કદમાં ખૂબ જ નાની છે.
જવાબ
(A) તેની d-dકક્ષક સંપૂર્ણ ભરાયેલી હોવાથી તેમાં ઈ-હં સંક્રાંતિ શક્ય નથી.
પ્રશ્ન 62.
નીચેનામાંથી કર્યું સંયોજન રંગવિહીન છે ? [IIT-2008]
(A) CuCl
(B) K3[Cu(CN)4]
(C) CuF2
(D) [Cu(CH3(N)4]BF4
જવાબ
(A) CuCl
પ્રશ્ન 63.
નીચે દર્શાવલી બાહ્યતમ કક્ષાની ઇલેક્ટ્રૉન રચનાને આધારે કયા તત્ત્વોમાં સૌથી ઊંચી ઑક્સિડેશન અવસ્થા મળી શકો ? [PMT-2009]
(A) 3d54s2
(B) 3d34s2
(C) 3d34s2
(D) 3d54s1
જવાબ
(A) 3d54s2
પ્રશ્ન 64.
3d અને 4f શ્રેણીના ઇલેક્ટ્રોન માટે વિધાન યોગ્ય નથી ? નીચેનામાંથી ક્યું વિધાન યોગ્ય નથી ? [DCE-2009]
(A) 3d કક્ષકના ઇલેક્ટ્રૉન 4f શ્રેણી કરતાં વધુ ઑક્સિડેશન અવસ્થાઓ ધરાવે છે.
(B) 3d અને 4s કક્ષકો વચ્ચેનો શક્તિ તફાવત ખૂબ જ ઓછો છે.
(C) યુરોપિયમ(II) એ સિરિયમ(II) કરતાં વધુ સ્થાયી છે.
(D) સ્કેન્દ્રિયમથી કૉપર તરફ જતાં 3d-કક્ષકમાં પ્રતિચુંબકત્વનો ગુણધર્મ ઘટે છે.
જવાબ
(D) સ્કેન્ડિયમથી કૉપર તરફ જતાં 3d-કક્ષકમાં પ્રતિચુંબકત્વનો ગુણધર્મ ઘટે છે.
પ્રશ્ન 65.
Mn તેના સંયોજનોમાં કો મહત્તમ ઑક્સિડેશન આંક ધરાવે છે ? [Kerala PMT-2009]
(A) +4
(B) +5
(C) +6
(D) +7
જવાબ
(D) +7
પ્રશ્ન 66.
પાયરોફોકિ મિશ્રધાતુમાં આયર્નના ટકા કેટલા છે ? [Kerala PMT-2009]
(A) 20%
(B) 50%
(C) 95%
(D) 5%
જવાબ
(D) 5%
પ્રશ્ન 67.
સંક્રાંતિ ધાતુ તત્ત્વો માટે નીચેનામાંથી કયું વિધાન સાચું નથી ? [J.K. CET-2010 ]
(A) તેઓ વિવિધ ઓક્સિડેશન અવસ્થાઓ ધરાવે છે.
(B) તેના બધા જ આયનો રંગીન છે.
(C) તેઓ અનુચુંબકીય અને પ્રતિચુંબકીય એમ બંને પ્રકારના ગુણધર્મો ધરાવે છે.
(D) તેઓ ઉદ્દીપકીય ગુણધર્મ ધરાવે છે.
જવાબ
(B) તેના બધા જ આયનો રંગીન છે.
પ્રશ્ન 68.
ઍક્ટિનાઇડ આયનો કઈ મહત્તમ ઑક્સિડેશન અવસ્થા ધરાવે છે ? [Kerala PET-2010]
(A) +5
(B) +4
(C) +7
(D) +8
જવાબ
(C) +7
પ્રશ્ન 69.
નીચેનામાંથી કયો સંકીર્ણ આયન 2.82 BM ચુંબકીય સાકમાત્રા ધરાવશે ? [IIT-2010]
(A) Ni(Co)4
(B) [NiCl4]2-
(C) Ni(PPh3)4
(D) [Ni(CN)4]2-
જવાબ
(B) [NiCl4]2-
પ્રશ્ન 70.
નીચેનામાંથી સાચાં વિધાનો ક્યા છે ?
(1) મેંગેનીઝ +7 ઑક્સિડેશન અવસ્થા ધરાવી શકે છે.
(2) ઝિંક રંગીન આયનો બનાવે છે.
(3) [CoF6]3- એ પ્રતિચુંબકીય છે.
(4) Sc+4 ઑક્સિડેશન અવસ્થા ધરાવી શકે છે.
(5) Zn માત્ર +2 ઑક્સિડેશન અવસ્થા ધરાવે છે. [Kerala PET-2010]
(A) 1 અને 2
(B) 1 અને 5
(C) 2 અને 4
(D) 3 અને 4
જવાબ
(B) 1 અને 5
પ્રશ્ન 71.
Mn2O7–(I), V2O3-(II), V2O5-(III), CrO-(IV) અને Cr2O3–(V) માંથી બેઝિક ઑક્સાઇડ કયા છે ? [Kerala PET-2010]
(A) I અને II
(B) II અને III
(C) III અને IV
(D) II અને IV
જવાબ
(D) II અને IV
પ્રશ્ન 72.
જ્યારે MnO2 ની ધન KOH સાથે હવાની હાજરીમાં પ્રક્રિયા કરવામાં આવે છે ત્યારે મળતી નીપજ અને તેનો રંગ કર્યો હશે ? [Kerala PMT-2010]
(A) KMnO4 – જાંબલી
(B) K2MnO4 – ઘેરો લીલો
(C) MnO – રંગવિહીન
(D) MnO3 – કાળો
જવાબ
(B) K2MnO4 – ઘેરો લીલો
પ્રશ્ન 73.
[Xe]4f7 5d16s2 ઇલેક્ટ્રૉનીય રચના ધરાવતું લેન્થેનાઇડ તત્ત્વ કર્યું થશે ? [J.K, CET-2011]
(A) લ્યુટેશિયમ
(B) ટર્બિયમ
(C) થીબિયમ
(D) ગૅડોલિનિયમ
જવાબ
(D) ગૅડોલિનિયમ
પ્રશ્ન 74.
સંક્રાંતિ ધાતુ તત્ત્વ કે જેની ચુંબકીય ચાકમાત્રાનું મૂલ્ય 5.96 BM છે. [J.K. CET-2011]
(A) Mn2+
(B) Fe2+
(C) V2+
(D) Cu2+
જવાબ
(A) Mn2+
પ્રશ્ન 75.
ક્રોમાઇટ ખનીજમાં આયર્ન અને ક્રોમિયમનો ઑક્સિડેશન આંક અનુક્રમે કેટલો થશે ? [Karnataka CET-2011]
(A) +3, +2
(B) +3, +6
(C) +2, +6
(D) +2, +3
જવાબ
(D) +2, +3
ક્રોમાઇટ ખનીજ FeOCr2O3
આયર્નનો ઓક્સિડેશન અંક = +2
ક્રોમિયમનો ઓક્સિડેશન ક = +3
પ્રશ્ન 76.
નીચેનામાંથી કઈ સ્વિસીઝ અનુચુંબકીય છે ?
Fe2+, Zn0, Hg2+, Ti+4 [Kerala PMT-2011]
(A) માત્ર Fe2+
(B) Zn0 અને Ti+4
(C) Fe+2 અને Hg+2
(D) Zn0 અનેHg+2
જવાબ
(A) માત્ર Fe2+
પ્રશ્ન 77.
ટિટેનિયમ (Z = 22) નું ક્યું સંયોજન શક્ય નથી ? [Kerala PMT-2011]
(A) TiO2
(B) K2TiF6
(C) TiCl3
(D) K2TiO4
જવાબ
(D) K2TiO4
પ્રશ્ન 78.
Mn2O7, V2O5 અને Cr0 નો ઍસિડિક, બેઝિક અને ઉભયગુણધર્મી સ્વભાવ અનુક્રમે કયા થશે ? [Kerala PMT-2011]
(A) એસિડિક, ઍસિડિક અને બેઝિક
(B) બેઝિક, ભયગુન્ની એ ઍસિડિક
(C) ઍસિડિક, ભયગુણી અને બેઝિક
(D) ઍસિડિક, બેઝિક અને ભયગુણી
જવાબ
(C) ઍસિડિક, ઉભયગુણી અને બેઝિક
પ્રશ્ન 79.
નીચેનામાંથી ક્યા આયન સાથે એમોનિયા સંકીર્ણ બનાવતું નથી ? [Kerala PMT-2011]
(A) Ag+
(B) Pb2+
(C) Cu2+
(D) Cd2+
જવાબ
(B) Pb2+
પ્રશ્ન 80.
[Ar] 3d34s0 એ ………………………….. ની ઇલેક્ટ્રૉન રચના છે. [AIEEE-2002]
(A) Cr2+
(B) Mn4+
(C) Mn3+
(D) Fe3+
જવાબ
(B) Mn4+
પ્રશ્ન 81.
બધા જ લેન્થેનાઇડ શ્રેણીના તત્ત્વોની સંયોજકતા કેટલી હોય છે ? [AIEEE-2002]
(A) 2
(B) 3
(C) 4
(D) 5
જવાબ
(B) 3
પ્રશ્ન 82.
સિરિયમ [Ce] ની સામાન્ય ઑક્સિડેશન અવસ્થા જણાવો. [AIEEE-2002]
(A) +3, +4
(B) +2, +5
(C) +2, +1
(D) +3, +5
જવાબ
(A) +3, +1
પ્રશ્ન 83.
Fe2+ આયનમાં રહેલા કક્ષકમાં અયુમિત d-ઇલેક્ટ્રૉનની સંખ્યા કેટલી હોય છે ? [AIEEE-2003]
(A) 4
(B) 5
(C) 3
(D) 6
જવાબ ‘
(A) 4
પ્રશ્ન 84.
V, Cr, Mn, Fe ના પરમાણુક્રમાંક અનુક્રમે 23, 24, 25 અને 26 છે, આમાંથી
યાની સૌથી વધારે દ્વિતીય આયોનાઇઝેશન ઍન્થાલ્પી હશે ? [AIEEE-2003]
(A) V
(B) Cr
(C) Mn
(D) Fe
જવાબ
(B) Cr
પ્રશ્ન 85.
K2CrO4 ના દ્રાવણની અધિક છંદ HNO3 સાથે પ્રક્રિયા કરવાથી ………………………… [AIEEE-2003]
(A) Cr3+ અને Cr2O72- બને.
(B) Cr2O72- અને H2O બને.
(C) Cr2O42- નુંCr3+ માં રિડક્શન થાય.
(D) એક પણ નહીં
જવાબ
(B) Cr2O72- અને H2O બને.

પ્રશ્ન 86.
સિરિયમ (Z = 58) તે મહત્ત્વનું લેન્થેનાઇડ શ્રેણીનું તત્ત્વ છે સિરિયમ માટે વિધાન ખોટું છે. [AIEEE-2004]
(A) સિરિયમની +3 અને +4 ઑક્સિડેશન અવસ્થાઓ સામાન્ય છે.
(B) સિરિયમની +4 ઓક્સિડેશન અવસ્થા દ્રાવણમાં જાણીતી નથી.
(C) સિરિયમ (IV) ઑક્સિડેશનકર્તા તરીકે વર્તે છે.
(D) સિરિયમની (+3) ઑક્સિડેશન અવસ્થા (+4) ના કરતાં વધુ સ્થાયી છે.
જવાબ
(B) સિરિયમની +4 ઑક્સિડેશન અવસ્થા દ્રાવણમાં જાણીતી નથી.
પ્રશ્ન 87.
નીચેનામાંથી કયું પરિબળ લેન્થેનોઇડ સંકોચન માટે મુખ્ય જવાબદાર છે ? [AIEEE-2005]
(A) 4fના ઇલેક્ટ્રૉન વડે 5dના ઇલેક્ટ્રૉનનું વધારે આરક્ષણ
(B) 4fના ઇલેક્ટ્રૉન વર્ડ 5dના ઇલેક્ટ્રૉનનું અપૂરતું આરક્ષણ
(C) પેટાકોશ 4f ના એક ઇલેક્ટ્રૉનથી બીજાઓનું અસરકારક ખારવણ
(D) પેટાકોશ 4f ના એક ઇલેક્ટ્રૉનથી બીજાઓનું અપૂરતું આરક્ષણ
જવાબ
(D) પેટાકોશ 4f ના એક ઇલેક્ટ્રૉનથી બીજાઓનું અપૂરતું આંરક્ષણ
પ્રશ્ન 88.
નીરોનામાંથી ક્યા આયનીની જોડ તેના જલીય દ્રાવણમાં રંગીન છે ? [CBSE PMT-2006]
(A) Sc3+, Ti
(B) Sc3+, Co2+
(C) Ni2+, Cu+
(D) Ni2+, Ti3+
જવાબ
(D) Ni2+, Ti3+
પ્રશ્ન 89.
Ni2+ ના જલીય દ્રાવણમાં તેની ચુંબકીય યાક્માત્રા કેટલી થશે ? [AIEEE-2006]
(A) 4.90 BM
(B) 0.0 BM
(C) 1.73 BM
(D) 2.81 BM
જવાબ
(D) 2.84 BM

પ્રશ્ન 90.
લેન્થેનોઇડ સંકોચન થવાનું કારણ ………………… છે. [AIEEE-2006]
(A) કેન્દ્રીય વીજભારની સામે બાહ્ય ઇલેક્ટ્રોનની ઉપર 4 ઇલેક્ટ્રૉનથી આરક્ષણ
(B) Ce થી Lu સુધીનાં સમાન અસરકારક કેન્દ્રીયભાર
(C) કેન્દ્રીય વીજભારની સામે 4f ઇલેક્ટ્રૉનથી બાહ્ય ઇલેક્ટ્રૉનનું અપૂરતુ આરક્ષણ
(D) કેન્દ્રીય વીજભારની સામે બાહ્ય ઇલેક્ટ્રૉનની ઉપર 54 ઇલેક્ટ્રૉન વડે નોંધપાત્ર આરક્ષણ
જવાબ
(C) કેન્દ્રીય વીજભારની સામે 4f ઇલેક્ટ્રૉનથી બાહ્ય ઇલેક્ટ્રૉનનું અપૂરતું આરક્ષણ
પ્રશ્ન 91.
લેન્થેનોઇડ તત્ત્વોના સાપેક્ષમાં એક્ટિનાઇડ્સ મોટી સંખ્યામાં ઑક્સિડેશન અવસ્થા દવિ છે. શાથી ? [AIEEE-2007]
(A) 5f કક્ષકોનું આરક્ષણ, 4f કક્ષકોના કરતાં વધારે પ્રમાણમાં છે.
(B) 5f અને 4f કક્ષકોના કોન્રીય તરંગ વિધેયના ભાગમાં સમાનતા છે.
(C) લેન્થેનોઇડના કરતાં એક્ટિનાઇડ્સ વધારે સક્રિય છે.
(D) 4fના કરતાં 5† પરમાણુકેન્દ્રોથી વધારે દૂર વિસ્તૃત છે.
જવાબ
(D) 4fના કરતાં 5f પરમાણૂકેન્દ્રૌથી વધારે દૂર વિસ્તૃત છે.
પ્રશ્ન 92.
નીચેનામાંથી કર્યો આયન તેના જલીય દ્રાવણમાં સૌથી વધુ સ્વામી હશે ? [CBSE PMT-2007]
(A) Mn3+
(B) Cr3+
(C) V3+
(D) Ti3+
જવાબ
(B) Cr3+
પ્રશ્ન 93.
Cr, Mn, Fe અને Coની +2 ઓક્સિડેશન અવસ્થા સ્થિરતાનો ક્રમ જણાવો.[CBSE – PMT – 2007]
(A) Mn > Fe > Cr > Co
(B) Fe > Mn > Co > Cr
(C) Co > Mn > Fe > Cr
(D) r > Mn > Co > Fe
જવાબ
(A) Mn > Fe > Cr > Co
પ્રશ્ન 94.
નીચેનામાં દ્વિતીય આયનીકરણ ઍન્થાલ્પીનો ઊતરતો ક્રમ ક્યો યોગ્ય છે ? T1(22), V(23), Cr(24) અને Mn(25) [CBSE PMT-200B]
(A) V > Mn > Cr > Ti
(B) Mn > Cr > Ti > V
(C) Ti > V > r > Mn
(D) Cr > Mn > V > Ti
જવાબ
(D) Cr > Mn > V > ‘Ti
પ્રશ્ન 95.
નીચેનામાંથી કઈ હકીકત માટે લેન્થેનોઇડ સંકોચન જવાબદાર છે? [ATEEE-2008]
(A) Zr અને Hfની લગભગ ત્રિયા સમાન છે.
(B) Zr અને Yની લગભગ ત્રિજ્યા સમાન છે.
(C) Zr અને Znની લગભગ ત્રિયા સમાન છે.
(D) Zr અને Nbની લગભગ ત્રિયા સમાન છે.
જવાબ
(A) Zr અને Hfની લગભગ ત્રિજ્યા સમાન છે.
પ્રશ્ન 96.
એક્ટિનાઇડ્સ તત્વો મોટી સંખ્યામાં ઑક્સિડેશન અવસ્થાઓ ધરાવે છે પણ લેન્થેનોઇડમાં આ સંખ્યા મોટી આવતી નથી, કારણ કે……. [AIEEE-2008]
(A) 4F અને 51 કક્ષકોમાં શક્તિ તફાવત તે 55 અને 64 ના તફાવતના કરતાં વધુ છે.
(B) 5f અને 6d કક્ષકોમાં શક્તિ તફાવત તે 4f અને 54 ના શક્તિ તફાવતના કરતાં વધારે છે.
(C) એક્ટિનાઇડની સક્રિયતા લેન્થેનોઇડ્સ કરતાં વધારે છે.
(D) 4f કક્ષકો 5f ના કરતાં વધારે વિસ્તાર પામેલી છે.
જવાબ
(D) 4f કક્ષકો 5f ના કરતાં વધારે વિસ્તાર પામેલી છે.
પ્રશ્ન 97.
TiF62-, CoF6-3, Cu2Cl2 અને NiCl4-2 માંથી રંગવિહીન જોડ ઓળખો. [CBSE – PMT – 2009]
(A) Cu2Cl2‚ અને NiCl4-2
(B) TiF62- અને Cu2Cl2
(C) CoF6-3 અને NiCl4-2
(D) TiF62- અને CoF6-3
જવાબ
(B) TiF62- અને Cu2Cl2
પ્રશ્ન 98.
લેન્થેનોઇડ (Ln)ની +3 ઑક્સિડેશન અવસ્થા માટે ખૂબ જ જાણીતા છે. તેના માટે નીરોનામાંથી કયું વિધાન લાગુ પડતું નથી ? [AIEEE-2009]
(A) Ln(III)ના આયનોનું કદ પરમાણુક્રમાંકના વધારા સાથે ઘટે છે.
(B) Ln(III)ના સંયોજનો મોટેભાગે રંગવિહીન હોય છે.
(C) Ln(III)ના હાઇડ્રૉક્સાઇડ મોટાભાગે બેઝિક ગુણ ધરાવે છે.
(D) Ln(III)ના કદ વધુ હોવાથી તેમના સંયોજનોમાં તે આર્થાનિક પ્રકૃતિ ધરાવે છે.
જવાબ
(B) Ln(III)ના સંયોજનો મોટેભાગે રંગવિહીન હોય છે.
પ્રશ્ન 99.
સંક્રાંતિ તત્વોના સંદર્ભમાં નીરોનામાં કયું વિધાન સત્ય નથી ? [AIEEE-2009]
(A) સંક્રાંતિ તત્ત્વો સામાન્ય ઑક્સડેશન અવસ્થાઓ ઉપરાંત, સંકીર્ણોમાં શૂન્ય ઑક્સિડેશન અવસ્થા દર્શાવે છે.
(B) સંક્રાંતિ તત્ત્વો તેમની મહત્તમ ઑક્સિડેશન સ્થિતિમાં બેઝિક ગુણ દર્શાવે તથા આ ધન આયન સંકીર્ણો બનાવે છે.
(C) પ્રારંભનાં પાંચ સંક્રાંતિ તત્ત્વો (Sc થી Mn) ની મહત્તમ ઑક્સિડેશન
અવસ્થામાં 4s અને 3d ઉંટના બધાજ ઇલેક્ટ્રૉન બંધ બનાવવામાં ભાગ લે છે.
(D) સંક્રાંતિ તત્ત્વની હઁ અવસ્થા પછીથી d5 ઇલેક્ટ્રોનની બંધ રચનામાં જોડવાની વૃત્તિ ઘટતી જાય છે.
જવાબ
(B) સંક્રાંતિ તત્ત્વો તેમની મહત્તમ ઑક્સિડેશન સ્થિતિમાં બેઝિક ગુન્ન દર્શાવે તથા આ ધન આયન સંકીણૅ બનાવે છે.
પ્રશ્ન 100.
નીચેનામાંથી કઈ જોડી સમાન કદ ધરાવે છે ? [CBSE PMT-2010]
(A) Zr4+, Hf4+
(B) Zn2+ Hf4+
(C) Fe2+, Ni2+
(D) Zr4+, Ti4+
જવાબ
(A) Zr4+, Hf4+
પ્રશ્ન 101.
નીરોનામાંથી કયો આયન તેના જલીય દ્રાવણમાં રંગીન હશે ? [CBSE PMT-2010]
(A) Lu3+ (Z = 71)
(B) Sc3+ (Z = 21)
(C) La3+(Z = 57)
(D) Ti3+(Z = 22)
જવાબ
(D) Ti3+(Z = 22)
પ્રશ્ન 102.
યાર તત્ત્વો Cr, Mn, Fe અને Co ના માટે ઋણ સંજ્ઞા સાથે E(Man2+(Mn) નો સાયો ક્રમ જણાવો. [AIEEE-2010]
(A) Mn > Cr > Fe > Co
(B) Cr > Fe > Mn > Co
(C) Fe > Mn > C > Co
(D) Cr > Mn > Fe > Co
જવાબ
(A) Mn > Cr> Fe > Co
વીજપોટેન્શિયલ E0(M2+/M) કેટલાંક પરિબળો ઉપર આધારિત છે.

પ્રશ્ન 103.
Gd (Z = 64) ની બાહ્યતમ કક્ષાની ઇલેક્ટ્રૉનીય રચના કઈ યશે ? [AIEEE-2011]
(A) 4f3 5d56s2
(B) 4f8 5d0 6s2
(C) 4f4 5d47 6s2
(D) 4f7 5d1 6s2
જવાબ
(D) 4f7 5d1 6s2
પ્રશ્ન 104.
Cr+2, Mn+2, Fe+2 અને Co+2 માટે d-કક્ષકની ઇલેક્ટ્રૉન રચના d4,d5,d6 અને d7 છે. નીચેનામાંથી ક્યું સંકીર્ણ ઓછામાં ઓછું અનુચુંબકીય લક્ષણ ધરાવે છે ? [AIEEE – 2011]
(A) [Cr(H2O)6]+2
(B) [Mn(H2O)6]+2
(C) [Fe(H2O)6]+2
(D) [Co(H2O)6]+2
જવાબ
(D) [Co(H2O)6]+2
પ્રશ્ન 105.
K2Cr2O7 ઍસિડિક દ્રાવણ લીલું બને છે, જે દર્શાવે છે કે ….. [CBSE – PMT – 2011]
(A) Cr2(SO4)3
(B) Cr2(O4)-2
(C) Cr(SO3)O3
(D) CrSO4
K2Cr2O7 + 4H2SO4 → K2SO4+Cr2(SO4)3 +4H2O
પ્રશ્ન 106.
ક્યું વિધાન ખોટું છે ? [CBSE – PMT – 2012]
(A) K2Cr2O7 ના એસિડિક દ્રાવણમાં H2S પસાર કરવાથી દૂધિયા રંગનું દ્રાવણ બને.
(B) K2Cr2O7 કરતાં Na2Cr2O7 કદમાપક પૃથક્કરણમાં વધુ ઉપયોગી.
(C) એસિડિક માધ્યમમાં K2Cr2O7 નારંગી રંગનું હોય છે.
(D) K2Cr2O7 પીળા રંગમાં રૂપાંતરિત થાય છે, જો pH વધારીને 7 કરવામાં આવે ત્યારે.
જવાબ
(B) K2Cr2O7 કરતાં Na2Cr2O7 કદમાપક પૃથક્કરણમાં વધુ ઉપયોગી.
પ્રશ્ન 107.
લેન્થેનાઇડ્સ માટે કર્યું વિધાન સાચું નથી ? [AIEEE-2012]
(A) પરમાણુક્રમાંક વધતાં સભ્ય તત્ત્વોની પરમાણ્વિય ત્રિજ્યા વધે છે.
(B) બધાં જ તત્ત્વો +3 ઑક્સિડેશન આંક ધરાવે છે.
(C) લગભગ સમાન લાક્ષણિકતાઓના કારણે લેન્થેનાઇડ તત્ત્વોનું અલગીકરણ સરળ નથી.
(D) 4 કક્ષકમાંના ઇલેક્ટ્રૉનની સરળતાથી પ્રાપ્યતાના કારણે આ બધાં જ તત્ત્વો +4 ઑક્સિડેશન અવસ્થા દર્શાવે છે.
જવાબ
(D) 4 કક્ષકમાંના ઇલેક્ટ્રૉનની સરળતાથી પ્રાપ્યતાના કારણે આ બધાં જ તત્ત્વો +4 ઑક્સિડેશન અવસ્થા દર્શાવે છે.
પ્રશ્ન 108.
આયર્ન +2 અને 3 એમ બે ઑક્સિડેશન અવસ્થા ધરાવે છે, તો આયર્ન માટે નીરો પૈકી કયું વિધાન ખોટું છે ? [AIEEE-2012]
(A) ફેરસ ઑક્સાઇડ ફેરિક ઑક્સાઇડ કરતાં વધારે બેઝિક છે.
(B) ફેરસ ઑક્સાઇડ ફેરિક ઑક્સાઇડ કરતાં વધારે આયોનિક છે.
(C) ફેરસ સંયોજનોએ અનુવર્તી ફેરિક સંયોજનો કરતાં ઓછા બાષ્પશીલ છે.
(D) ફેરસ સંયોજનોનું જળવિભાજન ફેરિક સંયોજનો કરતાં સાપેક્ષમાં સરળ છે.
જવાબ
(D) ફેરસ સંયોજનોનું જળવિભાજન ફરિક સંયોજનો કરતાં સાપેક્ષમાં સરળ છે.
(Fe2+) ફેરસ અને ફેરિક (Fe3+) માં જેમાં ઑક્સિડેશન અવસ્થા નીચી તેમ વધારે બેઝિક, વધારે આયનિક ઓછો
બાષ્પશીલ હોય છે, નીચી ફેરસનું જળવિભાજન મુશ્કેલ હોય.
પ્રશ્ન 109.
પ્રથમ સંક્રાંતિ શ્રેણીનાં તત્ત્વોમાંથી, ક્રમશઃ ચાર તેમના પરમાણુમાંકની સાથે નીચે આપ્યાં છે, તેમાંથી કયાની E0 (M3+/M2+) નું મૂલ્ય મહત્તમ ધારી શકાય ?
(A) Cr (Z = 24)
(B) Mn = (Z= 25)
(C) Fe (Z = 26)
(D) C0 (Z = 27)
જવાબ
(D) C0 (Z = 27)
Cr3+ + e– → Cr2+ E0(Cr3+/Cr2+) = 0.41 V
Mn3+ + e– → Mn2+ E0(Mn3+/Mn2+) = 1.51 V
Fe3+ + e– →Fe2+ E0(Fe3+/Fe2+) = 0.77 V
Co3+ +e– → Co2+ E0(Co3+/Co2+) = 1.81 V

પ્રશ્ન 110.
લેન્થેનોઇડ સંકોચનના પરિણામે નીચેનામાંથી કઈ જોડનાં તત્ત્વોની પરમાણુ
ત્રિજ્યા લગભગ સમાન છે ? (કૌંસમાં પરમાણુમાંક છે.) [AIPMT-May-2015]
(A) Ti (22) અને Zr (40)
(B) Zr (40) અને Nh (41)
(C) Zr (40) અને Hf (72)
(D) Zr (40) અને Ta (73)
જવાબ
(C) Zr (40) અને Hf (72)
લેન્થેનોઇડ સંકોચનના પરિણામે Zr અને Hfની પરમાણુ ત્રિજ્યા લગભગ સમાન છે.
પ્રશ્ન 111.
નીચેનામાંથી કઈ ક્રિયામાં આયર્નનું ઑક્સિડેશન થતું નથી ? [AIPMT – May-2015]
(A) આયર્નના પતરાંને કાટ લાગવાની પ્રક્રિયા
(B) આયર્ન વર્લ્ડ CuSO4ના દ્રાવણનો રંગ દૂર કરવાની પ્રક્રિયા
(C) Fe માંથી Fe(CO)5 બનવાની પ્રક્રિયા
(D) ઊંચા તાપમાને આયર્ન વડે પાણીની વરાળમાંથી H2 મુક્ત કરવાની પ્રક્રિયા
જવાબ
(C) Fe માંથી Fe(CO)5 બનવાની પ્રક્રિયા Fe0 + 5CO → [Fe0 (CO)5] આયર્નની ઑક્સિડેશન અવસ્થામાં કોઈ ફેરફાર થતો નથી.
પ્રશ્ન 112.
નીચેનામાંથી કોની ચુંબકીય ચાકમાત્રા 2.84 હશે ? (પરમાણુક્રમાંક N = 28, T1 = 22, Cr = 24, Co = 27) [AIPMT – May-2015]
(A) Ni2+
(B) Ti3+
(C) Cr2+
(D) Co2+
જવાબ
(A) Ni2+

પ્રશ્ન 113.
ગૅડોલોનિયમ 4 શ્રેણીનો છે. તેનો પરમાણુક્રમાંક 64 છે, તેની સાચી ઇલેક્ટ્રૉનીય રચના નીચેનામાંથી કઈ છે ? [AIPMT- July-2015]
(A) [Xe] 4f75d16s2
(B) [Xe] 4f6 5d26s2
(C) [Xe] 4f86d2
(D) [Xe] 4f95s1
જવાબ
(A) [Xe] 4f75d16s2
64 Gd =54 [Xe]6s24f75d1
પ્રશ્ન 114.
નીચેના સંયોજનોના એક સમાન મોલનું સંપૂર્ણ ઑક્સિડેશન થવામાં, એસિડિક KMnO4 નો સૌથી ઓછો જથ્થો કયા સંયોજન માટે જરૂર પડશે ? [AIPMT- July-2015]
(A) FeC2O4
(B) Fe(NO2)2
(C) FeSO4
(D) FeSO33
જવાબ
(C) FeSO4
પ્રશ્ન 115.
ટિટેનિયમમાં નીચે આપેલી કાકોની ઊર્જાનો ચઢતો ક્રમ કયો સાચો છે ? (Z = 22) [AIPMT- July-2015]
(A) 3s 3p 3d 4s
(B) 3s 3p 45 3d
(C) 3s 4s 3p 3d
(D) 4s 3s 3p 3d
જવાબ
(B) 3s 3p 4s 3d
Ti(22) = 1s2 2s2 2p6 3s2 3p6 4s2 3d2
ઊર્જાનો ચઢતો ક્રમ 3s 3p 4s 3d છે.
પ્રશ્ન 116.
આપેલા સંયોજનમાંથી કર્યો ધાત્વિક અને લોહચુંબકીય (ફેરોમૅગ્નેટિક) છે ? [JEE-2016]
(A) TiO2
(B) CrO2
(C) VO2
(D) MnO2
જવાબ
(B) CrO2
ધાત્વિક અને લોહચુંબકીય (ફેરોમેગ્નેટિક) સંયોજન Fe, Ca, Ni, Gd, CrO2 વગેરે છે.
પ્રશ્ન 117.
Eu (પરમાણુ ક્રમાંક = 63) અને Gk (પરમાણુક્રમાંક = 64) અને Tb
(પરમાણુક્રમાંક = 65) ની ē રચના અનુક્રમે ……………[NEET-1 – May-2016] (A)[xe]
4f65d1 6s2, [xe]4f75f1, [xe]4f9 6s2
(B)[xe] 4f65d1 6s2, [xe] 4f7 5d1 6s2 [xe] 4f8 5d1 6s2
(C) [xe] 4f7 6s2, [xe]4f7 5d1 6s2, [xe]4f9 6s2
(D) [xe] 4f7 6s2, [xe]4f86s2 is, [xe]4f8 5d1 6s2
જવાબ
(C) [xe] 4f7 6s2, [xe]4f7 5d1 6s2, [xe]4f9 6s2
પ્રશ્ન 118.
ઍસિડિક K2Cr2O7 માં SO2 વાયુ પસાર કરતાં કયું વિધાન સાયું છે તે જણાવો. [NEET-1 – May-2016]
(A) દ્વાવણ રંગવિહીન બને.
(B) SO2 નું રિડક્શન થાય.
(C) Cr2(SO4) લીલા રંગનું દ્રાવણ બને.
(D) દ્રાવણ વાદળી રંગનું બને.
જવાબ
(C) Cr2(SO4) લીલા રંગનું દ્રાવણ બને.
પ્રશ્ન 119.
નીચેના પૈકી કયું વિધાન લેન્થેનોન માટે ખોટું છે ? [NEET-II : July-2016]
(A) બધા જ લેન્થેનોન Al કરતાં વધુ સક્રિય છે.
(B) કદમાપક પૃથક્કરણમાં Ce+4 નું દ્રાવણ ઑક્સિડેશનકર્તા તરીકે વર્તે છે.
(C) યુરોપિયમ +2 ઑક્સિડેશન અવસ્થા ધરાવે છે.
(D) Pr થી Lu તરફ જતા આયોનિક ત્રિજ્યા ઘટવાની સાથે બેઝિતા ઘટે.
જવાબ
(A) બધા જ લેન્થેનોન Al કરતાં વધુ સક્રિય છે.
પ્રશ્ન 120.
ચતુલકીય સંકીર્ણ [MnBr4]2- માટે ફક્ત સ્પિન ચુંબકીય ચાકમાત્રાનું મૂલ્ય શું છે ? [Mn નો પરમાણ્વીય ક્રમાંક = 25] [NEET (May)-2017]
(A) 1.7
(B) 5.9
(C) 4.8
(D)2.4
જવાબ
(B) 5.9
[MnBr4]2- માં Mn2+ છે.
∴ 5 અયુમ્મિત ઇલેક્ટ્રૉન હોય
∴ µ =
પ્રશ્ન 121.
નીચે આપેલા પૈકી ક્યો એક આયન d-d સંક્રાંતિ તેમજ અનુચુંબકીયતા પ્રદર્શિત કરે છે ? [NEET-2018]
(A) MnO42-
(B) CrO42-
(C) MnO–4
(D) Cr2O2-7
જવાબ
(A) MnO42-
MnO42- (મેંગેનેટ) આયનમાં Mn6+ છે, જેની ઇલેક્ટ્રૉનની રચના નીચે આપી છે.

આ રચનામાં 3d અપૂર્ણ છે, એક 3d ઇલેક્ટ્રૉન હોવાથી અનુચુંબકીય છે તેથી d-d સંક્રાંતિ પણ થાય છે.
પ્રશ્ન 122.
કૉલમ – I માં આપેલ ધાતુ આયનોને કૉલમ – II માં આપેલ આયનોની સ્પિન ચુંબકીય ચાકમાત્રાઓ સાથે જોડી અને સાચો કોડ ફાળવો : [NEET-2018]

પ્રશ્ન 123.
પરમાણુમાંક 71 ઘરાવતા તત્ત્વ X નો 71 નંબરનો
(A) 6p
(B) 4f
(C) 5d
(D) 68
જવાબ
(C) 54
Lu = [Xe| 4f14 5d1 6s2
પ્રશ્ન 124.
નીચે આપેલી પ્રક્રિયાઓમાંથી કઈ એક વિષમીકરણ પ્રક્રિયા છે ?
(a) 2Cu+ → Cu2+ + Cu0
(b) 3MnO42- + 4H+ → 2MnO–4 + MnO2 + 2H2O
![]()
(d) 2MnO–4+ 3Mn2+ + 2H2O → 5MnO2 + 4H⊕ નીરો આપેલામાંથી સાચો વિકલ્પ પસંદ કરો. [NEET-2019]
(A) ફક્ત (a) અને (d)
(B) ફક્ત (a) અને (b)
(C) (a), (b) અને (c)
(D) (a), (c) અને (d)
જવાબ
(B) ફક્ત (a) અને (b)
(a) 2Cu+ → Cu2+ + Cu
Cu+ → Cu2+ (ઑક્સિડેશન)
Cu+ → C (રિડક્શન)

પ્રશ્ન 125.
Agની આયોનિક ત્રિજ્યા નિમ્નલિખિતમાંથી કોની નજીક છે ? [JEE-2020]
(A) Ni
(B) Cu
(C) Au
(D) Hg
જવાબ
(C) Au
લેન્થેનોઇડ સંકોચનના કારણે, Zeff માં વધારો થવાથી Au ની સાઇઝમાં વધારો થાય છે જે Agની આયોનિક ત્રિજ્યાને સમાન જોવા મળે છે.
પ્રશ્ન 126.
ખોટું વિધાન શોધી બતાવો. [NEET-2020]
(A) જ્યારે H, C અથવા N જેવા નાના પરમાણુઓ ધાતુઓના સ્ફટિક લેટાઇસોના અંદરના ભાગમાં ફસાઈ જાય ત્યારે આંતરાલીય સંયોજનો બને છે.
(B) CrO42- અને Cr2O માં ક્રોમિયમની ઓક્સિડેશન અવસ્થા સમાન નથી.
(C) Cr2+(d4) એ પાણીમાંના Fe2+(d6) કરતાં પ્રબળ રિડક્શનકર્તા છે.
(D) સંક્રાંતિ તત્ત્વો અને તેના સંયોજનો તેની ઘણી બધી ઑક્સિડેશન અવસ્થાઓ
ધરાવતા હોવાને કારણે તેની ઉદ્દીપકીય સક્રિયતા માટે જાણીતા છે અને તે
સંકીર્ણો બનાવે છે.
જવાબ
(B) CrO42- અને Cr2O2-7 માં ક્રોમિયમની ઓક્સિડેશન અવસ્થા સમાન નથી.
CrO42- માં Crની ઑક્સિડેશન અવસ્થા = +6
Cr2O2-7 માં Crની ઑક્સિડેશન અવસ્થા = +6
બંનેમાં Crની ઑક્સિડેશન અવસ્થા સમાન છે.
પ્રશ્ન 127.
21Sc ને સંક્રાંતિ તત્ત્વ શા માટે ગણી શકાય નહીં ? [GUJCET-2006]
(A) સ્થાયી સંયોજનોમાં ઇ-કક્ષક ખાલી હોય છે.
(B) Sc આયનનું કદ ખૂબ નાનું હોય છે.
(C) Sc એક કરતાં વધારે ઑક્સિડેશન આંક ધરાવતું નથી.
(D) Sc ઍસિડિક, બેઝિક બંને ગુણ ધરાવે છે.
વાબ
(A) સ્થાયી સંયોજનોમાં d-કક્ષક ખાલી હોય છે.
પ્રશ્ન 128.
નીચેના પૈકી કર્યો પ્રતિચુંબકીય છે ? [GUJCET-2006]
(A) Cu2Cl2
(B) CuCl2
(C) NiCl2
(D) FeCl3
જવાબ
(A) Cu2Cl2
પ્રશ્ન 129.
નીચેનામાંથી ક્યા આયનમાં d-d સંક્રાંતિ શક્ય નથી ? [GUJCET-2007]
(A) Mn2+
(B) Cu2+
(C) Ti4+
(D) Cr3+
જવાબ
(C) Ti4+
પ્રશ્ન 130.
નીરોનામાંથી કાઈ ઇલેક્ટ્રૉન રચનામાં પરમાણુ મહત્તમ ઑક્સિડેશન સ્થિતિ મેળવી શકે [GUJCET-2006, 2007]
(A) (n = 1) d3 ns2
(B) (n = 1) d5 ns1
(C) (n – 1) d8 ns2
(D) (n – 1) d5 ns2
જવાબ
(D) (n – 1) d5 ns2
પ્રશ્ન 131.
પોટૅશિયમ ડાયક્રોમેટ [K2Cr2O7] નો ઉપયોગ જણાવો. [GUJCET-2008]
(A) ફેરસ આયનનું ઍસિડિક માધ્યમમાં ફેરિક આયનમાં રૂપાંતર કરવા ઑક્સિડેશનકર્તા તરીકે
(B) જંતુનાશક તરીકે
(D) રિડક્શનકર્તા તરીકે
(C) ઇલેક્ટ્રૉપ્લેટિંગમાં
જવાબ
(A) ફેરસ આયનનું ઍસિડિક માધ્યમમાં ફેરિક આયનમાં
પ્રશ્ન 132.
રૂપાંતર કરવા ઑક્સિડેશનકર્તા તરીકે લેન્થેનાઇડ તત્ત્વોમાં ઑક્સિડેશન અવસ્થાની સ્થિરતા કઈ બાબત પર આધાર રાખે છે ? [GUJCET-2008]
(A) જયોજનશક્તિ અને આયનીકરણ શક્તિનો સમન્વય
(B) ઇલેક્ટ્રૉનિક બંધારણ
(C) ઍન્થાલ્પી
(D) આંતરિક શક્તિ
જવાબ
(A) જળયોજનશક્તિ અને આયનીકરણ શક્તિનો સમન્વય
પ્રશ્ન 133.
લેન્થેનાઇડના કયા સંયોજનનો ઉપયોગ વર્ણકોમાં થાય છે ? [GUJCET-2009]
(A) Lu(OH)3
(B) CeO2
(C) Tb(OH)3
(D) Ce(OH)3
જવાબ
(B) CeO2
પ્રશ્ન 134.
M2+ આયન જેની ઇલેક્ટ્રૉન રચના [Ar]3d8 હોય તો તે તત્ત્વોનો પરમાણુક્રમાંક કર્યો છે ? [GUJCET-2009]
(A) 27
(B) 25
(C) 26
(D) 28
જવાબ
(D) 28
પ્રશ્ન 135.
નીચેના પૈકી ક્યું તત્ત્વ રેડિયોસક્રિય છે ? [GUJCET-2013]
(A) Pm
(B) Tm
(C) Sm
(D) Nd
જવાબ
(A) Pm
પ્રશ્ન 136.
નીચેનામાંથી Sn ની મિશ્રધાતુ કઈ છે ? [GUJCET-2013]
(A) કાંસું
(B) પિત્તળ
(C) જર્મન સિલ્વર
(D) સ્ટેનલેસ સ્ટીલ
જવાબ
(A) કાંસું
પ્રશ્ન 137.
નીચેના પૈકી કયુ તત્વ તેની ભૂમિ અવસ્થાની ઇલેક્ટ્રૉનીય રચના પ્રમાણે સંક્રાંતિ તત્ત્વ છે ? [GUJCET-2014]
(A) Au
(B) Cd
(C) Hg
(D) Zn
જવાબ
(A) Au

Au3+માં અપૂર્ણ તેં જેથી સંક્રાંતિ તત્ત્વ છે. બાકીનાં સ્થાયી આયનોમાં અપૂર્ણ હં નથી. જેથી Cd, Hg, Zn સંક્રાંતિ તત્ત્વ નથી.
પ્રશ્ન 138.
નીચેનામાંથી ક્યા સંયોજનનો ઉપયોગ ગૅસ-લાઇટરની પથરીમાં થાય છે ? [GUJCET-2014]
(A) CeO2
(B) નિકોમ
(C) પાયરોફોરિક મિશ્રધાતુ
(D) નિટિનોલ
જવાબ
(C) પાયરોફોરિક મિશ્રધાતુ
પ્રશ્ન 139.
KMnO4 માટે ક્યું વિધાન યોગ્ય નથી ? [GUJCET-2015]
(A) તે ઑક્સિડેશનાં તરીકે વર્તે છે.
(B) તે ટેક્ષટાઈલ ઉદ્યોગમાં વિરંજક તરીકે વપરાય છે.
(C) તેનો ઉપયોગ જીવાણુનાશક તરીકે થાય છે.
(D) તે ઘેરા જાંબુડિયા રંગનો અસ્ફટિકમય પદાર્થ છે.
જવાબ
(D) તે ઘેરા જાંબુડિયા રંગનો અસ્ફટિકમય પદાર્થ છે.
પ્રશ્ન 140.
નીચેના પૈકી ક્યા આયનની સૈદ્ધાંતિક ચુંબકીય ચાકમાત્રા સૌથી વધારે છે ? [GUJCET-2015, માર્ચ-2014]
(A) Fe3+
(B) Ti3+
(C) Cr3+
(D) Co3+
જવાબ
(A) Fe3+

પ્રશ્ન 141.
નીચેના પૈકી કયા સાઇડની બેઝિકતા સૌથી વધારે છે ? [GUJCET-2015]
(A) La2O3
(B) Sm2O3
(C) Pr2O3
(D) Gd2O3
જવાબ
(A) La2O3
પ્રશ્ન 142.
આંતરાલીય સંયોજનો માટે કર્યું વિધાન સુસંગત નથી ? [GUJCET-2016]
(A) તેમાં મુક્ત ઇલેક્ટ્રૉન સ્થગિત થવાથી તે સખત હોય છે.
(B) તેમાં ધાતુ અને અધાતુ પરમાત્રુ વચ્ચે રાસાયણિક બંધ બને છે.
(C) આવા સંયોજનોમાં ઘટકોનું પ્રમાણ નિશ્ચિત હોતું નથી.
(D) તે ધસારો અને ક્ષારણનો પ્રતિકાર કરે છે.
જવાબ
(B) તેમાં ધાતુ અને અધાતુ પરમાત્રુ વચ્ચે રાસાયણિક બંધ બને છે.
પ્રશ્ન 143.
કઈ મિશ્રધાતુમાં Ni ધાતુ આવેલી નથી ? [GUJCET-2016]
(A) જર્મન સિલ્વર
(B) બ્રોન્ઝ
(C) સ્ટેનલેસ સ્ટીલ
(D) નિકોમ
જવાબ
(B) બ્રોન્ઝ
પ્રશ્ન 144.
નીચેના પૈકી સૈદ્ધાંતિક ચુંબકીય ચામાત્રાનો સાચો ક્રમ ક્યો છે ? [GUJCET-2017|
(A) Cr3+ = Mn2+ < Fe3+
(B) Cr3+ < Mn2+ < Fe3+
(C) Cr3+ < Mn3+ = Fe3+
(D) Cr3+ > Mn2+ = Fe3+
જવાબ
(C) Cr3+ < Mn3+ = Fe3+
Cr3+ =3d3 3 અયુગ્મિત ઇલેક્ટ્રૉન
Mn+2 = 3d5 5 અયુગ્મિત ઇલેક્ટ્રોન
Fe3+ = 3d5 5 અયુર્ભિત ઇલેક્ટ્રૉન
પ્રશ્ન 145
આંતરસંક્રાંતિ તત્ત્વના સંદર્ભમાં ક્યું વિધાન ખોટું છે ? [GUJCET-2017]
(A) ઍક્ટિનોઇડ્સમાં Pm રેડિયોસક્રિય તત્ત્વ છે.
(B) Ce, Gd અને Lu જેવા લેન્થેનોઇડ્સની ઇલેક્ટ્રૉનીય રચનામાં જ ઇલેક્ટ્રૉન 5d કક્ષકમાં ભરાયેલા છે.
(C) લેન્થેનોઈડ્સની આયનીકરણ ઍન્થાલ્પીના મૂલ્ય ઍક્ટિનોઇડ્સ કરતાં વધુ હોય છે.
(D) લેન્થેનોઇડ્સના ઑક્સાઇડ બેઝિક હોય છે.
જવાબ
(A) ઍક્ટિનોઇડ્સમાં Pm રેડિયોસક્રિય તત્ત્વ છે.
Pm નો સમાવેશ ઍક્ટિનોઇડ્સમાં થતો નથી.
પ્રશ્ન 146.
નીચેના પૈકી કઈ જોડ સમાન ચુંબકીય ચાકમાત્રા ધરાવે છે ? [GUJCET-2019]
(A) Cr3+, Mn3+
(B) Fe3+, Mn2+
(C) Fe2+, Mn2+
(D) Ni2+, Co2+
જવાબ
(B) Fe3+, Mn2+
Fe3+ : [Ar] 3d5
Mn2+ : [Ar] 3d5
બંનેમાં અયુગ્મિત e– ની સંખ્યા સમાન હોવાથી બંનેની ચુંબકીય ચાકુમાત્રા સમાન થાય.
µ =
પ્રશ્ન 147.
તત્ત્વ A અને તત્ત્વ B ની મિશ્રધાતુ બનાવી શકાતી નથી, કારણ કે …………………………. . [GUJCET-2019]
(A) બંને તત્ત્વો સમાન સ્ફટિક રચના ધરાવે છે.
(B) Aની ત્રિજયા 115 pm છે, જયારે Bની ત્રિજ્યા 187 pm છે.
(C) બંને એક જ સમૂહનાં તત્ત્વો છે.
(D) બંને તત્ત્વોની સંયોજકતા કક્ષાની ઇલેક્ટ્રૉન રચના સમાન છે.
જવાબ
(B) Aની ત્રિજ્યા 115 pm છે, જ્યારે Bની ત્રિજ્યા 187 pm છે.
પ્રશ્ન 148.
નીચેનામાંથી કઈ ધાતુના દ્વિસંયોજક આયનની જલીય દ્રાવણમાં ચુંબકીય ચામાત્રા 5.92 BM છે ? [GUJCET-2020]
(A) CO
(B) Cr
(C) Fe
(D) Mn
જવાબ
(D) Ma

Mn+2 ની ચુંબકીય ચાકમાત્રા 5.92 BM થાય.
પ્રશ્ન 149.
જો કે ઝિસ્કોનિયમ 4d-સંક્રાંતિ શ્રેણીમાં છે અને હાફનિયમ 5d-સંક્રાંતિ
શ્રેણીમાં છે તેમ છતાં તેઓ સમાન ભૌતિક અને રાસાયણિક ગુણધર્મો ધરાવે છે કારણ
કે …………………….
[GUJCET-2020]
(A) બંને d-વિભાગમાં આવેલા છે.
(B) બંનેમાં ઇલેક્ટ્રોનની સંખ્યા સમાન છે.
(C) બંનેની પરમાણ્વીય ત્રિજ્યા સમાન છે.
(D) બંને આવર્ત કોષ્ટકના સમાન સમૂહોમાં આવેલા છે.
જવાબ
(C) બંનેની પરમાણ્વીય ત્રિજ્યા સમાન છે.
લેન્થેનોઇડ સંકોચનને કારણે બંનેની પરમાણ્વીય ત્રિયા સમાન થાય.
પ્રશ્ન 150.
આંતરસંક્રાંતિ તત્ત્વોની +3 ઑક્સિડેશન અવસ્થાની સ્થિરતા માટે કોણ જવાબદાર છે ? [માર્ચ-2007]
(A) આયનીકરણ ઊર્જા
(B) જલીયકરણ ઊર્જા
(C) (A) અને (B) બંને
(D) ઇલેક્ટ્રૉનીય રચના
જવાબ
(C) (A) અને (B) બંને
પ્રશ્ન 151.
ચુંબકીય અસરથી ખૂબ નીચું તાપમાન ઉત્પન્ન કરવા માટે નીચેનામાંથી કયો પદાર્થ વપરાય છે ? [માર્ચ-2008, 2017]
(A) GeO2
(B) લેન્ડેનાઇડ ઑક્સાઇડ
(C) ગૅડોલિનિયમ સલ્ફેટ
(D) થુલિયમ સલ્ફેટ
જવાબ
(C) ગૈડોલિનિયમ સલ્ફેટ
પ્રશ્ન 152.
નીચેનામાંથી કયા પદાર્થમાં સંક્રાંતિ આયનની ચુંબકીય શાકમાત્રા સૌથી વધુ હશે ? [જુલાઈ-2008]
(A) MnSO4
(B) Cr2(SO4)3
(C) FeSO4
(D) CuSO4
જવાબ
(A) MnSO4
MnSO4 માં Mn2+ ની ઇલેક્ટ્રૉન રચના [Ar] 3d54s0 છે. આમાં મહત્તમ પાંચ એકાંકી ઇલેક્ટ્રૉન હોવાથી ચુંબકીય ચાકમાત્રા મહત્તમ છે.
પ્રશ્ન 153.
જેનું ચોક્કસ અણુસૂત્ર નથી, પરંતુ યંત્ર-સામગ્રી માટે ઉપયોગી છે, તેવો પદાર્થ કયો છે ? [જુલાઈ-2008]
(A) Fe2S3
(B) FeSO4
(C) Fe2(SO4)3
(D) Fe3C
જવાબ
(D) Fe3C
પ્રશ્ન 154.
નીચેનામાંથી કર્યું આંતરાલીય સંયોજન નથી ? [માર્ચ-2009]
(A) TiC
(B) VC
(C) WC
(D) SiC
જવાબ
(D) SiC
પ્રશ્ન 155.
નીચેનામાંથી કઈ પ્રક્રિયામાં નીપજ ક્લોરિન વાયુ નહિ બને ? [માર્ચ-2009]
(A) HCl નું MnO2 વડે ઑક્સિડેશન
(B) HCl નું KMnO4 વધુ ઑક્સિડેશન
(C) KClO3 નું KMnO4 વર્ડ ઑક્સિડેશન
(D) સાંદ્ર NaCl ના જલીય દ્રાવણના વિદ્યુતવિભાજન વર્ડ
જવાબ
(C) KClO3 નું KMnO4 વર્ડ ઑક્સિડેશન
પ્રશ્ન 156.
કયા ક્ષારના જલીય દ્રાવણ રંગીન હશે ? [જુલાઈ-2009]
(A) TiCl2
(B) ZnCl2
(C) CdCl2
(D) Hg2Cl2
જવાબ
(A) TiCl2
પ્રશ્ન 157.
કયા આયનમાં d-d સંક્રાંતિ જોવા મળે છે ? [માર્ચ-2011]
(A) Cu1+
(B) En2+
(C) Mn3+
(D) Sc3+
જવાબ
(C) Mn3+
Mn(25) અને Mn3+ [Ar] 3d4 4s0 છે. આમાં અપૂર્ણ 3d છે. જેથી d-d સંક્રમણ થાય છે. પણ Cu1+ (3d10), Zn2+(3d10) Zn2+ (3d°) માં અપૂર્ણ 3ત નથી માટે તે-તે સંક્રમણ અશક્ય છે.
પ્રશ્ન 158.
Mn2+ આયન ધરાવતા દ્રાવણના બોરેક્ષ મણકા કસોટીમાં મણકો કેવા રંગનો દેખાશે ? [માર્ચ-2012]
(A) ગુલાબી
(B) લીલો
(C) ભૂરો
(D) બદામી
જવાબ
(C) ભૂરો
પ્રશ્ન 159.
નીચેનામાંથી કઈ દ્વિતીય સંક્રાંતિ શ્રેણીના તત્ત્વ પેલેડિયમ (Pd)ની ઇલેક્ટ્રૉન રચના છે ? [માર્ચ-2013]
(A) [Kr] 3d9 5s1
(B) [Kr] 4d10 5s0
(C) [Kr] 4d8 5s2
(D) [Xe] 3d10 5s0
જવાબ
(B) [Kr] 4d10 5s0
પ્રશ્ન 160.
ધાતુ આયન [Fe(CN)6]4- માં પ્રાયોગિક ચુંબકીય ચાકમાત્રાનું મૂલ્ય કેટલું છે ? [માર્ચ-2013]
(A) 4.90 BM
(B) 5.0 BM
(C) 0.00 BM
(D) 5.92 BM
જવાબ
(C) 0.00 BM
[Fe(CN)6]4- માં Fe2+(3d6) છે.
CN– પ્રબળ લિગેન્ડના પ્રભાવથી d2sp3 સંકરણ થાય છે.

તેમાં ફક્ત ઇલેક્ટ્રૉનયુગ્મ છે. n = 0, µ = 0.0 ; પ્રતિચુંબકીય
પ્રશ્ન 161.
નીચેનામાંથી કઈ મિશ્રધાતુ કૉપર ધરાવતી નથી ? [માર્ચ-2013]
(A) નિોમ
(B) કાંસું
(C) પિત્તળ
(D) જર્મન સિલ્વર
જવાબ
(A) નિક્રીમ
નિક્રોમમાં 60% Ni, 40% Cr છે, જેમાં કૉપર નથી, બાકીનામાં છે.
કાંસું: 90% Cu, 10% Sn
પિત્તળ : 70% Cu, 30% Zn
જર્મન સિલ્વર : 40%50% NI, 25%-30% Zn, 25%- 30% Cu
પ્રશ્ન 162.
પ્રદૂષિત પાણીમાં રાસાયણિક ઑક્સિજન જરૂરિયાત માપવા માટે નીરોનામાંથી કયો પદાર્થ વપરાય છે ? [માર્ચ-2013]
(A) H2SO4
(B) KMnO4
(C) MnO2
(D) K2Cr2O7
જવાબ
(D) K2Cr2O7
પ્રશ્ન 163.
દાંતના પોલાણ પૂરવા માટે નીચેનામાંથી કઈ ધાતુઓની મિશ્રધાતુ વપરાય છે ? [માર્ચ-2013, 2017, 2019]
(A) Ig, Ag, Sn, Cu, Ni
(B) Hg, Au, Sn, Cu, Ni
(C) Hg, Al, Sn, Cu, Zn
(D) Hg, Ag, Sn, Cu, Zn
જવાબ
(D) Hg, Ag, Sn, Cu, Zn
આ મિશ્રધાતુમાં Hg (50%), Ag (35%), Sn (12%), Cu (3%) અને Zn (0.2%) હોય છે.
આ મિશ્રધાતુ દાંતના પોલાણમાં ભરવામાં વધારે અનુકૂળ છે. આ મિશ્રધાતુ તાજી
બનાવાય ત્યારે મૃદુ હોય છે અને દાંતના પોલાન્નમાં ભર્યા પછી ટૂંક સમયમાં
સખત બની જાય છે.
પ્રશ્ન 164.
K2MnO4 નો રંગ કયો છે ? [માર્ચ-2014]
(A) લીલો
(B) ભૂરો
(C) લાલ
(D) જાંબલી
જવાબ
(A) લીલો
પ્રશ્ન 165.
નીચેનામાંથી કાઈ મિશ્રધાતુ અવરોધક તાર બનાવવા વપરાતી નથી ? [માર્ચ-2014]
(A) જર્મન સિલ્વર
(B) ક્યુપ્રોનિલ
(C) નિટિનોલ
(D) નિકોમ
જવાબ
(C) નિટિનોલ
પ્રશ્ન 166.
નીચેનામાંથી કઈ ધાતુઓનું મિશ્રણ, મિશ્રધાતુ બનાવી શકે નહિ ? [માર્ચ-2014]
(A) Fe + Cr + Cu
(B) Ni + Cu + Cr
(C) Ni + Mg + Cr
(D) Au + Cu + Cr
જવાબ
(C) Ni + Mg + Cr
Mg સંક્રાંતિ ધાતુ નથી, તેનું પરમાણુકદ અને ઇલેક્ટ્રૉન રચના સંક્રાંતિ
ધાતુઓ કરતાં ભિન્ન છે. હ્યુમ અને રોથરી પ્રમાણે Mg મિશ્ર ન થાય.
પ્રશ્ન 167.
નીરોનામાંથી કયાની દ્વિતીય આયનીકરણ ઉષ્મા વધુ છે ? [માર્ચ-2014]
(A) Cr+
(B) Mn+
(C) V+
(D) Sc+
જવાબ
(A) Cr+
Cr+ [Ar] 3d5 4s0 ઇલેક્ટ્રોન રચના છે. આ
3d પેટાકોશ અર્ધ-પૂર્ણ ધરાયેલી સ્થાયી રચના છે. તેમાંથી ઇલેક્ટ્રૉન દૂર
કરવા ઘણી વધારે ઉષ્મા જરૂર પડે છે. જેથી Cr+ ની દ્વિતીય આયનીકરણ ઊર્જા બાકીનાં કરતાં વધુ છે. Mn+, V+, Sc+ માં 4s1 છે, જે ઇલેક્ટ્રૉન સરળતાથી દૂર થાય છે.
પ્રશ્ન 168.
નીચેનામાંથી કયા આયનની સૈદ્ધાંતિક ચુંબકીય ચાકમાત્રા મહત્તમ છે ? [માર્ચ-2014]
(A) Cr3+
(B) Fe3+
(C) Ti3+
(D) Co3+
જવાબ
(B) Fe3+
પ્રશ્ન 169.
નીચેનાં વિધાનો માટે યોગ્ય વિકલ્પ પસંદ કરો. (સાચું વિધાન – T, ખોટું વિધાન – F) [માર્ચ-2015]
(i) સંક્રાંતિ ધાતુ આયનોની ઇલેક્ટ્રૉન રચના સંકીર્ણ બનાવવા અનુકૂળ છે.
(ii) આંતરાલીય સંયોજનોમાં અધાતુ અને ધાતુ પરમાણુઓ વચ્ચે રાસાયણિક બંધ રચાય છે.
(iii) Cu અને Au ની સ્ફટિક રચના ભિન્ન છે.
(A) F T T
(B) T F T
(C) T T F
(D)T F F
જવાબ
(D) T F F
પ્રશ્ન 170.
મેંગેનીઝ ડાયૉક્સાઈડનું પિંગલન KOH સાથે O2 ની હાજરીમાં કરતાં કયા રંગનો પદાર્થ મળે ? [માર્ચ-2015]
(A) લીલા
(B) નારંગી
(C) લાલ
(D) જાંબલી
જવાબ
(A) લીલા
પ્રશ્ન 171.
નીચેના પૈકી કઈ મિશ્રધાતુ જસત ધરાવતી નથી ? [માર્ચ-2016]
(A) બ્રાસ
(B) બ્રોન્ઝ
(C) જર્મન સિલ્વર
(D) દાંતના પોલાણમાં વપરાતું મિશ્રણ
જવાબ
(B) બ્રોન્ઝ
પ્રશ્ન 172.
કોબાલ્ટના એક સંયોજનની ચુંબકીય ચાકમાત્રા 3.87 BM હોય તો તે સંયોજન કર્યું હશે ? [માર્ચ-2016]
(A) Co(NO3)3
(B) [Co(CN)6]3-
(C) [Co(H2O)6]+3
(D) [Co(H2O)6]+2
જવાબ
(D) [Co(H2O)6]+2
પ્રશ્ન 173.
નીચેના પૈકી કયો આયન રંગવિહીન છે ? [માર્ચ-2016]
(A) Mn+2
(B) Ti+3
(C) Sc+3
(D) Cu+2
જવાબ
(C) Sc+3
પ્રશ્ન 174.
નીચેના પૈકી ક્યું સૌથી ઓછું બેઝિક છે ? [માર્ચ-2016]
(A) Nd(OH)3
(B) Ce(OH)3
(C) Yb(OH)3
(D) Gd(OH)3
જવાબ
(C) Yb(OH)3
પ્રશ્ન 175.
નીચેના પૈકી કોની દ્વિતીય આયનીકરણ એન્થાલ્પી સૌથી વધુ છે? [માર્ચ 2016]
(A) Ti
(B) V
(C) Cr
(D) Mn
જવાબ
(C) Cr
પ્રશ્ન 176.
[Ti(H2O)6]3+ સંકીર્ણ આયનનો રંગ નીચેના પૈકી કયો છે ? [માર્ચ-2017]
(A) ભૂરો
(B) જાંબલી
(C) ગુલાબી
(D) લીલો
જવાબ
(B) જાંબલી
પ્રશ્ન 177.
COD ના માપનમાં નીચેના પૈકી કયો પદાર્થ પ્રક્રિયક તરીકે વપરાય છે ? [માર્ચ-2017]
(A) K2MnO4
(B) K2Cr2O7
(C) Co(NO3)2
(D) KMnO4
જવાબ
(B) K2Cr2O7
પ્રશ્ન 178.
ઍક્ટિનાઇડ શ્રેણીના તત્ત્વોની સામાન્ય ઇલેક્ટ્રૉનીય રચના કઈ છે ? [માર્ચ-2017]
(A) [Rn] 5f0–14 6d0–2 7s2
(B) [Xe] 4f0–14 5d0–106s2
(C) [Rn} 5f0–14 5d0-2 6s2
(D) [Xe] 4f0–14 5d0-1 6s2
જવાબ
(A) [Rn] 5f0–14 6d0–2 7s2
પ્રશ્ન 179.
જર્મન સિલ્વર મુખ્યત્વે કઈ ધાતુઓના મિશ્રણથી બને છે ? [માર્ચ-2018]
(A) નિલ, સિલ્વર, કોપર
(B) ઝિંક, સિલ્વર, કૉપર
(C) જર્મેનિયમ, સિલ્વર, કૉપર
(D) ઝિંક, નિકલ, કૉપર
જવાબ
(D) ઝિંક, નિકલ, કૉપર
પ્રશ્ન 180.
નીચેનામાંથી કયું વિધાન સાચું નથી ? [માર્ચ-2018]
(A) Ce3+ થી Lu3+ તરફ જતાં આયનોનાં કદ ઘટે છે.
(B) Ce થી Lu તરફ જતાં પરમાણ્વિય ત્રિજ્યાનું મૂલ્ય ઘટતું જાય છે.
(C) લેન્થેનોઇડ્ઝના હાઇડ્રોક્સાઇડમાં Ce(OH)3 ની બેઝિકતા સૌથી ઓછી હોય છે,
(D) બધી લેન્થેનોઇડ્ઝની સ્થાયી ઑક્સિડેશન અવસ્થા (+3) હોય છે.
જવાબ
(C) લેન્થેનોઇડ્ઝના હાઇડ્રૉક્સાઇડમાં Ce(OH)3 ની બેઝિકતા સૌથી ઓછી હોય છે.
પ્રશ્ન 181.
નીચેનામાંથી ક્યા આયનની ચુંબકીય ચાકમાત્રા સૌથી વધારે છે ? [માર્ચ-2018]
(A) Ti3+
(B) V3+
(C) Cr3+
(D) Co3+
જવાબ
(D) Co3+
પ્રશ્ન 182.
નીચેનામાંથી કયું તત્વ રેડિયોઍક્ટિવ છે ? [માર્ચ-2018]
(A) Pm
(B) La
(C) Tm
(D) Pr
જવાબ
(A) Prm
પ્રશ્ન 183.
ક્યુપ્રસ ક્લોરાઇડની ઘરા ભ્રમણ આધારિત ચુંબકીય ચાકમાત્રા નીચેના પૈકી કઈ છે ? [માર્ચ-2019]
(A) -1.90 BM
(B) 0.0 BM
(C) 1.73 BM
(D) 2.83 BM
જવાબ
(B) 0.0 BM
ક્યુપ્રસ ક્લોરાઇડ Cu2Cl2 છે. તેમાં Cu2+2 એટલે કે Cu+ છે.
તેની ઇલેક્ટ્રૉનીય રચના : Cu+[Ar]183d104s0
તેમાં અયુગ્મ ઇલેક્ટ્રૉનની સંખ્યા n = શૂન્ય

પ્રશ્ન 184.
નીરો વિધાન (A) આપ્યું છે અને તેનું કારણ (R) આપેલું છે. તેના માટે આપેલા વિકલ્પોમાંથી કયો વિકલ્પ સાચો હશે ?
વિધાન (A) : Cr થી Cu સુધી પરમાણ્વિય ત્રિજ્યા લગભગ સમાન છે.
કારણ (R) : 3d કક્ષકમાં ઉમેરાતા ઇલેક્ટ્રૉનની શીલ્ડિંગ અસર 4s કક્ષમાં
રહેલા ઇલેક્ટ્રૉનની કેન્દ્ર પ્રત્યેના આર્ષણ બળમાં ઘટાડો કરે છે.
[માર્ચ-2019]
(A) (A) સાચું છે, (R) ખોટું છે.
(B) (A) અને (R) બંને સાચાં છે. (R) એ (A)ની સાચી સમજૂતી નથી.
(C) (A) અને (R) બંને સાચાં છે. (R) એ (A)ની સાચી સમજૂતી છે.
(D) (A) ખોટું છે, (R) સાચું છે.
જવાબ
(C) (A) અને (R) બંને સાચાં છે. (R) એ (A)ની સાચી સમજૂતી છે.
પ્રશ્ન 185.
પોટેશિયમ ડાયકોમેટના ઉપયોગ પૈકી નીચેના કયા ઉપયોગો સાયા છે ?
(i) રેડોક્સ અનુમાપનોમાં સૂયક તરીકે
(ii) COD ના માપનમાં પ્રક્રિયક તરીકે
(iii) કાર્બનિક સંયોજનોના સંશ્લેષણમાં રિડક્શનર્તા તરીકે
(iv) ચર્મ ઉધોગોમાં [માર્ચ-2019]
(A) (ii) અને (iv)
(B) (i) અને (iii)
(C) (i)
(D) (i), (ii) અને (ii)
જવાબ (A) (ii) અને (iv)
(ii) CODના માપનમાં પ્રક્રિયક તરીકે અને (iv) ચર્મ ઉદ્યોગમાં પોટેશિયમ ડાયક્રોર્મેટનો ઉપયોગ થાય છે.
પ્રશ્ન 186.
જો કોઈ પરમાણુનો પરમાણ્વીયક્રમાંક 25 હોય તો તેના જલીય દ્રાવણમાં દ્વિસંયોજક આયનની ચુંબકીય શાકમાત્રા [માર્ચ-2020]
(A) 2.84 BM
(B) 5.92_BM
(C) 4.90 BM
(D) 3.87 BM
જવાબ
(B) 5.92 BM
Mn+2 = [Ar]3d5 4s0
µ=
=
Mn(z = 25)
[Ar] 4s2 3d5
પ્રશ્ન 187.
નીચેનામાંથી કયા ઑક્સાઇડ ઊભયગુણધર્મી છે ?
Mn2O7, CrO3, Cr2O3, Cr0, V2O5, V2O4 [માર્ચ-2020]
(A) V2O5, Cr2O3
(B) CrO3, V2O4
(C) Mn2O7, CrO
(D) Cr2O3, Mn2O7
જવાબ
(A) V2O5, Cr2O3
V2O5 અને Cr2O3 તે બન્ને ભયગુણી ઑક્સાઇડ છે, કારણ કે તેઓ એસિડ અને બેઇઝ બન્નેની સાથે પ્રક્રિયા કરે છે.
Cr2O3 ઉભયગુણી છે કારણ કે –
(ઍસિડ) Cr2O3 + NaOH (બેઇઝ) → Na2Cr2O2 + H2O (બેઇઝ) Cr2O3 + 3H2SO4 (ઍસિડ) → Cr2(SO4)3 + 3H2O
V2O5 ઉભયગુણી છે પણ તે ઍસિડિક વધારે અને બેઝિક ઓછો છે.
પ્રશ્ન 188.
નીચેનામાંથી કયા તત્વની ઇલેક્ટ્રૉનીય રચનામાં 50 કક્ષકમાં એક ઇલેક્ટ્રૉન આવેલો છે ? [માર્ચ-2020]
(A) Pm
(B) Tb
(C) Nd
(D) Gd
જવાબ
(D) Gd
પ્રશ્ન 189.
K2Cr2O7 નું આણ્વીય દળ M હોય તો ઍસિડિક માધ્યમમાં તેનો તુલ્યભાર કેટલો થાય ? [ઑગસ્ટ-2020]
(A) M
(B)
(C)
(D)
જવાબ
(D)
પ્રક્રિયામાં 6e-1 નો ફેરફાર થતો હોવાથી,
Cr2O2-7 + 14H+ + 6e– → 2Cr+3 + 7H2O
પ્રશ્ન 190.
Mnનું ઉચ્ચતમ ફ્લોરાઇડ સંયોજન MnF4, માં Mn+4 છે. જ્યારે ઉચ્ચતમ ઑક્સાઇડ સંયોજન Mn2O7 માં Mn+7 છે. કારણ કે …………………. [ઑગસ્ટ-2020]
(A) ફ્લોરિનની વિદ્યુતઋણતા ઑક્સિજન કરતાં વધુ છે.
(B) ફ્લોરિન d-કક્ષકો ધરાવતો નથી.
(C) સહસંયોજક સંયોજનોમાં ફ્લોરિન માત્ર એક જ બંધ બનાવે છે, જ્યારે ઑક્સિજન દ્વિબંધ બનાવે છે.
(D) નીચી ઑક્સિડેશન અવસ્થાએ ફ્લોરિન સ્થાયી હોય છે.
જવાબ
(C) સહસંયોજક સંયોજનોમાં ફ્લોરિન માત્ર એક જ બંધ બનાવે છે, જયારે ઑક્સિજન દ્વિબંધ બનાવે છે.

0 Comments